Effect of Bacillus subtilis Zeolite Used for Sediment Remediation on Sulfide, Phosphate, and Nitrogen Control in a Microcosm
Abstract
1. Introduction
2. Materials and Methods
2.1. Materials
2.2. Microcosm Experiment
2.3. Experimental Procedures
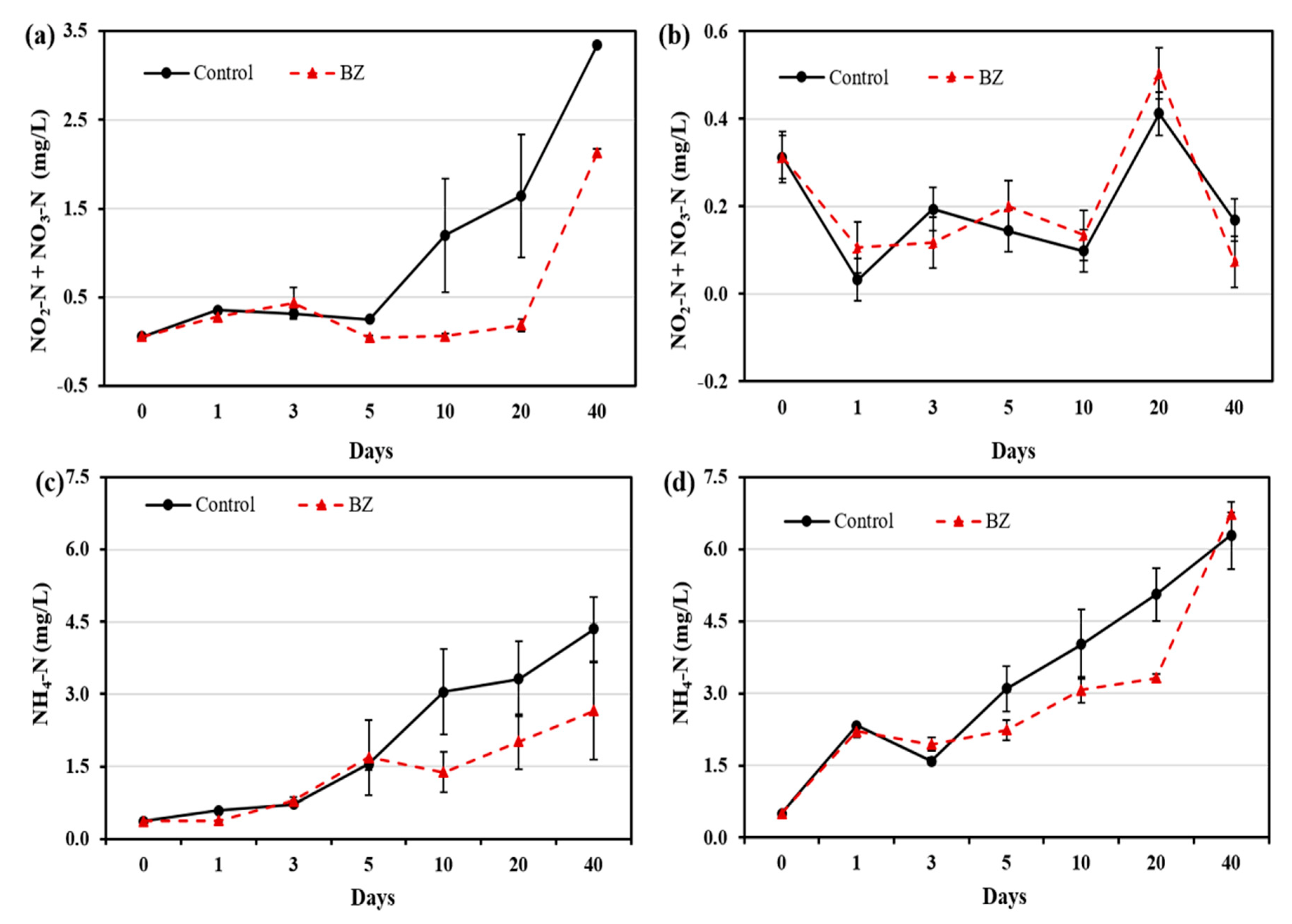
3. Results
4. Discussion
5. Conclusions
Author Contributions
Funding
Institutional Review Board Statement
Informed Consent Statement
Conflicts of Interest
References
- Ngatia, L.; Grace, J.M., III; Moriasi, D.; Taylor, R. Nitrogen and phosphorus eutrophication in marine ecosystems. In Monitoring of Marine Pollution; IntechOpen: London, UK, 2019; pp. 1–17. [Google Scholar]
- Mahler, C.F.; Dal Santo Svierzoski, N.; Bernardino, C.A.R. Chemical characteristics of humic substances in nature. In Humic Substance; IntechOpen: London, UK, 2021. [Google Scholar] [CrossRef]
- Bronk, D.A.; See, J.H.; Bradley, P.; Killberg, L. DON as a source of bioavailable nitrogen for phytoplankton. Biogeosciences 2007, 4, 283–296. [Google Scholar] [CrossRef]
- Rickard, D.; Morse, J.W. Acid volatile sulfide (AVS). Mar. Chem. 2005, 97, 141–197. [Google Scholar] [CrossRef]
- Landa, M.; Burns, A.S.; Durham, B.P.; Esson, K.; Nowinski, B.; Sharma, S.; Vorobev, A.; Nielsen, T.; Kiene, R.P.; Moran, M.A. Sulfur metabolites that facilitate oceanic phytoplankton–bacteria carbon flux. ISME J. 2019, 13, 2536–2550. [Google Scholar] [CrossRef]
- Wasmund, K.; Mußmann, M.; Loy, A. The life sulfuric: Microbial ecology of sulfur cycling in marine sediments. Environ. Microbiol. Rep. 2017, 9, 323–344. [Google Scholar] [CrossRef] [PubMed]
- Yokoyama, H. Environmental quality criteria for fish farms in Japan. Aquaculture 2003, 226, 45–56. [Google Scholar] [CrossRef]
- Chislock, M.F.; Doster, E.; Zitomer, R.A.; Wilson, A.E. Eutrophication: Causes, consequences, and controls in aquatic ecosystems. Nat. Educ. Knowl. 2013, 4, 10. [Google Scholar]
- Woo, H.E.; Tran, T.V.; Lee, I.C.; Kim, J.O.; Hibino, T.; Nohara, H.; Kim, K. Remediation of contaminated sediment at harbor areas using SFCM (slaked lime—fly ash—cement mixture). Estuar. Coast. Shelf Sci. 2019, 227, 106340. [Google Scholar] [CrossRef]
- Yamamoto, T.; Kim, K.H.; Shirono, K. A pilot study on remediation of sediments enriched by oyster farming wastes using granulated coal ash. Mar. Pollut. Bull. 2015, 90, 54–59. [Google Scholar] [CrossRef]
