Intake Air Mass Observer Design Based on Extended Kalman Filter for Air-Fuel Ratio Control on SI Engine
Abstract
1. Introduction
2. Air Path Modelling of the SI Engine
2.1. System Description of the Engine Air Path
2.2. Mathematical Description of the Intake Air Path
2.3. SI Engine AFR Control Problem Formulation
3. Observer-Based Intake Air Mass Estimation
3.1. Discrete Sampling Based on Engine Operation Cycle
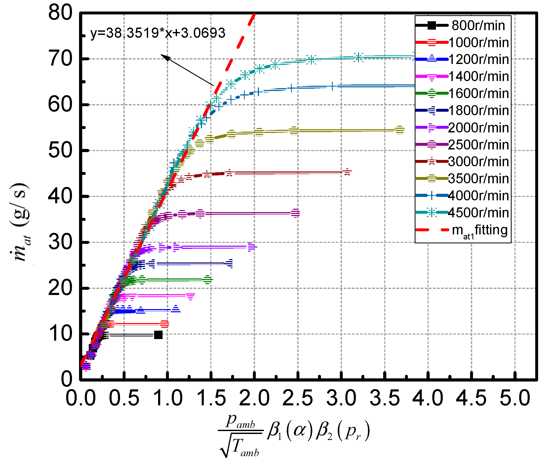
3.2. Model Parameter Fitting
3.3. Intake Air Mass Observer
4. Experimental Verification
4.1. Experimental Test Bench
4.2. The Experimental Results
5. Conclusions
Author Contributions
Funding
Conflicts of Interest
References
- Jiao, X.; Zhang, J.; Shen, T.; Kako, J. Adaptive air-fuel ratio control scheme and its experimental validations for port-injected spark ignition engines. Int. J. Adapt. Control Signal Process. 2015, 29, 41–63. [Google Scholar] [CrossRef]
- Wang, Z.; Zhu, Q.; Prucka, R. A Review of Spark-Ignition Engine Air Charge Estimation Methods; SAE Technical Paper 2016-01-0620; SAE international: Warrendale, PA, USA, 2016. [Google Scholar]
- Carbot-Rojas, D.A.; Escobar-Jiménez, R.F.; Gómez-Aguilar, J.F.; Téllez-Anguiano, A.C. A survey on modeling, biofuels, control and supervision systems applied in internal combustion engines. Renew. Sustain. Energy Rev. 2017, 73, 1070–1085. [Google Scholar] [CrossRef]
- Hendricks, E.; Vesterholm, T.; Sorenson, S.C. Nonlinear, Closed Loop, SI Engine Control Observers; SAE Technical Paper 920237; SAE international: Warrendale, PA, USA, 1992. [Google Scholar]
- Kang, J.M.; Haskara, I.; Wang, Y.Y.; Chang, C.F. Adaptive intake oxygen estimation in lean-burn engines. In Proceedings of the 2012 American Control Conference (ACC), Montreal, QC, Canada, 27–29 June 2012. [Google Scholar]
- Polóni, T.; Rohaľ-Ilkiv, B.; Arne Johansen, T. Mass flow estimation with model bias correction for a turbocharged Diesel engine. Control Eng. Pract. 2014, 23, 22–31. [Google Scholar] [CrossRef]
- Colin, G.; Bloch, G.; Chamaillard, Y.; Anstett, F. Two air path observers for turbocharged SI engines with VCT. Control Eng. Pract. 2009, 17, 571–578. [Google Scholar] [CrossRef]
- Stotsky, A.; Kolmanovsky, I. Application of input estimation techniques to charge estimation and control in automotive engines. Control Eng. Pract. 2002, 10, 1371–1383. [Google Scholar] [CrossRef]
- Efimov, D.; Li, S.; Hu, Y.; Muldoon, S. Application of interval observers to estimation and control of air-fuel ratio in a direct injection engine. In Proceedings of the 2015 American Control Conference (ACC), Chicago, IL, USA, 1–3 July 2015. [Google Scholar]
- Höckerdal, E.; Frisk, E.; Eriksson, L. EKF-based adaptation of look-up tables with an air mass-flow sensor application. Control Eng. Pract. 2011, 19, 442–453. [Google Scholar] [CrossRef]
