The Utility of Length of Mining Service and Latency in Predicting Silicosis among Claimants to a Compensation Trust
Abstract
1. Introduction
- To test the agreement between self-reported and official records of length of gold mining service among these former miners;
- To examine distribution of length of mining service, time since first exposure, and time since last exposure among claimants certified with silicosis, and to measure the predictive accuracy of these metrics for compensable silicosis.
2. Materials and Methods
Statistical Methods
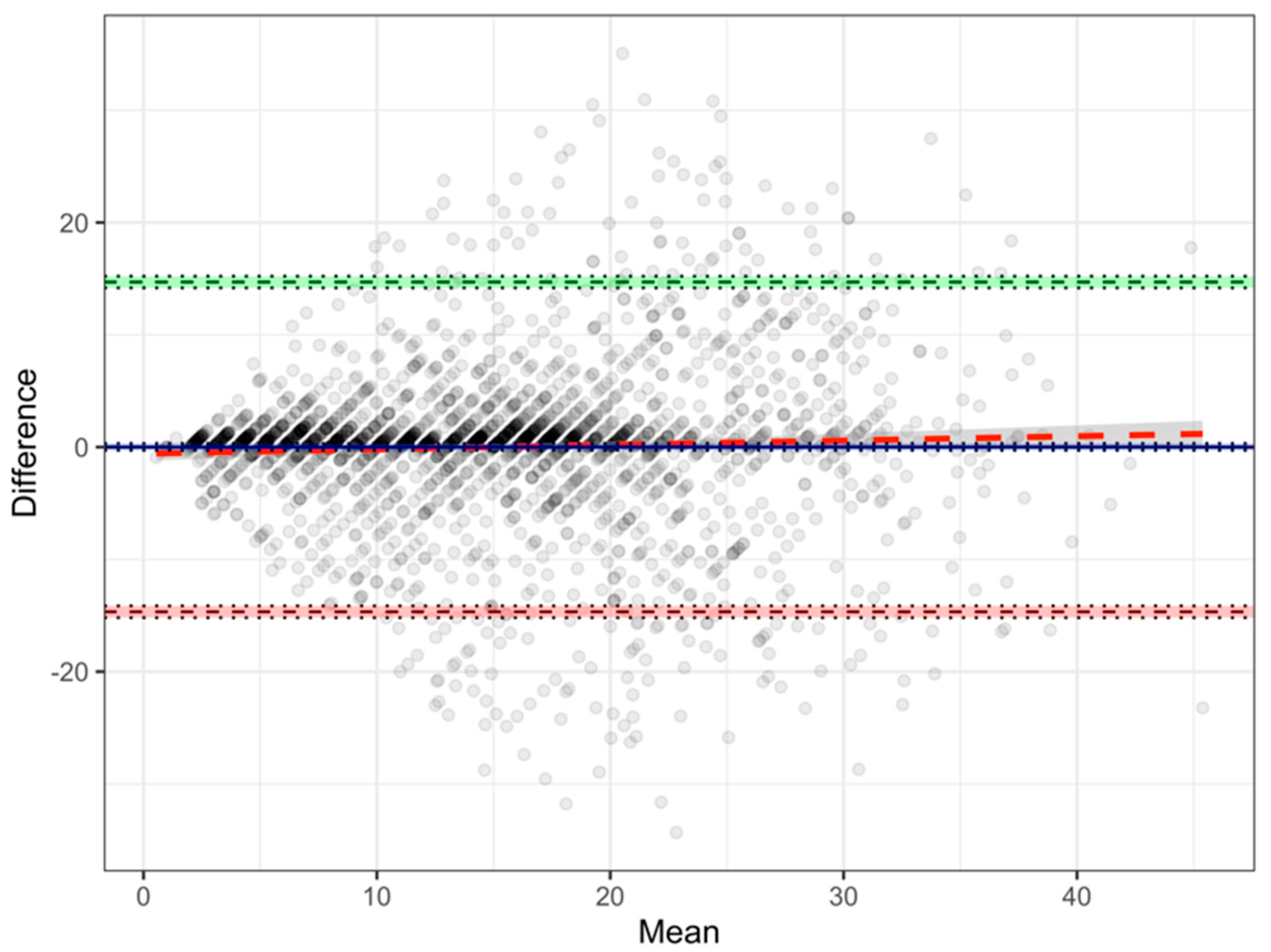
3. Results
3.1. Calculated vs. Self-Reported Length of Service
3.2. Prediction
4. Discussion
4.1. Concordance between Recorded and Self-Reported Service
4.2. Prediction
4.3. Strengths and Limitations
5. Conclusions
Supplementary Materials
Author Contributions
Funding
Institutional Review Board Statement
Informed Consent Statement
Data Availability Statement
Acknowledgments
Conflicts of Interest
References
- Minerals Council South Africa. Gold—Key Facts and Figures. Available online: https://www.mineralscouncil.org.za/sa-mining/gold (accessed on 8 February 2022).
