The Effect of Aerobic Fitness on Psychological, Attentional and Physiological Responses during a Tabata High-Intensity Interval Training Session in Healthy Young Women
Abstract
1. Introduction
2. Methods
2.1. Participants
2.2. Measurements
2.3. Procedures
2.4. Statistical Analysis
3. Results
3.1. Heart Rate (HR)
3.2. Blood Lactate Concentration
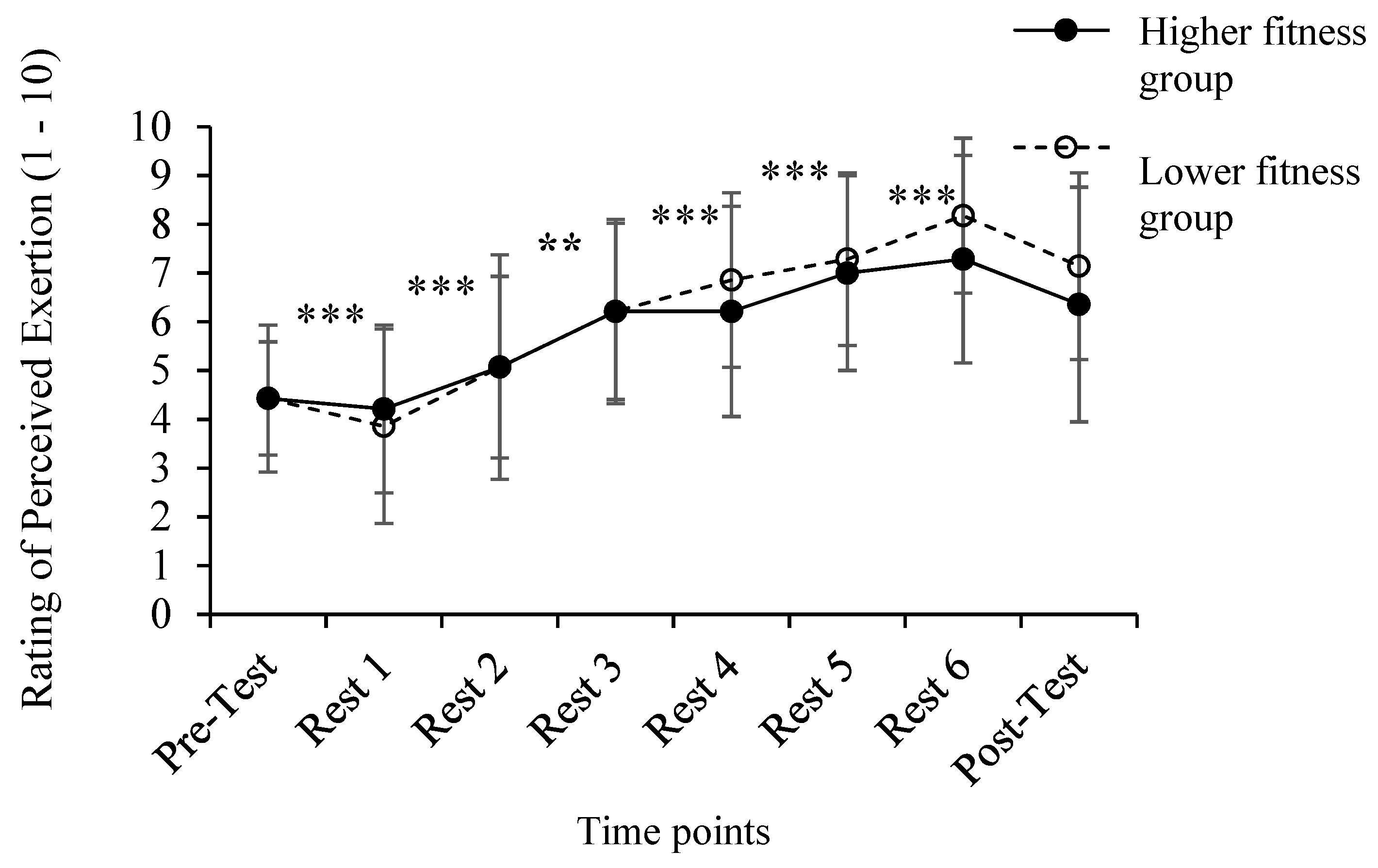
3.3. Rating of Perceived Exertion (RPE)
3.4. Feeling Scale (FS)
3.5. Profile of Mood States (POMS)
3.6. Activation–Deactivation Adjective Check List (ADACL)
3.7. Concentration Grid Test (CGT)
3.8. Correlation among Physiological Indices, Attention and Affective Responses
4. Discussion
5. Conclusions
Author Contributions
Funding
Institutional Review Board Statement
Informed Consent Statement
Data Availability Statement
Acknowledgments
Conflicts of Interest
References
- Tjønna, A.E.; Lee, S.J.; Rognmo, Ø.; Stølen, T.O.; Bye, A.; Haram, P.M.; Loennechen, J.P.; Al-Share, Q.Y.; Skovgoll, E.; Slørdahl, S.A.; et al. Clinical perspective. Circulation 2008, 118, 346–354. [Google Scholar] [CrossRef] [PubMed]
- Tabata, I. Tabata training: One of the most energetically effective high-intensity intermittent training methods. J. Physiol. Sci. 2019, 69, 559–572. [Google Scholar] [CrossRef] [PubMed]
- Ramírez-Marrero, F.A.; Trinidad, J.; Pollock, J.; Casul, Á.; Bayrón, F.E. Testing Tabata High-Intensity Interval Training Protocol in Hispanic Obese Women. J. Women’s Health Phys. Ther. 2014, 38, 99–103. [Google Scholar] [CrossRef]
- Olson, M. TABATA: It’sa HIIT! ACSM’S Health Fit. J. 2014, 18, 17–24. [Google Scholar] [CrossRef]
- Emberts, T.; Porcari, J.; Dobers-Tein, S.; Steffen, J.; Foster, C. Exercise intensity and energy expenditure of a tabata workout. J. Sport. Sci. Med. 2013, 12, 612. [Google Scholar]
- Olson, M. Tabata interval exercise: Energy expenditure and post-exercise responses. Med. Sci. Sport. Exerc. 2013, 45, S420. [Google Scholar]
- Alicea, S.K.; Parrott, A.D.; Manos, T.M.; Kwon, Y.S. Comparison of the affective responses to continuous training and high-intensity interval training protocols: Application of the dual-mode model. J. Strength Cond. Res. 2021, 35, 3069–3075. [Google Scholar] [CrossRef]
- Heinrich, K.M.; Crawford, D.A.; Johns, B.R.; Frye, J.; Gilmore, K.E. Affective responses during high-intensity functional training compared to high-intensity interval training and moderate continuous training. Sport Exerc. Perform. Psychol. 2020, 9, 115. [Google Scholar] [CrossRef]
