Evolution Game Analysis of Hospital Governance Strategy in Industrial Parks in China
Abstract
:1. Introduction
2. Problem Description and Model Building
2.1. Problem Description
2.2. Model Assumption
- The government, the industrial park, and the hospital are considered bounded rationality. The government influences the business environment mainly by reforming the management authority of the industrial park, that is, whether to divest the management authority of the park to the local government. The government can choose either no divesture or divestiture strategies in the strategy sets. The industrial park will consider whether to implement high subsidies to the hospital based on the benefits brought by the hospital’s sustainable development and business environment optimization, with its strategy choices of high subsidies and low subsidies . The hospital decides whether to participate in the co-creation of a business environment based on its development and the measures of the government and the industrial park so that it can choose either participation or nonparticipation strategies in the strategic sets.
- Probability. In the model, three decision-makers choose their strategies according to their desires. If the proportion of the government’s “ND” is denoted by , then the proportion of the government’s “D” is . Moreover, if using represents the proportion of choosing “HS” for the industrial park, then the proportion of “LS” for the industrial park is . Similarly, and are the proportions of “P” and “NP” for the hospital, respectively, ().
- The government. When the government chooses strategy “ND”, the hospital is mainly managed by the park, so the government’s management cost is low. If “D” is the government’s strategy, the management cost is high. What is more, to increase support for business environment co-creation, the government will provide additional subsidies to the hospital if it chooses to participate in building a business environment.
- The industrial park. The cost of the “HS” choice of the industrial park is and the cost of the “LS” choice is . When the government chooses the “ND” strategy, the hospital’s participation in the business environment co-creation will strengthen its interaction and cooperation with the park, so the park’s management cost for the hospital is low. If the hospital chooses the “NP” strategy, the interaction between the hospital and the park will be weakened, and the management cost of the park for the hospital is high. Meanwhile, we define as the industrial park’s reputation gains if it chooses “HS” in the condition that the hospital chooses “P” strategy because when the park provides high subsidies to hospitals, the hospital participates in the co-creation of the business environment can provide specific high-level medical and health services under the guidance of the park, so as to improve the investment management effectiveness of the park and bring reputation benefits to the park. When the government’s strategy is “D” and the hospital chooses “NP”, there are no costs and benefits associated with the industrial park.
- The hospital. In general, the hospital’s usual revenue is . When participating in the business environment co-creation, the hospital can provide special services (physical examination, medical convenience, etc.) for the employees of enterprises in the industrial park and will bring additional benefits to itself and its management body. That is, is the revenue of the park and the hospital when the government’s choice is “ND”, while when the government chooses “D”, is the revenue of the government departments and the hospital. When participating in business environment co-creation, hospitals will invest capital and management costs to meet the requirements of optimizing the business environment, resulting in additional costs .
