Experimental Study on Spread and Burning Characteristics of Continuous Spill Fire Leaked from a Point Source under Different Slopes
Abstract
1. Introduction
2. Experimental Setup
3. Results and Discussion
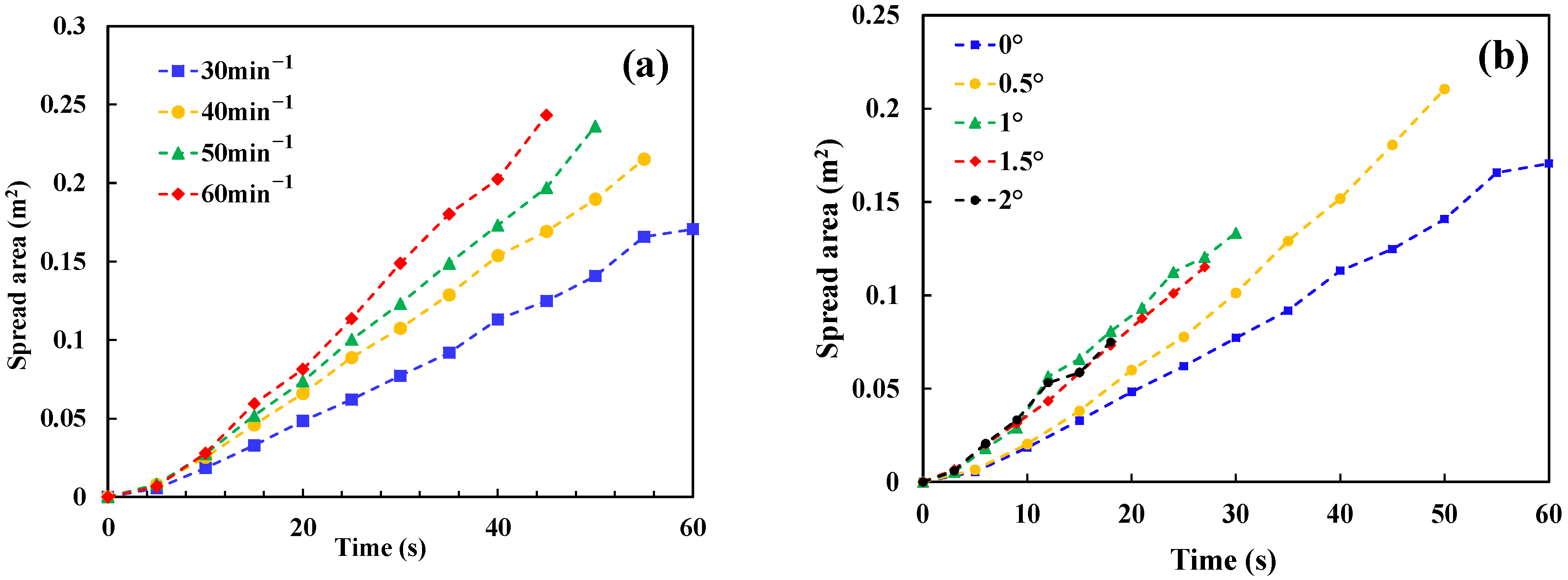
3.1. Analysis of Spill Fires under Non-Ignited Conditions
3.2. Phenomenon of Spill Fires under Ignited Condition
3.3. Flame Height under Ignited Conditions
3.4. Burning Rate under Ignited Conditions
3.5. Heat Transfer Analysis under Ignited Conditions
3.5.1. Heat Convection between Fuel Layer and Bottom Surface
3.5.2. Flame Feedback Radiation Transmission
3.5.3. Burning Rate Calculation for Spill Fires
4. Conclusions
- (1)
- For the continuous spill fire leaked from a point source, the spread area is very sensitive to the slope. On the inclined surface, the shapes of the spread area are elliptical (under the non-ignited condition) and water droplet shaped (ignited condition). The spreading length increases obviously as the slope increases, while the spreading width decreases with the slope. Meanwhile, the total spread area will increase with the slope.
- (2)
- The flame height decreases as the slope increases. This can be attributed to the lower burning rate, and the flame bifurcation.
- (3)
- The steady burning rate shows a decreasing trend with the slope. The heat loss including the convection and the flame radiative transmission is the main reason behind the lower burning rate.
- (4)
- When the slope increases, the heat convection between fuel layer and bottom increases significantly, while the feedback radiation transmission first increases then decreases.
- (5)
- Based on the heat transfer process, a burning rate model for spill fires leaked from a point source is built and validated by the experimental data. This model can accurately predict the burning rate on different slopes.
Author Contributions
Funding
Institutional Review Board Statement
Informed Consent Statement
Data Availability Statement
Conflicts of Interest
References
- Benfer, M. Spill and Burning Behavior of Flammable Liquids; University of Maryland: College Park, MD, USA, 2010. [Google Scholar]
- Mealy, C.; Benfer, M.; Gottuk, D. Fire Dynamics and Forensic Analysis of Liquid Fuel Fires; Bureau of Justice Statistics: Washington, DC, USA, 2011. [Google Scholar]
- A Fuel Tanker Rollover Accident on Chengdu Ring Expressway Resulted in One Death and One Injury. Available online: https://sichuan.scol.com.cn/ggxw/202207/58575990.html (accessed on 25 July 2022).
