How to Prevent Hostile Behaviors and Emotional Exhaustion among Law Enforcement Professionals: The Negative Spiral of Role Conflict
Abstract
1. Introduction
2. Literature Review
2.1. The Mediating Role of Role Conflict between Laissez-Faire Leadership and Hostility or Emotional Exhaustion
2.2. The Moderating Role of Self-Efficacy and Interactional Justice
2.3. The Moderating Role of Meaning of the Work and Family–Work Enrichment
3. Methodology
3.1. Participants and Procedure
3.2. Instruments
4. Results
4.1. Common Method Bias
4.2. Model Analysis
4.3. Mediation
4.4. Moderation
5. Discussion
6. Practical Implications and Future Research
7. Conclusions and Future Research Lines
Author Contributions
Funding
Informed Consent Statement
Data Availability Statement
Conflicts of Interest
References
- Zhou, J. How does COVID-19 pandemic strength influence work fatigue? The mediating role of occupational calling. Curr. Psychol. 2022, 1–13. [Google Scholar] [CrossRef] [PubMed]
- Lopez-Cabarcos, M.A.; Lopez-Carballeira, A.; Ferro-Soto, C. How to avoid a lack of work engagement among public police professionals. Eur. Manag. Rev. 2022, 1–13. [Google Scholar] [CrossRef]
- Hofer, M.S. “It’s a Constant Juggling Act”: Toward Coherent Priorities for US Policing. Justice Q. 2021, 38, 1448–1470. [Google Scholar] [CrossRef]
- Qureshi, H.; Lambert, E.G.; Frank, J. The relationship between stressors and police job involvement. Int. J. Police Sci. Manag. 2019, 21, 48–61. [Google Scholar] [CrossRef]
- Rizzo, J.R.; House, R.J.; Lirtzman, S.I. Role Conflict and Ambiguity in Complex Organizations. Adm. Sci. Q. 1970, 15, 150–162. [Google Scholar] [CrossRef]
- Lawson, S.G.; Wolfe, S.E.; Rojek, J.; Alpert, G.P. Occupational stress and attitudes toward misconduct in law enforcement: The moderating role of organizational justice. Police Pract. Res. 2022, 23, 95–110. [Google Scholar] [CrossRef]
- Lambert, E.G.; Qureshi, H.; Frank, J.; Anand, V.; Santhanam, N.; Grover, A. Testing the job demands–job resources model for police officer job burnout in a sample of Indian police officers. Int. Criminol. 2022, 2, 188–205. [Google Scholar] [CrossRef]
- Brender-Ilan, Y.; Sheaffer, Z. How do self-efficacy, narcissism and autonomy mediate the link between destructive leadership and counterproductive work behaviour. Asia Pac. Manag. Rev. 2019, 24, 212–222. [Google Scholar] [CrossRef]
- Mehmood, S.A.; Malik, A.R.; Nadarajah, D.; Saood Akhtar, M. A moderated mediation model of counterproductive work behaviour, organisational justice, organisational embeddedness and psychological ownership. Pers. Rev. 2022, 51, 841–860. [Google Scholar] [CrossRef]
- Fors Brandebo, M.; Österberg, J.; Berglund, A.K. The Impact of Constructive and Destructive Leadership on Soldier’s Job Satisfaction. Psychol. Rep. 2019, 122, 1068–1086. [Google Scholar] [CrossRef]