- Oliveira, B.R.R.; Santos, T.M.; de Carvalho Guerreiro, R.; D’Amorim, I.; Lattari, E.; Deslandes, A.C. Acute affective responses to high-intensity interval exercise: Implications on the use of different stimulus-recovery amplitudes. Eur. J. Sport Sci. 2021, 22, 1775–1785. [Google Scholar] [CrossRef]
- Ekkekakis, P.; Hall, E.E.; Petruzzello, S.J. The relationship between exercise intensity and affective responses demystified: To crack the 40-year-old nut, replace the 40-year-old nutcracker! Ann. Behav. Med. 2008, 35, 136–149. [Google Scholar] [CrossRef]
- Blanchard, C.M.; Rodgers, W.M.; Spence, J.C.; Courneya, K.S. Feeling state responses to acute exercise of high and low intensity. J. Sci. Med. Sport 2001, 4, 30–38. [Google Scholar] [CrossRef] [PubMed]
- Ekkekakis, P.; Petruzzello, S.J. Analysis of the affect measurement conundrum in exercise psychology: IV. A conceptual case for the affect circumplex. Psychol. Sport Exerc. 2002, 3, 35–63. [Google Scholar] [CrossRef]
- Parfitt, G.; Hughes, S. The exercise intensity–affect relationship: Evidence and implications for exercise behavior. J. Exerc. Sci. Fit. 2009, 7, S34–S41. [Google Scholar] [CrossRef]
- Ekkekakis, P. Pleasure and displeasure from the body: Perspectives from exercise. Cogn. Emot. 2003, 17, 213–239. [Google Scholar] [CrossRef] [PubMed]
- Astorino, T.A.; DeRevere, J.L.; Anderson, T.; Kellogg, E.; Holstrom, P.; Ring, S.; Ghaseb, N. Blood lactate concentration is not related to the increase in cardiorespiratory fitness induced by high intensity interval training. Int. J. Environ. Res. Public Health 2019, 16, 2845. [Google Scholar] [CrossRef] [PubMed]
- Stavrinou, P.S.; Bogdanis, G.C.; Giannaki, C.D.; Terzis, G.; Hadjicharalambous, M. Effects of high-intensity interval training frequency on perceptual responses and future physical activity participation. Appl. Physiol. Nutr. Metab. 2019, 44, 952–957. [Google Scholar] [CrossRef]
- Zenko, Z.; Ekkekakis, P.; Ariely, D. Can you have your vigorous exercise and enjoy it too? Ramping intensity down increases postexercise, remembered, and forecasted pleasure. J. Sport Exerc. Psychol. 2016, 38, 149–159. [Google Scholar] [CrossRef]
- Bartlett, J.D.; Close, G.L.; MacLaren, D.P.; Gregson, W.; Drust, B.; Morton, J.P. High-intensity interval running is perceived to be more enjoyable than moderate-intensity continuous exercise: Implications for exercise adherence. J. Sport. Sci. 2011, 29, 547–553. [Google Scholar] [CrossRef]
- Foster, C.; Farland, C.V.; Guidotti, F.; Harbin, M.; Roberts, B.; Schuette, J.; Tuuri, A.; Doberstein, S.T.; Porcari, J.P. The effects of high intensity interval training vs steady state training on aerobic and anaerobic capacity. J. Sport. Sci. Med. 2015, 14, 747. [Google Scholar] [CrossRef]