- Kim, K.; Hibino, T.; Yamamoto, T.; Hayakawa, S.; Mito, Y.; Nakamoto, K.; Lee, I.C. Field experiments on remediation of coastal sediments using granulated coal ash. Mar. Pollut. Bull. 2014, 83, 132–137. [Google Scholar] [CrossRef]
- Zhang, C.; Zhu, M.Y.; Zeng, G.M.; Yu, Z.G.; Cui, F.; Yang, Z.Z.; Shen, L.Q. Active capping technology: A new environmental remediation of contaminated sediment. Environ. Sci. Pollut. Res. Int. 2016, 23, 4370–4386. [Google Scholar] [CrossRef]
- Himmelheber, D.W.; Pennell, K.D.; Hughes, J.B. Evaluation of a laboratory-scale bioreactive in situ sediment cap for the treatment of organic contaminants. Water Res. 2011, 45, 5365–5374. [Google Scholar] [CrossRef][Green Version]
- Paul, S.I.; Rahman, M.M.; Salam, M.A.; Khan, M.A.R.; Islam, M.T. Identification of marine sponge-associated bacteria of the Saint Martin’s Island of the Bay of Bengal emphasizing on the prevention of motile Aeromonas septicemia in Labeo rohita. Aquaculture 2021, 545, 737156. [Google Scholar] [CrossRef]
- Rahman, M.M.; Paul, S.I.; Akter, T.; Tay, A.C.Y.; Foysal, M.J.; Islam, M.T. Whole-genome sequence of Bacillus subtilis WS1A, a promising fish probiotic strain isolated from marine sponge of the Bay of Bengal. Microbiol. Resour. Announc. 2020, 9, e00641–e20. [Google Scholar] [CrossRef]
- Belaabed, R.; Elabed, S.; Addaou, A.; Laajab, A.; Rodríguez, M.A.; Lahsini, A. Synthesis of LTA zeolite for bacterial adhesion. Bol. Soc. Española Ceram. Vidrio 2016, 55, 152–158. [Google Scholar] [CrossRef]
- Abioye, O.P.; Oyewole, O.A.; Oyeleke, S.B.; Adeyemi, M.O.; Orukotan, A.A. Biosorption of lead, chromium, and cadmium in tannery effluent using indigenous microorganisms. Braz. J. Biol. Sci. 2018, 5, 25–32. [Google Scholar] [CrossRef]
- Kannapiran, E.; Ramkumar, V.S. Isolation of phosphate solubilizing bacteria from the sediments of Thondi coast, Palk Strait, Southeast coast of India. Ann. Biol. Res. 2011, 2, 157–163. [Google Scholar]
- Desouza, M.J.; Nair, S.; Chandramohan, D. Phosphate solubilizing bacteria around Indian peninsula. Indian J. Mar. Sci. 2000, 29, 48–51. [Google Scholar]
- Zhang, W.; Li, X.; Liu, T.; Li, F. Enhanced nitrate reduction and current generation by Bacillus sp. in the presence of iron oxides. J. Soils Sediments 2012, 12, 354–365. [Google Scholar] [CrossRef]