- Santa Maria, A.; Woerfel, F.; Wolter, C.; Gusy, B.; Rotter, M.; Stark, S.; Kleiber, D.; Renneberg, B. The role of job demands and job resources in the development of emotional exhaustion, depression, and anxiety among police officers. Police Q. 2018, 21, 109–134. [Google Scholar] [CrossRef]
- Bass, B.; Avolio, B.J. Multifactor Leadership Questionnaire. Manual and Sampler Set, 3rd ed.; Mind Garden: Redwood City, CA, USA, 2004. [Google Scholar]
- Cavanaugh, M.A.; Boswell, W.R.; Roehling, M.V.; Boudreau, J.W. An empirical examination of self-reported work stress among U.S. managers. J. Appl. Psychol. 2000, 85, 65–74. [Google Scholar] [CrossRef] [PubMed]
- Buss, A.H. Stimulus generalization and aggressive verbal stimuli. J. Exp. Psychol. 1961, 61, 469–473. [Google Scholar] [CrossRef]
- Maslach, C.; Jackson, S.E. Maslach Burnout Inventory; Consulting Psychologists Press: Palo Alto, CA, USA, 1986. [Google Scholar]
- Murad, M.; Jiatong, W.; Shahzad, F.; Syed, N. The influence of despotic leadership on counterproductive work behavior among police personnel: Role of emotional exhaustion and organizational cynicism. J. Police Crim. Psychol. 2021, 36, 603–615. [Google Scholar] [CrossRef]
- Cohen, A. Are they among us? A conceptual framework of the relationship between the dark triad personality and counterproductive work behaviors (CWBs). Hum. Resour. Manage. Rev. 2016, 26, 69–85. [Google Scholar] [CrossRef]
- Hobfoll, S.E.; Halbesleben, J.; Neveu, J.P.; Westman, M. Conservation of resources in the organizational context: The reality of resources and their consequences. Annu. Rev. Organ. Psychol. Organ. Behav. 2018, 5, 103–128. [Google Scholar] [CrossRef]
- Luthans, F.; Avolio, B.J.; Avey, J.B.; Norman, S.M. Positive psychological capital: Measurement and relationship with performance and satisfaction. Pers. Psychol. 2007, 60, 541–572. [Google Scholar] [CrossRef]
- Bies, R.J.; Moag, J.S. Interactional Justice: Communication Criteria of Fairness. In Research on Negotiation in Organizations; Lewicki, R.J., Sheppard, B.H., Bazerman, M.H., Eds.; JAI Press: Greenwich, CT, USA, 1986; pp. 43–55. [Google Scholar]
- Kristensen, T.S.; Hannerz, H.; Høgh, A.; Borg, V. The Copenhagen Psychosocial Questionnaire—A tool for the assessment and improvement of the psychosocial work environment. Scand. J. Work. Environ. Health 2005, 31, 438–449. [Google Scholar] [CrossRef]
- Geurts, S.A.E.; Taris, T.W.; Kompier, M.A.J.; Dikkers, J.S.E.; Van Hooff, M.L.M.; Kinnunen, U.M. Work-home interaction from a work psychological perspective: Development and validation of a new questionnaire, the SWING. Work. Stress 2005, 19, 319–339. [Google Scholar] [CrossRef]
- Alcadipani, R.; Lotta, G.; Rodrigues, C. Police officers and the meaning of work: The forgotten dimension. Public Organ Rev. 2021, 22, 1081–1097. [Google Scholar] [CrossRef]
- Agrawal, M.; Mahajan, R. The relationship between family cohesion, family-work conflict, enrichment and psychological health of Indian police. Polic. Int. J. Police Strateg. Manag. 2022, 45, 794–811. [Google Scholar] [CrossRef]