- Cipryan, L.; Tschakert, G.; Hofmann, P. Acute and post-exercise physiological responses to high-intensity interval training in endurance and sprint athletes. J. Sport. Sci. Med. 2017, 16, 219. [Google Scholar]
- Cipryan, L. The effect of fitness level on cardiac autonomic regulation, IL-6, total antioxidant capacity, and muscle damage responses to a single bout of high-intensity interval training. J. Sport Health Sci. 2018, 7, 363–371. [Google Scholar] [CrossRef] [PubMed]
- Decker, E.S.; Ekkekakis, P. More efficient, perhaps, but at what price? Pleasure and enjoyment responses to high-intensity interval exercise in low-active women with obesity. Psychol. Sport Exerc. 2017, 28, 1–10. [Google Scholar] [CrossRef]
- Tomporowski, P.D. Effects of acute bouts of exercise on cognition. Acta Psychol. 2003, 11, 297–324. [Google Scholar] [CrossRef] [PubMed]
- Faul, F.; Erdfelder, E.; Buchner, A.; Lang, A.-G. Statistical power analyses using G*Power 3.1: Tests for correlation and regression analyses. Behav. Res. Methods 2009, 41, 1149–1160. [Google Scholar] [CrossRef] [PubMed]
- Hardy, C.J.; Rejeski, W.J. Not what, but how one feels: The measurement of affect during exercise. J. Sport Exerc. Psychol. 1989, 11, 304–317. [Google Scholar] [CrossRef]
- Thayer, R.E. The Biopsychology of Mood and Activation; Oxford University Press: New York, NY, USA, 1989; Available online: https://global.oup.com/?cc=gr (accessed on 31 July 2021).
- Ekkekakis, P.; Hall, E.E.; Petruzello, S.J. Evaluation of the circumplex structure of the Activation Deactivation Adjective Check List before and after a short walk. Psychol. Sport Exerc. 2005, 6, 83–101. [Google Scholar] [CrossRef]
- Shacham, S.A. A shortened version of the Profile of Mood States. J. Personal. Assess. 1983, 47, 305–306. [Google Scholar] [CrossRef]
- Curran, S.L.; Andrykowski, M.A.; Studts, J.L. Short form of the Profile of Mood States (POMS-SF): Psychometric information. Psychol. Assess. 1995, 7, 80–83. [Google Scholar] [CrossRef]
- Terry, P.C.; Lane, A.M.; Fogarty, G.J. Construct validity of the Profile of Mood States—Adolescents for use with adults. Psychol. Sport Exerc. 2003, 4, 125–139. [Google Scholar] [CrossRef]
- Weinberg, R.S.; Gould, D. Foundations of Sport and Exercise Psychology; Human Kinetics: Champaign, IL, USA, 2015. [Google Scholar]
- Borg, G. Borg’s Perceived Exertion and Pain Scales; Human Kinetics: Champaign, IL, USA, 1988; Available online: https://us.humankinetics.com (accessed on 31 July 2021).