- Mealy, C.; Benfer, M.; Gottuk, D. Liquid Fuel Spill Fire Dynamics. Fire Technol. 2014, 50, 419–436. [Google Scholar] [CrossRef]
- Gottuk, D.T.; Scheffey, J.L.; Williams, F.W.; Gott, J.E.; Tabet, R.J. Optical Fire Detection (OFD) for Military Aircraft Hangars: Final Report on OFD Performance to Fuel Spill Fires and Optical Stresses; NRL/MR/6180-00-8457; Naval Research Laboratory: Washington, DC, USA, 2000. [Google Scholar]
- Ingason, H.; Li, Y.Z. Spilled liquid fires in tunnels. Fire Saf. J. 2017, 91, 399–406. [Google Scholar] [CrossRef]
- Li, Y.; Xu, D.; Huang, H.; Zhao, J.; Shuai, J. An experimental study on the burning rate of a continuously released n-heptane spill fire on an open water surface. J. Loss Prev. Process Ind. 2020, 63, 104033. [Google Scholar] [CrossRef]
- Li, Y.; Huang, H.; Shuai, J.; Zhao, J.; Su, B. Experimental study of continuously released liquid fuel spill fires on land and water in a channel. J. Loss Prev. Process Ind. 2018, 52, 21–28. [Google Scholar] [CrossRef]
- Zhao, J.; Huang, H.; Jomaas, G.; Zhong, M.; Li, Y. Spread and burning behavior of continuous spill fires. Fire Saf. J. 2017, 91, 347–354. [Google Scholar] [CrossRef]
- Zhao, J.; Zhu, H.; Huang, H.; Zhong, M.; Yang, R. Experimental study on the liquid layer spread and burning behaviors of continuous heptane spill fires. Process Saf. Environ. Prot. 2019, 122, 320–327. [Google Scholar] [CrossRef]
- Li, H.; Liu, H.; Liu, J.; Ge, J.; Tang, F. Spread and burning characteristics of continuous spill fires in a tunnel. Tunn. Undergr. Space Technol. 2021, 109, 103754. [Google Scholar] [CrossRef]
- Li, H.; Liu, J.; Ge, J. Phenomenological characteristics of continuous spill fires in a tunnel with longitudinal ventilation. Process Saf. Environ. Prot. 2020, 138, 108–116. [Google Scholar] [CrossRef]
- Pan, Y.; Li, M.; Luo, X.; Wang, C.; Luo, Q.; Li, J. Analysis of heat transfer of spilling fire spread over steady flow of n-butanol fuel. Int. Commun. Heat Mass Transf. 2020, 116, 104685. [Google Scholar] [CrossRef]
- Li, Y.; Huang, H.; Zhang, L.; Su, B.; Zhao, J.; Liu, Q. An experimental investigation into the effect of substrate slope on the continuously released liquid fuel spill fires. J. Loss Prev. Process Ind. 2017, 45, 203–209. [Google Scholar] [CrossRef]
- Liu, Q.Y. Review on liquid fuel spill fire. Sci. Technol. Eng. 2017, 17, 138–144. [Google Scholar]
- Liu, Q.Y.; Lu, Z.H.; Zhi, M.U. Study on thermal radiation model of large-scale continuously released jet fuel spill fire. J. China Univ. Pet. (Ed. Nat. Sci.) 2020, 44, 149–155. [Google Scholar]
- Liu, Q.; Zhao, J.; Lv, Z.; Zhu, H.; Yang, R. Experimental study on the effect of substrate slope on continuously released heptane spill fires. J. Therm. Anal. Calorim. 2020, 140, 2497–2503. [Google Scholar] [CrossRef]
- Li, M.H.; Luo, Q.Y.; Wang, C.J.; Pan, Y. Study on unsteady combustion behavior of stationary spilling fire of n-butanol under condition of variable slope. J. Saf. Sci. Technol. 2020, 16, 5–10. [Google Scholar]
- Li, Y.; Meng, D.; Yang, L.; Shuai, J. Experimental study on the burning rate of continuously released spill fire on open surface with measurement of burning fuel thickness. Case Stud. Therm. Eng. 2022, 36, 102217. [Google Scholar] [CrossRef]
- Li, L.; Zhai, X.; Wang, J.; Chen, P.; Shi, C. Experimental study on vertical spill fire characteristics of transformer oil under continuous spill condition. Process Saf. Environ. Prot. 2021, 156, 521–530. [Google Scholar]
- Hussein, M.; Jin, M.; Weaver, J.W. Development and verification of a screening model for surface spreading of petroleum. J. Contam. Hydrol. 2002, 57, 281. [Google Scholar] [CrossRef]
- Zukoski, E.E.; Cetegen, B.M.; Kubota, T. Visible structure of buoyant diffusion flames. Symp. (Int.) Combust. 1985, 20, 361–366. [Google Scholar] [CrossRef]