- Basinska, B.A.; Dåderman, A.M. Work values of police officers and their relationship with job burnout and work engagement. Front. Psychol. 2019, 10, 442. [Google Scholar] [CrossRef]
- Andrews, K.L.; Jamshidi, L.; Nisbet, J.; Price, J.A.B.; Teckchandani, T.A.; Ricciardelli, R.; Anderson, G.S.; Carleton, R.N. Exposures to potentially psychologically traumatic events among Canadian coast guard and conservation and protection officer. Int. J. Environ. Res. Public Health 2022, 19, 15116. [Google Scholar] [CrossRef]
- Smith, J.; Charles, G. The relevance of spirituality in Policing: A dual analysis. Int. J. Police Sci. Manag. 2010, 12, 320–338. [Google Scholar] [CrossRef]
- Diebig, M.; Bormann, K.C. The dynamic relationship between laissez-faire leadership and day-level stress: A role theory perspective. Ger. J. Hum. Resour. Manag. 2020, 34, 324–344. [Google Scholar] [CrossRef]
- Robert, V.; Vandenberghe, C. Laissez-faire leadership and affective commitment: The roles of leader-member exchange and subordinate relational self-concept. J. Bus. Psychol. 2021, 36, 533–551. [Google Scholar] [CrossRef]
- Fosse, T.H.; Skogstad, A.; Einarsen, S.V.; Martinussen, M. Active and passive forms of destructive leadership in a military context: A systematic review and meta-analysis. Eur. J. Work Organ. Psychol. 2019, 28, 708–722. [Google Scholar] [CrossRef]
- Cohen, I.M.; McCormick, A.V.; Rich, B. Creating a culture of police officer wellness. Polic. J. Policy Pract. 2019, 13, 213–229. [Google Scholar] [CrossRef]
- Einarsen, S.; Aasland, M.S.; Skogstad, A. Destructive leadership behaviour: A definition and conceptual model. Lead. Q. 2007, 18, 207–216. [Google Scholar] [CrossRef]
- Skogstad, A.; Einarsen, S.; Torsheim, T.; Aasland, M.S.; Hetland, H. The destructiveness of laissez-faire leadership behavior. J Occup Health Psychol. 2007, 12, 80–92. [Google Scholar] [CrossRef]
- Zakimi, N.; Greer, A.; Butler, A. Too many hats? The role of police officers in drug enforcement and the community. Polic. J. Policy Pract. 2022, 2022, paab082. [Google Scholar] [CrossRef]
- Lee, J. Passive leadership and sexual harassment: Roles of observed hostility and workplace gender ratio. Pers. Rev. 2018, 47, 594–612. [Google Scholar] [CrossRef]
- Montani, F.; Setti, I.; Sommovigo, V.; Courcy, F.; Giorgi, G. Who responds creatively to role conflict? Evidence for a curvilinear relationship mediated by cognitive adjustment at work and moderated by mindfulness. J. Bus. Psychol. 2020, 35, 621–641. [Google Scholar] [CrossRef]
- Nguyen, T.M.; Malik, A.; Budhwar, P. Knowledge hiding in organizational crisis: The moderating role of leadership. J. Bus. Res. 2022, 139, 161–172. [Google Scholar] [CrossRef]
- Cooper, J.A. Noble cause corruption as a consequence of role conflict in the police organisation. Polic. Soc. 2012, 22, 169–184. [Google Scholar] [CrossRef]
- Gamian-Wilk, M.; Bjorkelo, B.; Mikkelsen, E.G.; D’Cruz, P.; Madeja-Bien, K. Workplace bullying: Individual hostility, poor work environment or both? Exploring competing explanatory models in a single longitudinal study. Int. Arch. Occup. Environ. Health 2022, 95, 1955–1969. [Google Scholar] [CrossRef]