3. Analysis
3.1. Evolutionary Stable Strategy of the Government
3.2. Evolutionary Stable Strategy of the Industrial Park
3.3. Evolutionary Stable Strategy of the Hospital
4. Evolutionary Strategic Portfolio Analysis and Simulation
4.1. Stability Analysis of Evolutionary Strategic Portfolios
4.2. The Probabilities of the Game Players’ Strategy Choices
4.2.1. Choice Possibility When the Government Chooses the “ND” Strategy
4.2.2. Choice Possibility When the Industrial Park Chooses the “HS” Strategy
4.2.3. Choice Possibility When the Hospital Chooses the “P” Strategy
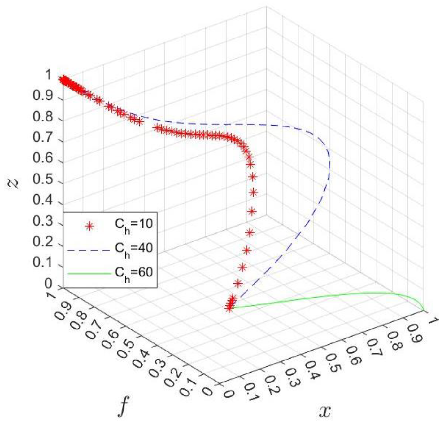
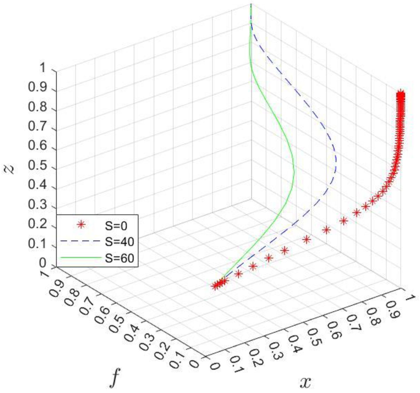
4.3. Numerical Simulation
5. Conclusions
6. Limitations and Prospects
Author Contributions
Funding
Institutional Review Board Statement
Informed Consent Statement
Data Availability Statement
Conflicts of Interest
References
- Ren, H.; Zhen, J. General Theory of Industrial Park Management; Shanghai People’s Publishing House: Shanghai, China, 2021; p. 44. [Google Scholar]
- Zhen, J.; Ren, H.; Tang, K. Sustainable Development of Industrial parks in China: Process, morphology and logic. Urban Plan. Forum 2022, 1, 66–73. [Google Scholar]
- Liu, J. Several Restrictive Factors and Governance Measures of Integrated Development in Guangdong, Hongkong and Macau in a New Era. Hum. Geogr. 2002, 8, 63–66. [Google Scholar]
- Gopinath, D. Contemporary approaches to economic development: The special economic zone programme. Local Econ. 2009, 24, 448–455. [Google Scholar] [CrossRef]
- Ge, W. Special economic zones and the opening of the Chinese economy: Some lessons for economic liberalizaiton. World Dev. 1999, 27, 1267–1285. [Google Scholar] [CrossRef]
- Du, L.; Zhang, D.; Chen, C. Government function orientation in the process of industrial park transformation and upgrading. Macroecon. Manag. 2019, 7, 55–66. [Google Scholar]
- Ye, J.; Ren, H.; Zhen, J. Themes and evolution of the three-decades policies of national industrial parks in China. Stud. Sci. Sci. 2015, 11, 1634–1640. [Google Scholar]
- Qian, Z. Reform the management system of development zones in the process of urbanization: Problems and countermeasures. Chin. Public Adm. 2016, 6, 11–15. [Google Scholar]
- Hu, B.; Zheng, X. Functional evolution and functional responsibility reconstruction of development Zone. Reg. Econ. 2011, 8, 62–68. [Google Scholar]
- Luo, Z. The development and innovation path of the management system of national development zone. Sci. Technol. Prog. Policy 2008, 1, 3–6. [Google Scholar]
- Wang, F.; Wu, H.; Wei, Q. A strategic study on development zone in our country nowadays. Areal Res. Dev. 2006, 1, 23–27. [Google Scholar]
- Lin, J. Promoting urban planning for the healthy development of urbanization. Urban Plan. Forum 2013, 6, 4–9. [Google Scholar]
- Chen, H.; Wang, X.; Xia, J. The concept, connotation and path of transformation of traditional development zones in a background of supply-side reform. Urban Plan. Forum 2016, 5, 66–72. [Google Scholar]
- Zhang, H. The urbanization model of development zone driving the overall regional development: A case study of the Yangtze River Delta. Urban Plan. Forum 2001, 6, 65–69. [Google Scholar]
- Fei, H.; Dai, G. Industrial Planning and Management of Economic Development Zones; The Science Press: Beijing, China, 2000; pp. 207–208. [Google Scholar]
- Wu, L. Introduction to China’s High-Tech Zones; Hohai University Press: Nanjing, China, 1998; pp. 309–319. [Google Scholar]
- Zhang, Z. Governance and Transition in Development Zones: A Case Study in Bengbu Economic Development Zone in the North of Anhui Province. Ph.D. Thesis, Huazhong Normal University, Wuhan, China, 2008; p. 180. [Google Scholar]