- Chen, M.J.; Fan, X.; Moe, S.T. Criterion-related validity of the Borg ratings of perceived exertion scale in healthy individuals: A meta-analysis. J. Sport. Sci. 2002, 20, 873–899. [Google Scholar] [CrossRef]
- Leger, L.; Gadoury, C. Validity of the 20 m shuttle run test with 1 min stages to predict VO2max in adults. Can. J. Sport Sci. 1989, 14, 21–26. [Google Scholar] [PubMed]
- Ferguson, B. ACSM’s guidelines for exercise testing and prescription. J. Can. Chiropr. Assoc. 2014, 58, 328. [Google Scholar]
- Prado, R.C.R.; Silveira, R.; Kilpatrick, M.W.; Pires, F.O.; Asano, R.Y. The effect of menstrual cycle and exercise intensity on psychological and physiological responses in healthy eumenorrheic women. Physiol. Behav. 2021, 232, 113–290. [Google Scholar] [CrossRef] [PubMed]
- Tabata, I.; Irisawa, K.; Kouzaki, M.; Nishimura, K.; Ogita, F.; Miyachi, M. Metabolic profile of high intensity intermittent exercises. Med. Sci. Sport. Exerc. 1997, 29, 390–395. [Google Scholar] [CrossRef]
- Lind, E.; Ekkekakis, P.; Vazou, S. The affective impact of exercise intensity that slightly exceeds the preferred level: ‘Pain’ for no additional ‘gain’. J. Health Psychol. 2008, 13, 464–468. [Google Scholar] [CrossRef]
- Field, A. Discovering Statistics Using SPSS; SAGE Publications: Thousand Oaks, CA, USA, 2009; Available online: https://us.sagepub.com/en-us/nam/home (accessed on 31 July 2021).
- Schmitz, B.; Niehues, H.; Thorwesten, L.; Klose, A.; Krüger, M.; Brand, S.M. Sex Differences in High-Intensity Interval Training–Are HIIT Protocols Interchangeable Between Females and Males? Front. Physiol. 2020, 11, 38. [Google Scholar] [CrossRef]
- Astorino, T.A.; Clark, A.; De La Rosa, A.; De Revere, J.L. Enjoyment and affective responses to two regimes of high intensity interval training in inactive women with obesity. Eur. J. Sport Sci. 2019, 19, 1377–1385. [Google Scholar] [CrossRef]
- Roloff, Z.A.; Dicks, N.D.; Krynski, L.M.; Hartman, M.E.; Ekkekakis, P.; Pettitt, R.W. Ratings of affective valence closely track changes in oxygen uptake: Application to high-intensity interval exercise. Perform. Enhanc. Health 2020, 7, 100158. [Google Scholar] [CrossRef]
- Rocheleau, C.A.; Webster, G.D.; Bryan, A.; Frazier, J. Moderators of the relationship between exercise and mood changes: Gender, exertion level, and workout duration. Psychol. Health 2004, 19, 491–506. [Google Scholar] [CrossRef][Green Version]
- Morgan, W.P. Physical Activity and Mental Health; Taylor & Francis: Washington, DC, USA, 1997; Available online: https://taylorandfrancis.com (accessed on 31 July 2021).