- Harington, J.S.; McGlashan, N.D.; Chelkowska, E.Z. A century of migrant labour in the gold mines of South Africa. J. S. Afr. Inst. Min. Metall. 2004, 104, 65–71. [Google Scholar]
- McCulloch, J. Sleights of hand: South Africa’s gold mines and occupational disease. New Solut. 2016, 25, 469–479. [Google Scholar] [CrossRef] [PubMed]
- Rees, D.; Murray, J.; Nelson, G.; Sonnenberg, P. Oscillating migration and the epidemics of silicosis, tuberculosis, and HIV infection in South African gold miners. Am. J. Ind. Med. 2010, 53, 398–404. [Google Scholar] [CrossRef] [PubMed]
- Naidoo, R.N. Mining: South Africa’s legacy and burden in the context of occupational respiratory diseases. Glob. Health Action 2013, 6, 20512. [Google Scholar] [CrossRef] [PubMed][Green Version]
- Steen, T.W.; Gyi, K.M.; White, N.W.; Gabosianelwe, T.; Ludick, S.; Mazonde, G.N.; Mabongo, N.; Ncube, M.; Monare, N.; Ehrlich, R.; et al. Prevalence of occupational lung disease among Botswana men formerly employed in the South African mining industry. Occup. Environ. Med. 1997, 54, 19–26. [Google Scholar] [CrossRef] [PubMed]
- Maboso, B.; Moyo, D.; Muteba, K.; Govender, V.; Barnes, D.; Maama-Maime, L.; Makiti, S.; Lerotholi, M.; Ehrlich, R. Occupational lung disease among Basotho ex-miners in a large outreach medical assessment programme. Occup. Health South. Afr. 2020, 26, 145–152. [Google Scholar]
- Churchyard, G.J.; Chaisson, R.E.; Maartens, G.; Getahun, H. Tuberculosis preventive therapy: An underutilised strategy to reduce individual risk of TB and contribute to TB control. S. Afr. Med. J. 2014, 104, 339–343. [Google Scholar] [CrossRef] [PubMed][Green Version]
- Ehrlich, R. A century of miners’ compensation in South Africa. Am. J. Ind. Med. 2012, 55, 560–569. [Google Scholar] [CrossRef] [PubMed]
- Ehrlich, R.; Rees, D. Reforming miners’ lung disease compensation in South Africa—Long overdue but what are the options? New Solut. 2016, 25, 451–468. [Google Scholar] [CrossRef] [PubMed]
- Maiphetlho, L.; Ehrlich, R. Claims experience of former gold miners with silicosis—A clinic series. Occup. Health South. Afr. 2010, 16, 10–16. [Google Scholar]
- Ehrlich, R.; Akugizibwe, P.; Siegfried, N.; Rees, D. The association between silica exposure, silicosis and tuberculosis: A systematic review and meta-analysis. BMC Public Health 2021, 21, 1–18. [Google Scholar] [CrossRef] [PubMed]
- Smith, J.; Blom, P. Those Who Don’t Return: Improving Efforts to Address Tuberculosis Among Former Miners in Southern Africa. New Solut. 2019, 29, 76–104. [Google Scholar] [CrossRef]
- Kistnasamy, B.; Yassi, A.; Yu, J.; Spiegel, S.J.; Fourie, A.; Barker, S.; Spiegel, J.M. Tackling injustices of occupational lung disease acquired in South African mines: Recent developments and ongoing challenges. Global. Health 2018, 14, 60. [Google Scholar] [CrossRef]
- Barker, S.; Ehrlich, R.; Spiegel, J.M.; Kistnasamy, B.; Riera, F.; Fourie, A.; Mtshali, N.; Rabada, M.; Lockhart, K.; Yassi, A. Reforming the workers’ compensation process for occupational lung disease among miners in South Africa: An efficiency study of claims assessment. Int. Arch. Occup. Environ. Health 2022, 1–9. [Google Scholar] [CrossRef]
- Constitutional Court Case. Mankayi V AngloGold Ashanti Ltd. Available online: http://www.saflii.org/za/cases/ZACC/2011/3.html (accessed on 14 February 2021).