- Hao, S. Research on the trend of administrative system reform in Development Zone. East. Adm. Forum 2014, 2, 35–41. [Google Scholar]
- Zhang, J. Reform and innovate administrative system and mechanism to rebuild new advantages of development zone. Chin. Public Adm. 2016, 1, 150–152. [Google Scholar]
- Yin, C.; He, X. The evolution of management systems: A theoretical analysis of the governmentalization of Chinese industrial parks. China Public Adm. Rev. 2015, 19, 3–17. [Google Scholar]
- Zhao, L. How to Make Good Use of the Market by Local Governments: The Transformation of Government Functions from the Perspective of Development Zone Construction. Theory J. 2019, 1, 64–71. [Google Scholar]
- Fan, X.; Du, J.; Chu, Y. Some thoughts on the reform of industrial park system and mechanism. Res. Adm. Sci. 2021, 4, 13–16. [Google Scholar]
- Guo, X.; Zhang, B. Thoughts and Suggestions on the management system of Development Zones: Research Report of national economic and technological development zones. Macroecon. Manag. 2007, 10, 9–14. [Google Scholar]
- Gao, E. The conflicts and adaptations of jurisdictionin urban economic development zone (EDZ): Based on the SEDZ case study. J. Gansu Adm. Inst. 2020, 4, 46–56. [Google Scholar]
- Bi, T. Separation, integration or independence: Optimizing the relationship between development zone and administrative region. Mod. Econ. Res. 2021, 1, 16–21. [Google Scholar]
- Tang, C.; Wu, Y.; Zhou, G. Interactive development of urban agglomeration, industrial cluster and development zone: A case study of Chang-Zhu-Tan urban agglomeration. Geogr. Res. 2018, 2, 292–306. [Google Scholar]
- Jackson, D.J. What Is an Innovation Ecosystem; National Science Foundation: Arlington, VA, USA, 2011. [Google Scholar]
- Zhao, Y.; Cheng, Q. How can focal firms achieve cross-border resource integration in the innovation ecosystem? Sci. Sci. Manag. S. T. 2022, 5, 100–116. [Google Scholar]
- Deng, Z. Institutional obstacles and their breaking of economic linkage in the border areas of Chongqing, Hubei, Hunan and Guizhou. Probe 2009, 3, 104–108. [Google Scholar]
- Adner, R.; Kapoor, R. Value Creation in Innovation Ecosystems. Strateg. Manag. J. 2010, 31, 306–333. [Google Scholar] [CrossRef]
- Zhang, X.; Ding, L.; Chen, X. Interaction of Open Innovation and Business Ecosystem. Int. J. U-E-Serv. Sci. Technol. 2014, 7, 51–64. [Google Scholar] [CrossRef]
- Gawer, A.; Cusumano, A. Industry Platforms and Ecosystem Innovation. J. Prod. Innov. Manag. 2014, 31, 417–433. [Google Scholar] [CrossRef]
- Bergqvist, R. Realizing Logistics Opportunities in a Public-Private Collaborative Setting: The Story of Skaraborg. Transp. Rev. 2008, 28, 219–237. [Google Scholar] [CrossRef]
- Pichler, K. Successful Innovation Ecosystem: Critical Traits and Fundamental Dynamics; Freie Universitat Bozen: Bozen, Italy, 2015. [Google Scholar]
- Zhao, X.; Shao, S.; Yang, L. Administrative systems and the increase in economic growth efficiency in China’s development zones: An empirical analysis based on Malmquist Inedx and GMM estimation. J. Financ. Econ. 2011, 8, 4–15. [Google Scholar]
- Luo, X.; Zhang, H.; Yin, J. “Third Transiton” of development zones: From industrial zone to new urban district: A case study of Suzhou industrial Park. Resour. Environ. Yangtze Basin 2011, 7, 819–824. [Google Scholar]
- Huang, J. Innovation of Governance System and Mechanism in the Transformation and Upgrading of National Development Zones: Dimensions and Fields. Chin. Public Adm. 2019, 5, 52–59. [Google Scholar]
- Gui, S.; Zhu, Q.; Lu, L. Area logistics system based on system dynamics model. Tsinghua Sci. Technol. 2005, 10, 265–269. [Google Scholar] [CrossRef]