- Simas, V.; Schram, B.; Canetti, E.F.D.; Maupin, D.; Orr, R. Factors Influencing Marksmanship in Police Officers: A Narrative Review. Int. J. Environ. Res. Public Health 2022, 19, 14236. [Google Scholar] [CrossRef]
- Bakker, A.B.; Demerouti, E. Job Demands-Resources Theory: Taking Stock and Looking Forward. J. Occup. Health Psychol. 2017, 22, 273–285. [Google Scholar] [CrossRef]
- Rosso, B.D.; Dekas, K.H.; Wrzesniewski, A. On the meaning of work: A theoretical integration and review. Res. Organ. Behav. 2010, 30, 91–127. [Google Scholar] [CrossRef]
- Lan, T.; Chen, M.; Zeng, X.; Liu, T. The Influence of Job and Individual Resources on Work Engagement Among Chinese Police Officers: A Moderated Mediation Model. Front. Psychol. 2020, 11, 497. [Google Scholar] [CrossRef]
- Cohen-Charash, Y.; Spector, P.E. The role of justice in organizations: A meta-analysis. Organ. Behav. Hum. Decis. Process. 2001, 86, 278–321. [Google Scholar] [CrossRef]
- Wolfe, S.E.; Piquero, A.R. Organizational Justice and Police Misconduct. Crim. Justice Behav. 2011, 38, 332–353. [Google Scholar] [CrossRef]
- Kumasey, A.S.; Delle, E.; Hossain, F. Not all justices are equal: The unique effects of organizational justice on the behaviour and attitude of government workers in Ghana. Int. Rev. Adm. Sci. 2021, 87, 78–96. [Google Scholar] [CrossRef]
- Myhill, A.; Bradford, B. Overcoming cop culture? Organizational justice and police officers’ attitudes toward the public. Policing Int. J. Police Strateg. Manag. 2013, 36, 338–356. [Google Scholar] [CrossRef]
- Carr, J.D.; Maxwell, S.R. Police officers’ perceptions of organizational justice and their trust in the public. Police Pract. Res. 2018, 19, 365–379. [Google Scholar] [CrossRef]
- Wrzesniewski, A.C.; Dutton, J.E.; Debebe, G. Interpersonal sensemaking and the meaning of work. Res. Organ. Beh. 2003, 25, 93–135. [Google Scholar] [CrossRef]
- Rosca, A.C.; Mateizer, A.; Dan, C.I.; Demerouti, E. Job demands and exhaustion in firefighters: The moderating role of work meaning. A cross-sectional study. Int. J. Environ. Res. Public Health 2021, 18, 9819. [Google Scholar] [CrossRef]
- Frapsauce, A.; Gilibert, D.; Samatan, A.; Sauvezon, C. Meaning of work, perceived recognition and social support in PTSD among police officers. J. Police Crim. Psychol. 2022, 37, 499–511. [Google Scholar] [CrossRef]
- Silveira-Rodrigues, C.; Chambel, M.J.; Carvalho, V.S. Positive psychology in context of peacekeeping militaries: A mediation model of work-family enrichment. Int. J. Environ. Res. Public Health 2021, 18, 429. [Google Scholar] [CrossRef]
- Lin, S.H.J.; Chang, C.H.D.; Lee, H.W.; Johnson, R.E. Positive family events facilitate effective leader behaviors at work: A within-individual investigation of family-work enrichment. J. Appl. Psychol. 2021, 106, 1412–1434. [Google Scholar] [CrossRef]