- Ogawa, M.; Ogai, H.; Inoue, Y.; Okuda, N.; Ohata, A. Design of compensator for engine intake system model with turbocharger by Extended Kalman Filter. In Proceedings of the ICCAS-SICE 2009, Fukuoka, Japan, 18–21 August 2009. [Google Scholar]
- Hendricks, E. Engine Modelling for Control Applications: A Critical Survey. In Meccanica; Springer: Berlin/Heidelberg, Germany, 1997; Volume 32, pp. 387–396. [Google Scholar]
- Guzzella, L.; Onder, C.H. Introduction to Modeling and Control of Internal Combustion Engine Systems; Springer: Berlin/Heidelberg, Germany, 2010; Volume 25, pp. 96–99. [Google Scholar]
- Hendricks, E.; Vesterholm, T. The Analysis of Mean Value SI Engine Models; SAE Technical Paper 920682; SAE International: Warrendale, PA, USA, 1992. [Google Scholar]
- Lei, M.; Zeng, C.; Hong, L.; Jie, L.; Wen, L.; Li, X. Research on Modeling and Simulation of SI Engine for AFR Control Application. Open Autom. Control Syst. J. 2014, 6, 803–812. [Google Scholar] [CrossRef]
- Hendricks, E.; Chevalier, A.; Jensen, M.; Sorenson, S.C.; Trumpy, D.; Asik, J. Modelling of the Intake Manifold Filling Dynamics; SAE Technical Paper 960037; SAE international: Warrendale, PA, USA, 1996. [Google Scholar]
- Meng, L.; Wang, X.; Zeng, C.; Luo, J. Adaptive Air-Fuel Ratio Regulation for Port-Injected Spark-Ignited Engines Based on a Generalized Predictive Control Method. Energies 2019, 12, 173. [Google Scholar] [CrossRef]
- Chui, C.K.; Chen, G. Extended Kalman Filter and System Identification. In Kalman Filtering; Springer: Berlin/Heidelberg, Germany, 2017; pp. 115–137. [Google Scholar]










| Parameter Type | Value |
|---|---|
| Engine Type | SI, 4 cylinders, In-line |
| Displacement (liters) | 1.485L |
| Compression Ratio | 10.2:1 |
| Bore (mm) | 74.7 |
| Stroke (mm) | 84.7 |
| Maximum torque | 146 N∙m/3600–4000 RPM |
| Maximum power | 82 kW/5800 RPM |
© 2019 by the authors. Licensee MDPI, Basel, Switzerland. This article is an open access article distributed under the terms and conditions of the Creative Commons Attribution (CC BY) license (http://creativecommons.org/licenses/by/4.0/).
Share and Cite
Meng, L.; Luo, J.; Yang, X.; Zeng, C. Intake Air Mass Observer Design Based on Extended Kalman Filter for Air-Fuel Ratio Control on SI Engine. Energies 2019, 12, 3444. https://doi.org/10.3390/en12183444
Meng L, Luo J, Yang X, Zeng C. Intake Air Mass Observer Design Based on Extended Kalman Filter for Air-Fuel Ratio Control on SI Engine. Energies. 2019; 12(18):3444. https://doi.org/10.3390/en12183444
Chicago/Turabian StyleMeng, Lei, Jie Luo, Xu Yang, and Chunnian Zeng. 2019. "Intake Air Mass Observer Design Based on Extended Kalman Filter for Air-Fuel Ratio Control on SI Engine" Energies 12, no. 18: 3444. https://doi.org/10.3390/en12183444
APA StyleMeng, L., Luo, J., Yang, X., & Zeng, C. (2019). Intake Air Mass Observer Design Based on Extended Kalman Filter for Air-Fuel Ratio Control on SI Engine. Energies, 12(18), 3444. https://doi.org/10.3390/en12183444