- Tang, K.; Ou, Y.; Ren, H.; Cheng, J. What Kind of Innovation Ecosystem can Produce High Innovation Performance in High-tech Zones?: A Fuzzy Set Qualitative Comparative Analysis Based on 116 Cases. Sci. Sci. Manag. S. T. 2022, 7, 116–134. [Google Scholar]
- Li, X.; Tian, L.; Liu, J.; Cui, N. Research on construction of evaluation index system for high quality development of tertiary comprehensive public hospitals. Chin. Hosp. Manag. 2022, 11, 9–13. [Google Scholar]
- Simon, H. A behavioral model of rational choice. Quart. J. Econ. 1955, 69, 99–118. [Google Scholar] [CrossRef]













| Parameter | Description |
|---|---|
| the additional benefits for the hospital and its management body when participating in the co-creation of a business environment | |
| the usual revenue of the hospital | |
| the cost of the hospital’s participation in the business environment co-creation | |
| the management cost of the government to the hospital when the government chooses “ND” strategy | |
| the management cost of the government to the hospital when the government chooses “D” strategy | |
| the subsidy cost of the government to the hospital that participates in business environment co-creation | |
| the management cost of the park to the hospital that participates in the co-creation of the business environment when the government chooses “ND” strategy | |
| the management cost of the park to the hospital that participates in the co-creation of the business environment when the government chooses “D” strategy | |
| the low subsidy cost of the industrial park to the hospital | |
| the high subsidy cost of the industrial park to the hospital | |
| the reputation benefits of the industrial park when its strategy is “HS” and the hospital’s strategy is “P” |
| Game Party | Hospital | ||||
|---|---|---|---|---|---|
| The government | Industrial Park | ) | |||
| Industrial Park | |||||
| Equilibrium | Eigenvalue λ1, λ2, λ3 | Sign | Stability |
|---|---|---|---|
| (+, 0, u) | Unstable | ||
| (u, +, u) | Unstable | ||
| (+, 0, u) | Unstable | ||
| (u, −, u) | ESS under Condition 1 | ||
| (−, −, u) | ESS under Condition 2 | ||
| (u, +, u) | Unstable | ||
| (−, +, u) | Unstable | ||
| (u, −, u) | ESS under Condition 3 |
| Parameters | ||||||||
|---|---|---|---|---|---|---|---|---|
| Values |
Disclaimer/Publisher’s Note: The statements, opinions and data contained in all publications are solely those of the individual author(s) and contributor(s) and not of MDPI and/or the editor(s). MDPI and/or the editor(s) disclaim responsibility for any injury to people or property resulting from any ideas, methods, instructions or products referred to in the content. |
© 2023 by the authors. Licensee MDPI, Basel, Switzerland. This article is an open access article distributed under the terms and conditions of the Creative Commons Attribution (CC BY) license (https://creativecommons.org/licenses/by/4.0/).
Share and Cite
Zhen, J.; Yang, S. Evolution Game Analysis of Hospital Governance Strategy in Industrial Parks in China. Int. J. Environ. Res. Public Health 2023, 20, 3156. https://doi.org/10.3390/ijerph20043156
Zhen J, Yang S. Evolution Game Analysis of Hospital Governance Strategy in Industrial Parks in China. International Journal of Environmental Research and Public Health. 2023; 20(4):3156. https://doi.org/10.3390/ijerph20043156
Chicago/Turabian StyleZhen, Jie, and Senmiao Yang. 2023. "Evolution Game Analysis of Hospital Governance Strategy in Industrial Parks in China" International Journal of Environmental Research and Public Health 20, no. 4: 3156. https://doi.org/10.3390/ijerph20043156
APA StyleZhen, J., & Yang, S. (2023). Evolution Game Analysis of Hospital Governance Strategy in Industrial Parks in China. International Journal of Environmental Research and Public Health, 20(4), 3156. https://doi.org/10.3390/ijerph20043156