- Cropley, E. Anglo South Africa Settles Silicosis Case with 23 Gold Miners; Reuters 2013. Available online: https://www.reuters.com/article/idUSBRE98O0GH20130925 (accessed on 18 January 2022).
- TeWaterNaude, J. Q(h)ubeka Trust—The first big silicosis settlement. Occup. Health South. Afr. 2016, 22, 7. [Google Scholar]
- Trust-Deed-Qhubeka-Trust. Available online: www.qhubekatrust.co.za (accessed on 12 January 2021).
- Broughton, T. Landmark Silicosis Settlement Made Order of Court. Available online: https://www.groundup.org.za/article/landmark-silicosis-settlement-made-order-court/ (accessed on 5 December 2021).
- Trust Deed for the Tshiamiso Trust. Available online: https://www.tshiamisotrust.com/documents/ (accessed on 12 January 2021).
- Bloch, K.; Johnson, L.F.; Nkosi, M.; Ehrlich, R. Precarious transition: A mortality study of South African ex-miners. BMC Public Health 2018, 18, 862. [Google Scholar] [CrossRef] [PubMed]
- Leung, C.C.; Yu, I.T.S.; Chen, W. Silicosis. Lancet 2012, 379, 2008–2018. [Google Scholar] [CrossRef]
- National Institute of Safety and Health (NIOSH); Department of Health and Human Services. Health Effects of Occupational Exposure to Respirable Crystalline Silica. 2002. Available online: https://www.cdc.gov/niosh/docs/2002-129/default.html (accessed on 12 December 2021).
- Greenberg, M.I.; Waksman, J.; Curtis, J. Silicosis: A Review. Dis. Mon. 2007, 53, 394–416. [Google Scholar] [CrossRef]
- Ziskind, M.; Jones, R.; Weill, H. Silicosis. Am. Rev. Respir. Dis. 1976, 113, 643–665. [Google Scholar] [CrossRef] [PubMed]
- Ehrlich, R.I.; Gerston, K.; Lalloo, U.G. Accelerated silicosis in a foundry shotblaster. A case report. S. Afr. Med. J. 1988, 73, 128–130. [Google Scholar] [PubMed]
- Hessel, P.A.; Sluis-Cremer, G.K.; Hnizdo, E.; Faure, M.H.; Glyn Thomas, R.; Wiles, F.J. Progression of Silicosis in Relation to Silica Dust Exposure. Ann. Occup. Hyg. 1988, 32, 689–696. [Google Scholar] [CrossRef]
- Ehrlich, R.; Murray, J.; Rees, D. Subradiological silicosis. Am. J. Ind. Med. 2018, 61, 877–885. [Google Scholar] [CrossRef] [PubMed]
- Trapido, A.S.; Mqoqi, N.P.; Williams, B.C.; White, N.W.; Solomon, A.; Goode, R.H.; Macheke, C.M.; Davies, A.J.; Panter, C. Prevalence of occupational lung disease in a random sample of former mineworkers, Libode district, Eastern Cape Province, South Africa. Am. J. Ind. Med. 1998, 34, 305–313. [Google Scholar] [CrossRef]
- Ehrlich, R.; Barker, S.; Tsang, V.W.L.; Kistnasamy, B.; Yassi, A. Access of migrant gold miners to compensation for occupational lung disease: Quantifying a legacy of injustice. J. Migr. Health 2021, 4, 100065. [Google Scholar] [CrossRef] [PubMed]
- Ehrlich, R.; Montgomery, A.; Akugizibwe, P.; Gonsalves, G. Public health implications of changing patterns of recruitment into the South African mining industry, 1973–2012: A database analysis. BMC Public Health 2017, 18, 93. [Google Scholar] [CrossRef][Green Version]
- Q(h)ubeka Trust Q(h)ubeka Trust Annual Report for the Year Ended 28 February 2021. 2021. Available online: https://www.qhubekatrust.co.za/reports/ (accessed on 16 November 2021).
- International Labour Organization. ILO International Classification of Radiographs of Pneumoconioses (Digital Format); International Labour Office: Geneva, Switzerland, 2005; ISBN 978-92-2-125049-4. [Google Scholar]
- Kalra, A. Decoding the Bland—Altman plot: Basic review. J. Pract. Cardiovasc. Sci. 2017, 3, 36. [Google Scholar] [CrossRef]
- Altman, D.G.; Bland, J.M. Statistics Notes: Diagnostic tests 3: Receiver operating characteristic plots. BMJ 1994, 309, 188. [Google Scholar] [CrossRef]
- Youden, W.J. Index for rating diagnostic tests. Cancer 1950, 3, 32–35. [Google Scholar] [CrossRef]
- Knight, D.; Ehrlich, R.; Cois, A.; Fielding, K.; Grant, A.D.; Churchyard, G. Predictors of Silicosis and Variation in Prevalence across Mines among Employed Gold Miners in South Africa. BMC Public Health 2020, 20, 829. [Google Scholar] [CrossRef] [PubMed]
- Qhubeka Trust. Available online: https://www.qhubekatrust.co.za/ (accessed on 25 January 2022).