- Bryant, F.B.; Smith, B.D. Refining the Architecture of Aggression: A Measurement Model for the Buss-Perry Aggression Questionnaire. J. Res. Pers. 2001, 35, 138–167. [Google Scholar] [CrossRef]
- Luthans, F.; Youssef, C.M.; Avolio, B.J. Psychological Capital and beyond; Oxford University Press: New York, NY, USA, 2015. [Google Scholar]
- Moliner, C.; Martínez-Tur, V.; Carbonell, S. ¿Cuántas dimensiones tiene la justicia organizacional? Rev. Psicol. Soc. Apl. 2003, 13, 91–106. [Google Scholar]
- Podsakoff, P.M.; MacKenzie, S.B.; Lee, J.Y.; Podsakoff, N.P. Common method biases in behavioral research: A critical review of the literature and recommended remedies. J. Appl. Psychol. 2003, 88, 879–903. [Google Scholar] [CrossRef] [PubMed]
- Harman, H.H. Modem Factor Analysis; University Press of Chicago: Chicago, IL, USA, 1967. [Google Scholar]
- Korsgaard, M.A.; Roberson, L. Procedural Justice in Performance Evaluation: The Role of Instrumental and Non-Instrumental Voice in Performance Appraisal Discussions. J. Manag. 1995, 21, 657–669. [Google Scholar] [CrossRef]
- Baron, R.M.; Kenny, D.A. The Moderator-Mediator Variable Distinction in Social Psychological Research. Conceptual, Strategic, and Statistical Considerations. J. Pers. Soc. Psychol. 1986, 51, 1173–1182. [Google Scholar] [CrossRef] [PubMed]
- Sobel, M.E. Asymptotic confidence intervals for indirect effects in structural equation models. Sociol. Methodol. 1982, 13, 290–312. [Google Scholar] [CrossRef]
- Goodman, L.A. On the Exact Variance of Products. J. Am. Stat. Assoc. 1960, 55, 708–713. [Google Scholar] [CrossRef]



| M | SD | LD | RC | HOS | EE | SE | IJ | MW | PFW | |
|---|---|---|---|---|---|---|---|---|---|---|
| LD | 2.8361 | 1.1724 | 0.931 | |||||||
| RD | 3.1278 | 0.74766 | 0.356 ** | 0.829 | ||||||
| HOS | 1.6611 | 0.65395 | 0.176 * | 0.282 ** | 0.703 | |||||
| EE | 1.7922 | 1.09102 | 0.267 ** | 0.426 ** | 0.453 ** | 0.906 | ||||
| SE | 3.9040 | 1.25073 | −0.136 | −0.216 ** | −0.253 ** | −0.377 ** | 0.861 | |||
| IJ | 2.7722 | 1.09923 | −0.726 ** | −0.386 ** | −0.170 * | −0.302 ** | 0.54 ** | 0.914 | ||
| MW | 3.7259 | 0.78483 | −0.341 ** | −0.277 ** | −0.310 ** | −0.426 ** | 0.308 ** | 0.328 ** | 0.758 | |
| PFW | 2.4556 | 0.83223 | −0.261 ** | 0.088 | −0.018 | 0.039 | 0.068 | 0.172 * | 0.359 ** | 0.824 |
| (a) Mediating Role of Role Conflict between Laissez-Faire Leadership and Hostility | ||||||||
|---|---|---|---|---|---|---|---|---|
| χ2 (df) | GFI | RMSEA | AGFI | NFI | TLI | CFI | χ2/df | |
| Model 1 | 53.764 (32) | 0.944 | 0.062 | 0.904 | 0.947 | 0.969 | 0.978 | 1.680 |
| Model 2 | 55.185 (33) | 0.943 | 0.061 | 0.905 | 0.946 | 0.969 | 0.977 | 1.672 |
| Model 3 | 85.705 (34) | 0.917 | 0.092 | 0.866 | 0.916 | 0.930 | 0.947 | 2.521 |
| Standardized Coefficients and (t-values) | ||||||||
| Model 1 | Model 2 | Model 3 | ||||||
| RC←LF | 0.413 (5.29) | 0.417 (5.35) *** | ||||||
| HO←RC | 0.211 (1.96) * | 0.212 (2.92) ** | ||||||
| HO←LF | 0.128 (1.51) | 0.211 (2.78) ** | ||||||