- Russell, J.A. A circumplex model of affect. J. Personal. Soc. Psychol. 1980, 39, 1161. [Google Scholar] [CrossRef]
- Ekkekakis, P.; Parfitt, G.; Petruzzello, S.J. The pleasure and displeasure people feel when they exercise at different intensities. Sport. Med. 2011, 41, 641–671. [Google Scholar] [CrossRef] [PubMed]
- Etnier, J.L.; Salazar, W.; Landers, D.M.; Petruzzello, S.J.; Han, M.; Nowell, P. The influence of physical fitness and exercise upon cognitive functioning: A meta-analysis. J. Sport Exerc. Psychol. 1997, 19, 249–277. [Google Scholar] [CrossRef]
- Etnier, J.L.; Nowell, P.M.; Landers, D.M.; Sibley, B.A. A meta-regression to examine the relationship between aerobic fitness and cognitive performance. Brain Res. Rev. 2006, 52, 119–130. [Google Scholar] [CrossRef] [PubMed]
- Budde, H.; Brunelli, A.; Machado, S.; Velasques, B.; Ribeiro, P.; Arias-Carrión, O.; Voelcker-Rehage, C. Intermittent maximal exercise improves attentional performance only in physically active students. Arch. Med. Res. 2012, 43, 125–131. [Google Scholar] [CrossRef] [PubMed]






| Characteristics | M ± SD |
|---|---|
| Age | 24.2 ± 1.5 |
| Participation in exercise programs (years) | 10.3 ± 5.6 |
| Experience in HIIT programs (years) | 1.1 ± 1.3 |
| Height | 1.63 ± 0.05 |
| Weight | 56.8 ± 6.8 |
| BMI | 21.3 ± 2.2 |
| Dependent Variable | HF | LF | ||
|---|---|---|---|---|
| Pre-Test | Post-Test | Pre-Test | Post-Test | |
| Μ ± SD | Μ ± SD | Μ ± SD | Μ ± SD | |
| Total Mood Disturbance (POMS) | 103.9 ± 12.2 | 101.9 ± 11.5 | 108.9 ± 15.8 | 113.9 ± 15.7 |
| Depression (POMS) | 1.6 ± 2.1 | 0.1 ± 0.4 | 3.9 ± 4.5 | 1.7 ± 2.3 |
| Confusion (POMS) | 4.2 ± 3.0 | 2.9 ± 2.2 | 4.7 ± 3.6 | 2.8 ± 2.2 |
| Fatigue (POMS) | 3.9 ± 2.6 | 8.5 ± 5.0 | 4.8 ± 3.7 | 11.9 ± 4.7 |
| Vigor (POMS) | 12.8 ± 3.5 | 17.1 ± 4.0 | 13.8 ± 6.4 | 11.3 ± 7.7 |
| Tension (ADACL) | 16.7 ± 2.6 | 9.5 ± 2.0 | 15.4 ± 3.9 | 8.6 ± 2.6 |
| Calmness (ADACL) | 13.7 ± 3.0 | 9.0 ± 3.2 | 15.3 ± 3.5 | 9.8 ± 3.3 |
| Tiredness (ADACL) | 14.9 ± 1.8 | 12.1 ± 1.4 | 14.2 ± 2.3 | 11.6 ± 2.5 |
Disclaimer/Publisher’s Note: The statements, opinions and data contained in all publications are solely those of the individual author(s) and contributor(s) and not of MDPI and/or the editor(s). MDPI and/or the editor(s) disclaim responsibility for any injury to people or property resulting from any ideas, methods, instructions or products referred to in the content. |
© 2023 by the authors. Licensee MDPI, Basel, Switzerland. This article is an open access article distributed under the terms and conditions of the Creative Commons Attribution (CC BY) license (https://creativecommons.org/licenses/by/4.0/).
Share and Cite
Reppa, C.M.; Bogdanis, G.C.; Stavrou, N.A.M.; Psychountaki, M. The Effect of Aerobic Fitness on Psychological, Attentional and Physiological Responses during a Tabata High-Intensity Interval Training Session in Healthy Young Women. Int. J. Environ. Res. Public Health 2023, 20, 1005. https://doi.org/10.3390/ijerph20021005
Reppa CM, Bogdanis GC, Stavrou NAM, Psychountaki M. The Effect of Aerobic Fitness on Psychological, Attentional and Physiological Responses during a Tabata High-Intensity Interval Training Session in Healthy Young Women. International Journal of Environmental Research and Public Health. 2023; 20(2):1005. https://doi.org/10.3390/ijerph20021005
Chicago/Turabian StyleReppa, Cleopatra M., Gregory C. Bogdanis, Nektarios A. M. Stavrou, and Maria Psychountaki. 2023. "The Effect of Aerobic Fitness on Psychological, Attentional and Physiological Responses during a Tabata High-Intensity Interval Training Session in Healthy Young Women" International Journal of Environmental Research and Public Health 20, no. 2: 1005. https://doi.org/10.3390/ijerph20021005
APA StyleReppa, C. M., Bogdanis, G. C., Stavrou, N. A. M., & Psychountaki, M. (2023). The Effect of Aerobic Fitness on Psychological, Attentional and Physiological Responses during a Tabata High-Intensity Interval Training Session in Healthy Young Women. International Journal of Environmental Research and Public Health, 20(2), 1005. https://doi.org/10.3390/ijerph20021005