- Occupational Diseases in Mines and Works Act 78 of 1973, Republic of South Africa, Updated 1 October 2019. Available online: http://www.saflii.org/za/legis/consol_act/odimawa1873385.pdf (accessed on 30 January 2022).


| Category | Compensable (N = 1736) Count, % of Row Total | Non-Compensable (N = 1410) Count, % of Row Total | Row Total (N = 3146) Count | ||
|---|---|---|---|---|---|
| Years of service 1 | n | % | n | % | n |
| 0–2.9 | 50 | 32.1 | 106 | 67.9 | 156 |
| 3–5.9 | 101 | 31.8 | 217 | 68.2 | 318 |
| 6–9.9 | 197 | 39.7 | 299 | 60.3 | 496 |
| 10–14.9 | 285 | 51.3 | 271 | 48.7 | 556 |
| 15–19.9 | 453 | 63.2 | 264 | 36.8 | 717 |
| 20–24.9 | 262 | 68.6 | 120 | 31.4 | 382 |
| 25–29.9 | 170 | 74.2 | 59 | 25.8 | 229 |
| 30+ | 208 | 80.3 | 51 | 19.7 | 259 |
| Unknown | 10 | 30.3 | 23 | 69.7 | 33 |
| Mean years | 18.1 (95% CI 17.7, 18.5) | 12.6 (95% CI 12.2, 13.1) | |||
| Age (years) at claim | n | % | n | % | n |
| <50 | 2 | 9.5 | 19 | 90.5 | 21 |
| 50–59.9 | 259 | 45.0 | 317 | 55.0 | 576 |
| 60–69.9 | 823 | 55.6 | 657 | 44.4 | 1480 |
| 70–79.9 | 500 | 62.0 | 306 | 38.0 | 806 |
| 80+ | 152 | 62.8 | 90 | 37.2 | 242 |
| Unknown | 0 | 0.0 | 21 | 100.0 | 21 |
| Mean years | 67.5 (95% CI 67.1, 67.9) | 65.3 (95% CI 64.8, 65.7) | |||
| Years from start of service to claim | n | % | n | % | n |
| <20 | 4 | 20.0 | 16 | 80.0 | 20 |
| 20–29.9 | 65 | 46.8 | 74 | 53.2 | 139 |
| 30–39.9 | 728 | 51.8 | 678 | 48.2 | 1406 |
| 40–49.9 | 753 | 62.0 | 461 | 38.0 | 1214 |
| 50+ | 139 | 69.8 | 60 | 30.2 | 199 |
| Unknown | 47 | 28.0 | 121 | 72.0 | 168 |
| Mean years | 40.1 (95% CI 39.8, 40.4) | 38.1 (95% CI 37.8, 38.5) | |||
| Year from end of service to claim | n | % | n | % | n |
| <10 | 96 | 62.3 | 58 | 37.7 | 154 |
| 10–19.9 | 476 | 69.9 | 205 | 30.1 | 681 |
| 20–29.9 | 836 | 58.1 | 602 | 41.9 | 1438 |
| 30–39.9 | 260 | 40.2 | 386 | 59.8 | 646 |
| 40+ | 21 | 35.6 | 38 | 64.4 | 59 |
| Unknown | 47 | 28.0 | 121 | 72.0 | 168 |
| Mean years | 21.8 (95% CI 21.5, 22.2) | 25.2 (95% CI 24.8, 25.6) | |||
| Years Worked | Years from First Exposure to Claim | Years from Last Exposure to Claim | |
|---|---|---|---|
| Age | 0.17 (0.13, 0.20) | 0.53 (0.50, 0.55) | 0.21 (0.18, 0.25) |
| Years worked | 0.49 (0.46, 0.51) | −0.71 (−0.72, −0.69) | |
| Years from first exposure to claim | 0.27 (0.24, 0.30) |
| Variable (5-Year Increments) | Unadjusted Odds Ratio (95% CI) | Adjusted Model A- Odds Ratio (95% CI) | Adjusted Model B- Odds Ratio (95% CI) |
|---|---|---|---|
| Age | 1.19 (1.14, 1.25) | 1.21 (1.14, 1.28) | 1.21 (1.14, 1.28) |
| Length of service | 1.46 (1.39, 1.52) | 1.46 (1.38, 1.54) | 1.32 (1.22, 1.42) |
| First exposure, to claim | 1.27 (1.20, 1.35) | 0.91 (0.84, 0.98) | - |
| Last exposure, to claim | 0.77 (0.74, 0.81) | - | 0.90 (0.84, 0.98) |
| Compensable | Non-Compensable | ||||
|---|---|---|---|---|---|
| Years from Last Exposure to Claim | n | % (95% CI) | n | % (95% CI) | |