| (b) Mediating Role Of Role Conflict between Laissez-Faire Leadership and Emotional Exhaustion | ||||||||
| χ2 (df) | GFI | RMSEA | AGFI | NFI | TLI | CFI | χ2/df | |
| Model 1 | 106.618 (50) | 0.968 | 0.08 | 0.856 | 0.933 | 0.951 | 0.963 | 2.132 |
| Model 2 | 109.592 (51) | 0.906 | 0.081 | 0.856 | 0.931 | 0.950 | 0.961 | 2.168 |
| Model 3 | 153.702 (53) | 0.875 | 0.0105 | 0.813 | 0.904 | 0.916 | 0.934 | 2.956 |
| Standardized Coefficients and (t-values) | ||||||||
| Model 1 | Model 2 | Model 3 | ||||||
| RC←LF | 0.414 (5.31) *** | 0.425 (5.38) *** | ||||||
| EE←RC | 3.76 (3.51) *** | 0.460 (5.82) *** | ||||||
| EE←LF | 0.172 (1.72) * | 0.325 (3.92) *** | ||||||
| Direct Effects | Effect | BootSE | p | BootLLCI | BootULCI |
|---|---|---|---|---|---|
| LF→RC | 0.418 | 0.077 | 0.001 | 0.259 | 0.563 |
| RC→HO | 0.278 | 0.084 | 0.004 | 0.113 | 0.441 |
| LF→RC | 0.426 | 0.077 | 0.001 | 0.263 | 0.568 |
| RC→EE | 0.469 | 0.081 | 0.001 | 0.293 | 0.606 |
| Indirect Effects | Effect | BootSE | p | BootLLCI | BootULCI |
| LF→RC→HO | 0.116 | 0.044 | 0.003 | 0.043 | 0.216 |
| LF→RC→EE | 0.200 | 0.055 | 0.001 | 0.099 | 0.313 |
| (a) Moderation Effect of SE | ||||||||
|---|---|---|---|---|---|---|---|---|
| Multiple Group CFA | ||||||||
| χ2 (df) | χ2/df | Δχ2 (Δdf) | RMSEA | CFI | p-value | Invariant | ||
| Baseline (no constraints) | 289.000 (172) | 1.680 | 0.062 | 0.928 | ||||
| Factor loading invariance | 301.219 (177) | 1.702 | 12.219 (5) | 0.063 | 0.924 | 0.032 | No | |
| Multiple Group SEM Models | Moderation | |||||||
| χ2 (df) | Path invariance | p-value | Invariant | |||||
| Const LF→RC | 294.326 (173) | 292.810 (7) | <0.05 | No | Yes | |||
| (b) Moderation Effect of IJ | ||||||||
| Multiple Group CFA | ||||||||
| χ2 (df) | χ2/df | Δχ2 (Δdf) | RMSEA | CFI | p-value | Invariant | ||
| Baseline (no constraints) | 267.704 (172) | 1.556 | 0.056 | 0.937 | ||||
| Factor loading invariance | 285.674 (177) | 1.614 | 17.970 (5) | 0.059 | 0.928 | 0.003 | No | |
| Multiple Group SEM Models | Moderation | |||||||
| χ2 (df) | Path invariance | p-value | Invariant | |||||
| Const LF→RC | 271.985 (173) | 271.514 (7) | <0.05 | No | Yes | |||
| (c) Moderation Effect of MW | ||||||||
| Multiple Group CFA | ||||||||
| χ2 (df) | χ2/df | Δχ2 (Δdf) | RMSEA | CFI | p-value | Invariant | ||
| Baseline (no constraints) | 271.889 (172) | 1.581 | 0.057 | 0.939 | ||||
| Factor loading invariance | 288.235 (177) | 1.628 | 16.346 (5) | 0.059 | 0.932 | 0.006 | No | |
| Multiple Group SEM Models | Moderation | |||||||
| χ2 (df) | Path invariance | p-value | Invariant | |||||
| Const RC→HO | 274.603 (173) | 274.599 (7) | <0.10 | No | Yes | |||
| (d) Moderation Effect of PFW | ||||||||
| Multiple Group CFA | ||||||||
| χ2 (df) | χ2/df | Δχ2 (Δdf) | RMSEA | CFI | p-value | Invariant | ||
| Baseline (no constraints) | 279.781 (172) | 1.627 | 0.059 | 0.937 | ||||
| Factor loading invariance | 291.719 (177) | 1.648 | 11.938 (5) | 0.060 | 0.933 | 0.036 | No | |