- González, P.J.; Correia, C.; Moura, I.; Brondino, C.D.; Moura, J.J.G. Bacterial nitrate reductases: Molecular and biological aspects of nitrate reduction. J. Inorg. Biochem. 2006, 100, 1015–1023. [Google Scholar] [CrossRef]
- Kang, J.H.; Lee, S.J.; Jeong, W.G.; Cho, S.M. Geochemical characteristics and heavy metal pollutions in the surface sediments of oyster farms in Goseong Bay, Korea. Korean J. Malacol. 2012, 28, 233–244. [Google Scholar] [CrossRef][Green Version]
- Lee, G.; Hwang, D.W.; Hwang, H.; Park, J.H.; Kim, H.C.; Kwon, J.N. Distribution and pollution status of organic matter and heavy metals in surface sediment Around Goseong Bay, a shellfish farming area, Korea. J. Korean Soc. Mar. Environ. Saf. 2017, 23, 699–709. [Google Scholar] [CrossRef]
- Arakawa, K. Teishitsu Chousa Hou (Methods of Sediment Quality Analyses). In Suishitsu Odaku Chosa Shishin; Japanese Fishery Resource Conservation Association, Ed.; Japanese Fishery Resource Conservation Association: Tokyo, Japan, 1980; pp. 237–272. (In Japanese) [Google Scholar]
- American Public Health Association; American Water Works Association; Water Pollution Control Federation. Standard Methods for Examination of Water and Wastewater, 17th ed.; APHA: Washington, DC, USA, 1989; pp. 4–152. [Google Scholar]
- Nobi, E.P.; Dilipan, E.; Thangaradjou, T.; Sivakumar, K.; Kannan, L. Geochemical and geo-statistical assessment of heavy metal concentration in the sediments of different coastal ecosystems of Andaman Islands, India. Estuar. Coast. Shelf Sci. 2010, 87, 253–264. [Google Scholar] [CrossRef]
- Bajaj, I.B.; Singhal, R.S. Flocculation properties of Poly (γ-Glutamic Acid) produced from Bacillus subtilis isolate. Food Bioprocess Technol. 2011, 4, 745–752. [Google Scholar] [CrossRef]
- Kim, K.; Yoon, H.S.; Lee, I.C.; Hibino, T. An influence of salinity on resuspension of cohesive sediment. J. Coast. Res. 2016, 75, 68–72. [Google Scholar] [CrossRef]
- Akinpelu, E.A.; Ntwampe, S.K.O.; Fosso-Kankeu, E.; Nchu, F.; Angadam, J.O. Performance of microbial community dominated by Bacillus spp. in acid mine drainage remediation systems: A focus on the high removal efficiency of SO42-, Al3+, CD2+, Cu2+, Mn2+, Pb2+, and Sr2+. Heliyon 2021, 7, e07241. [Google Scholar] [CrossRef] [PubMed]
- Nakano, M.M.; Zuber, P. Anaerobic growth of a “strict aerobe” (Bacillus subtilis). Annu. Rev. Microbiol. 1998, 52, 165–190. [Google Scholar] [CrossRef] [PubMed]