- McCaffrey, B. The SFPE Handbook of Fire Protection Engineering, 2nd ed.; Society of Fire Protection Engineers and National Fire Protection Association: Quincy, MA, USA, 1988. [Google Scholar]
- Burgess, D.S.; Strasser, A.; Grumer, J. Diffusive burning of liquids in open trays. Fire Res. Abstr. Rev. 1961, 3, 177–192. [Google Scholar]
- Babrauskas, V. Estimating large pool fire burning rates. Fire Technol. 1983, 19, 251–261. [Google Scholar] [CrossRef]
- Zhao, J.; Zhu, H.; Zhang, J.; Huang, H.; Yang, R. Experimental study on the spread and burning behaviors of continuously discharge spill fires under different slopes. J. Hazard. Mater. 2020, 392, 122352. [Google Scholar] [CrossRef] [PubMed]














| Rotation Speed (rad/min) | Quality (g/s) | Volume (mL/min) |
|---|---|---|
| 30 | 1.2 | 105.3 |
| 40 | 1.6 | 140.4 |
| 50 | 2.0 | 175.4 |
| 60 | 2.4 | 210.5 |
| Test Number | Slope (°) | Peristaltic Pump Rotation Speed (rad/min) | Test Number | Slope (°) | Peristaltic Pump Rotation Speed (rad/min) |
|---|---|---|---|---|---|
| 1 | 0 | 30 | 11 | 1 | 50 |
| 2 | 0 | 40 | 12 | 1 | 60 |
| 3 | 0 | 50 | 13 | 1.5 | 30 |
| 4 | 0 | 60 | 14 | 1.5 | 40 |
| 5 | 0.5 | 30 | 15 | 1.5 | 50 |
| 6 | 0.5 | 40 | 16 | 1.5 | 60 |
| 7 | 0.5 | 50 | 17 | 2 | 30 |
| 8 | 0.5 | 60 | 18 | 2 | 40 |
| 9 | 1 | 30 | 19 | 2 | 50 |
| 10 | 1 | 40 | 20 | 2 | 60 |
| Slope (°) | hm—Stable Values (mm) |
|---|---|
| 0 | 0.61 |
| 0.5 | 0.41 |
| 1 | 0.39 |
| 1.5 | 0.41 |
| 2 | 0.42 |
| 0° | 0.5° | 1° | |
|---|---|---|---|
| 30 rad/min | 0.0897 | 0.1037 | 0.1127 |
| 40 rad/min | 0.1295 | 0.1192 | 0.1558 |
| 50 rad/min | 0.1458 | 0.1515 | 0.1622 |
| 60 rad/min | 0.1597 | 0.1587 | 0.1646 |
| 0° | 0.5° | 1° | |
|---|---|---|---|
| 30 rad/min | 0.02896 | 0.02507 | 0.02305 |
| 40 rad/min | 0.02675 | 0.02907 | 0.02224 |
| 50 rad/min | 0.02972 | 0.02859 | 0.02671 |
| 60 rad/min | 0.03254 | 0.03275 | 0.03159 |
Disclaimer/Publisher’s Note: The statements, opinions and data contained in all publications are solely those of the individual author(s) and contributor(s) and not of MDPI and/or the editor(s). MDPI and/or the editor(s) disclaim responsibility for any injury to people or property resulting from any ideas, methods, instructions or products referred to in the content. |
© 2023 by the authors. Licensee MDPI, Basel, Switzerland. This article is an open access article distributed under the terms and conditions of the Creative Commons Attribution (CC BY) license (https://creativecommons.org/licenses/by/4.0/).
Share and Cite
Sun, X.; Huang, H.; Zhao, J.; Zhang, X.; Song, G. Experimental Study on Spread and Burning Characteristics of Continuous Spill Fire Leaked from a Point Source under Different Slopes. Int. J. Environ. Res. Public Health 2023, 20, 4323. https://doi.org/10.3390/ijerph20054323
Sun X, Huang H, Zhao J, Zhang X, Song G. Experimental Study on Spread and Burning Characteristics of Continuous Spill Fire Leaked from a Point Source under Different Slopes. International Journal of Environmental Research and Public Health. 2023; 20(5):4323. https://doi.org/10.3390/ijerph20054323
Chicago/Turabian StyleSun, Xiaoxiao, Hong Huang, Jinlong Zhao, Xiang Zhang, and Guangheng Song. 2023. "Experimental Study on Spread and Burning Characteristics of Continuous Spill Fire Leaked from a Point Source under Different Slopes" International Journal of Environmental Research and Public Health 20, no. 5: 4323. https://doi.org/10.3390/ijerph20054323
APA StyleSun, X., Huang, H., Zhao, J., Zhang, X., & Song, G. (2023). Experimental Study on Spread and Burning Characteristics of Continuous Spill Fire Leaked from a Point Source under Different Slopes. International Journal of Environmental Research and Public Health, 20(5), 4323. https://doi.org/10.3390/ijerph20054323