| Multiple Group SEM Models | Moderation | |||||||
| χ2 (df) | Path invariance | p-value | Invariant | |||||
| Const RC→EE | 283.601 (173) | 283.591 (7) | 0.05 | No | Yes | |||
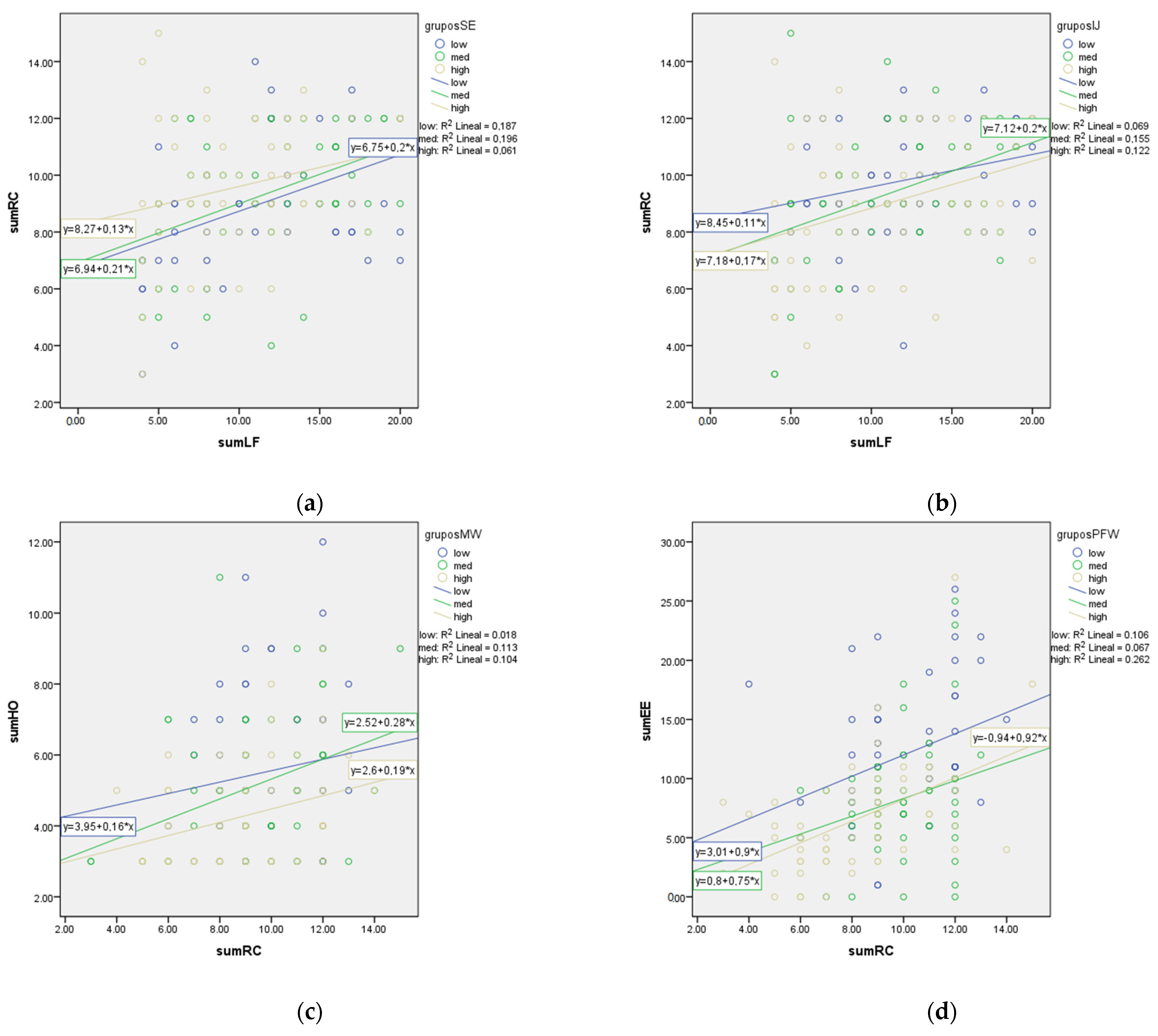
| (a) Paths and R2 Coefficients in Moderation Relationship of SE | |||||
|---|---|---|---|---|---|
| Low | High | Low | High | ||
| Relationships | β | R2 | Mod. Confidence (%) | ||
| LF→RC | 0.430 | 0.324 | 0.185 | 0.105 | 95 |
| (b) Paths and R2 Coefficients in Moderation Relationship of IJ | |||||
| Low | High | Low | High | ||
| Relationships | β | R2 | Mod. Confidence (%) | ||
| LF→RC | 0.348 | 0.259 | 0.131 | 0.077 | 95 |
| (c) Paths and R2 Coefficients in Moderation Relationship of MW | |||||
| Low | High | Low | High | ||
| Relationships | β | R2 | Mod. Confidence (%) | ||
| RC→HO | 0.190 | 0.542 | 0.041 | 0.312 | 90 |
| (d) Paths and R2 Coefficients in Moderation Relationship of PFW | |||||
| Low | High | Low | High | ||
| Relationships | β | R2 | Mod. Confidence (%) | ||
| RC→EE | 0.489 | 0.491 | 0.258 | 0.253 | 95 |
Disclaimer/Publisher’s Note: The statements, opinions and data contained in all publications are solely those of the individual author(s) and contributor(s) and not of MDPI and/or the editor(s). MDPI and/or the editor(s) disclaim responsibility for any injury to people or property resulting from any ideas, methods, instructions or products referred to in the content. |
© 2023 by the authors. Licensee MDPI, Basel, Switzerland. This article is an open access article distributed under the terms and conditions of the Creative Commons Attribution (CC BY) license (https://creativecommons.org/licenses/by/4.0/).
Share and Cite
López-Cabarcos, M.Á.; López-Carballeira, A.; Ferro-Soto, C. How to Prevent Hostile Behaviors and Emotional Exhaustion among Law Enforcement Professionals: The Negative Spiral of Role Conflict. Int. J. Environ. Res. Public Health 2023, 20, 863. https://doi.org/10.3390/ijerph20010863
López-Cabarcos MÁ, López-Carballeira A, Ferro-Soto C. How to Prevent Hostile Behaviors and Emotional Exhaustion among Law Enforcement Professionals: The Negative Spiral of Role Conflict. International Journal of Environmental Research and Public Health. 2023; 20(1):863. https://doi.org/10.3390/ijerph20010863
Chicago/Turabian StyleLópez-Cabarcos, María Ángeles, Analía López-Carballeira, and Carlos Ferro-Soto. 2023. "How to Prevent Hostile Behaviors and Emotional Exhaustion among Law Enforcement Professionals: The Negative Spiral of Role Conflict" International Journal of Environmental Research and Public Health 20, no. 1: 863. https://doi.org/10.3390/ijerph20010863
APA StyleLópez-Cabarcos, M. Á., López-Carballeira, A., & Ferro-Soto, C. (2023). How to Prevent Hostile Behaviors and Emotional Exhaustion among Law Enforcement Professionals: The Negative Spiral of Role Conflict. International Journal of Environmental Research and Public Health, 20(1), 863. https://doi.org/10.3390/ijerph20010863