| ≤10 | 11 | 1 | 9.1% (0.5, 37.7) | 10 | 90.9% (62.3, 99.5) |
| 10.1–20 | 54 | 29 | 53.7% (40.6, 66.3) | 25 | 46.3% (33.7, 59.4) |
| 20.1–30 | 266 | 86 | 32.3% (27.0, 38.2) | 180 | 67.7% (61.8, 73.0) |
| 30.1–40 | 519 | 202 | 38.9% (34.8, 43.2) | 317 | 61.1% (56.8, 65.2) |
| >40 | 37 | 13 | 35.1% (21.8, 51.2) | 24 | 64.9% (48.8, 78.2) |
| Total | 887 1 | 331 | 37.3% (34.2, 40.5) | 556 | 62.7% (59.5, 65.8) |
| Predictor | AUC (95% CI) | Nagelkerke R2 |
|---|---|---|
| Unadjusted years of service | 0.681 (0.662, 0.700) | 0.122 |
| Unadjusted age | 0.583 (0.563, 0.603) | 0.026 |
| Unadjusted years from first exposure | 0.589 (0.568, 0.609) | 0.030 |
| Unadjusted years from last exposure | 0.625 (0.605, 0.646) | 0.055 |
| Adjusted model A | 0.690 (0.671, 0.709) | 0.135 |
| Adjusted model B | 0.690 (0.671, 0.709) | 0.135 |
| Threshold | Sensitivity | Specificity | |
|---|---|---|---|
| Youden’s Index | 15.7 years | 59.8% | 68.3% |
| Fixed sensitivity | |||
| 90% | 6.5 years | 90% | 27.1% |
| 80% | 9.9 years | 80% | 44.6% |
| 70% | 13.1 years | 70% | 57.2% |
| Fixed specificity | |||
| 90% | 23.5 years | 25.3% | 90% |
| 80% | 18.8 years | 42.5% | 80% |
| 70% | 16.1 years | 57.8% | 70% |
Publisher’s Note: MDPI stays neutral with regard to jurisdictional claims in published maps and institutional affiliations. |
© 2022 by the authors. Licensee MDPI, Basel, Switzerland. This article is an open access article distributed under the terms and conditions of the Creative Commons Attribution (CC BY) license (https://creativecommons.org/licenses/by/4.0/).
Share and Cite
Williams, H.; Ehrlich, R.; Barker, S.; Kisting-Cairncross, S.; Zungu, M.; Yassi, A. The Utility of Length of Mining Service and Latency in Predicting Silicosis among Claimants to a Compensation Trust. Int. J. Environ. Res. Public Health 2022, 19, 3562. https://doi.org/10.3390/ijerph19063562
Williams H, Ehrlich R, Barker S, Kisting-Cairncross S, Zungu M, Yassi A. The Utility of Length of Mining Service and Latency in Predicting Silicosis among Claimants to a Compensation Trust. International Journal of Environmental Research and Public Health. 2022; 19(6):3562. https://doi.org/10.3390/ijerph19063562
Chicago/Turabian StyleWilliams, Haidee, Rodney Ehrlich, Stephen Barker, Sophia Kisting-Cairncross, Muzimkhulu Zungu, and Annalee Yassi. 2022. "The Utility of Length of Mining Service and Latency in Predicting Silicosis among Claimants to a Compensation Trust" International Journal of Environmental Research and Public Health 19, no. 6: 3562. https://doi.org/10.3390/ijerph19063562
APA StyleWilliams, H., Ehrlich, R., Barker, S., Kisting-Cairncross, S., Zungu, M., & Yassi, A. (2022). The Utility of Length of Mining Service and Latency in Predicting Silicosis among Claimants to a Compensation Trust. International Journal of Environmental Research and Public Health, 19(6), 3562. https://doi.org/10.3390/ijerph19063562