- Rawat, P.; Das, S.; Shankhdhar, D.; Shankhdhar, S.C. Phosphate-solubilizing microorganisms: Mechanism and their role in phosphate solubilization and uptake. J. Soil Sci. Plant Nutrit. 2021, 21, 49–68. [Google Scholar] [CrossRef]
- Lam, P.; Kuypers, M.M. Microbial nitrogen cycling processes in oxygen minimum zones. Annu. Rev. Mar. Sci. 2011, 3, 317–345. [Google Scholar] [CrossRef] [PubMed]
- Gómez, M.A.; Hontoria, E.; González-López, J. Effect of dissolved oxygen concentration on nitrate removal from groundwater using a denitrifying submerged filter. J. Hazard. Mater. 2002, 90, 267–278. [Google Scholar] [CrossRef]



Publisher’s Note: MDPI stays neutral with regard to jurisdictional claims in published maps and institutional affiliations. |
© 2022 by the authors. Licensee MDPI, Basel, Switzerland. This article is an open access article distributed under the terms and conditions of the Creative Commons Attribution (CC BY) license (https://creativecommons.org/licenses/by/4.0/).
Share and Cite
Patil, M.P.; Jeong, I.; Woo, H.-E.; Oh, S.-J.; Kim, H.C.; Kim, K.; Nakashita, S.; Kim, K. Effect of Bacillus subtilis Zeolite Used for Sediment Remediation on Sulfide, Phosphate, and Nitrogen Control in a Microcosm. Int. J. Environ. Res. Public Health 2022, 19, 4163. https://doi.org/10.3390/ijerph19074163
Patil MP, Jeong I, Woo H-E, Oh S-J, Kim HC, Kim K, Nakashita S, Kim K. Effect of Bacillus subtilis Zeolite Used for Sediment Remediation on Sulfide, Phosphate, and Nitrogen Control in a Microcosm. International Journal of Environmental Research and Public Health. 2022; 19(7):4163. https://doi.org/10.3390/ijerph19074163
Chicago/Turabian StylePatil, Maheshkumar Prakash, Ilwon Jeong, Hee-Eun Woo, Seok-Jin Oh, Hyung Chul Kim, Kyeongmin Kim, Shinya Nakashita, and Kyunghoi Kim. 2022. "Effect of Bacillus subtilis Zeolite Used for Sediment Remediation on Sulfide, Phosphate, and Nitrogen Control in a Microcosm" International Journal of Environmental Research and Public Health 19, no. 7: 4163. https://doi.org/10.3390/ijerph19074163
APA StylePatil, M. P., Jeong, I., Woo, H.-E., Oh, S.-J., Kim, H. C., Kim, K., Nakashita, S., & Kim, K. (2022). Effect of Bacillus subtilis Zeolite Used for Sediment Remediation on Sulfide, Phosphate, and Nitrogen Control in a Microcosm. International Journal of Environmental Research and Public Health, 19(7), 4163. https://doi.org/10.3390/ijerph19074163

