A Novel Method for Comprehensive Quality and Reliability Optimization of High-Power DC Actuators for Renewable Energy Systems
Abstract
1. Introduction
2. The Proposed Optimization Method
2.1. The Flow of the Method
2.2. Quantization of Various Uncertainties
2.3. Establishment of Practical Model
2.4. W-Index Time-Varying Global Sensitivity
2.4.1. Fixed-Interval Array (Ui(t)) of Uncertainty Factor (Ci(t)) is Produced
- (1) From , the integral nodes of and the corresponding weights are generated by the sparse grid integration method.
- (2) From , the integral nodes of and the corresponding weights are generated by the sparse grid integration method.
- (3) The fixed interval Ui(t) of the input Ci(t) is generated by the sparse mesh integral nodes of and .
2.4.2. Calculation of W-Time-Varying Main Indices
2.5. Construction of the Quality and Reliability Optimization Model
3. Results
4. Conclusions
- Quantification of uncertainties is inappropriate under certain conditions (e.g., correlation and high-dimensional parameters). Accurate quantification of uncertainties directly affects the optimization design effect. In this study, degradation uncertainties were introduced into the life cycle quality and reliability design process. The time domain and orthogonal transformations were introduced into the hyperellipsoidal method. The application example showed that the distribution space of the correlation uncertainties was reduced by 19%, effectively improving quality and reliability for optimizing the model’s accuracy and efficiency.
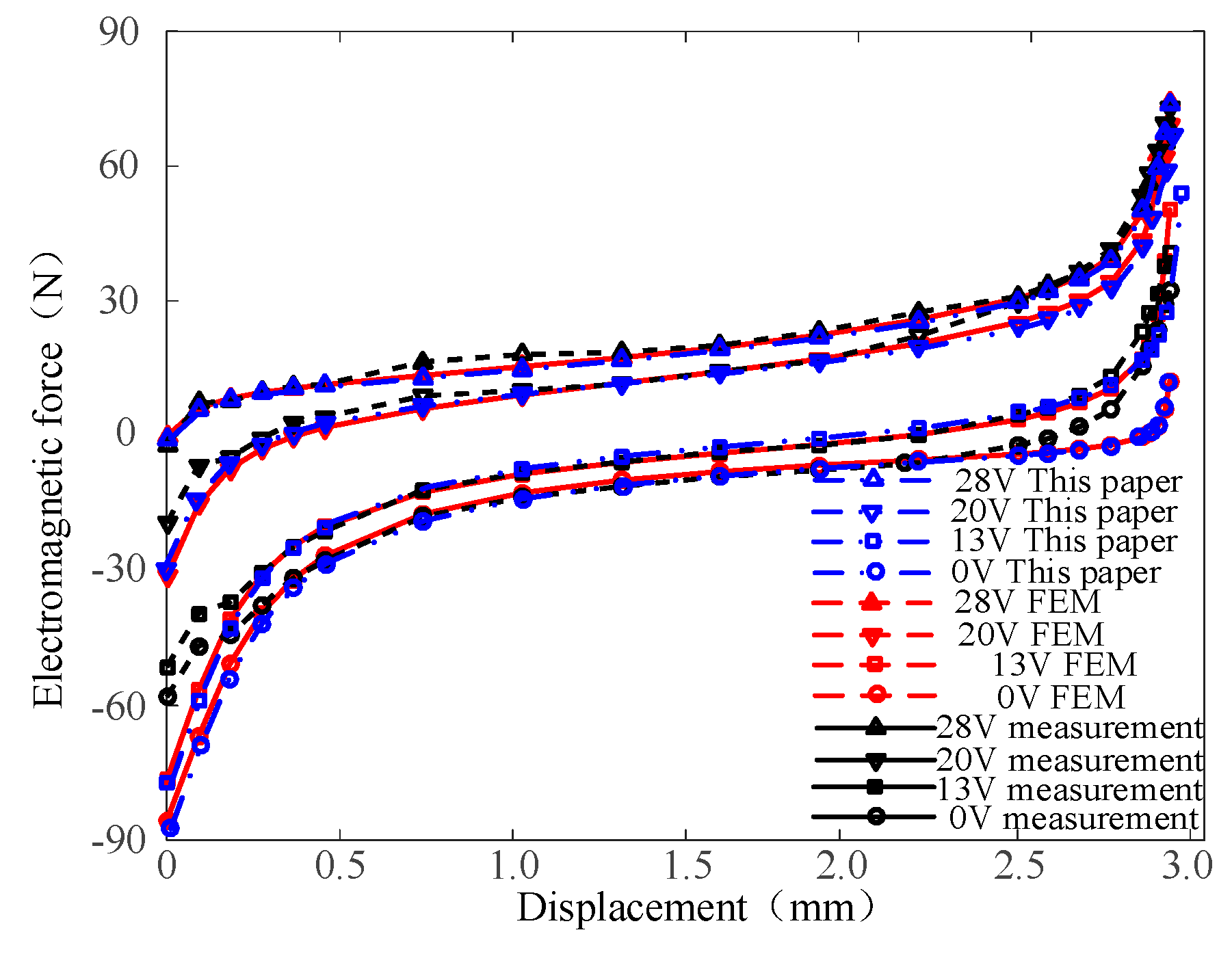
- Calculation accuracy is the deficiency under certain conditions (e.g., initial and final position) when adopting the FEM to calculate the output characteristics of high-power DC actuators (especially with PMs). The precision of a substitution model established on this basis struggles to satisfy the demands of quality and reliability in design optimization. In this study, practical measures were introduced into the correction of the substitution model after establishing the basis function through the RSM. The application example calculation showed that the maximum error of calculation was reduced from 32.5% to 2.6% after adopting the RBF method and practical measurement results for error correction.
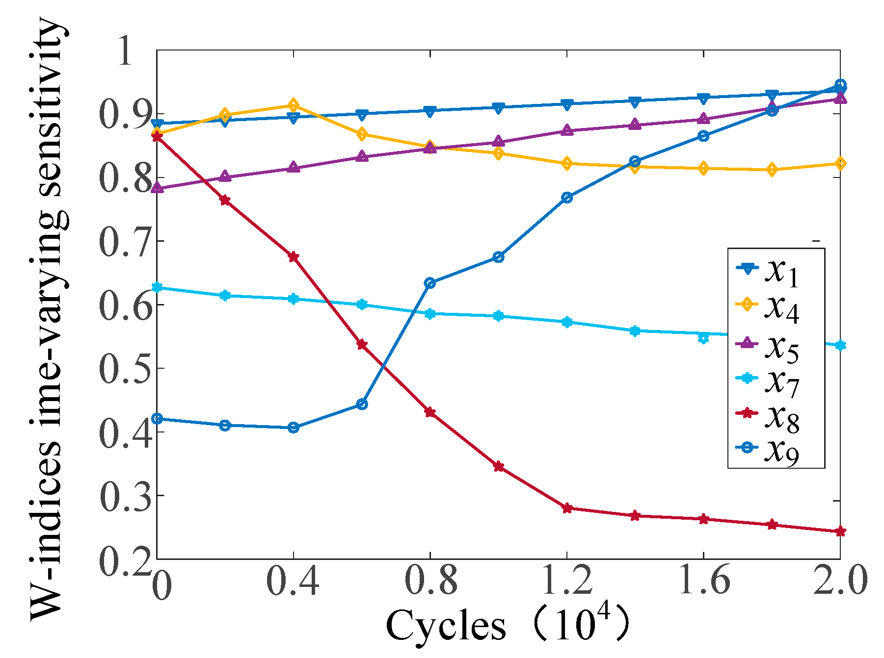
- A modified W-index global sensitivity analysis method was proposed using sparse grid integration. The W-index time-varying sensitivity analysis method was extended from fixed points to the interval. This method can be used to calculate the variation of parameters under uncertainties and time-varying effects. The application example showed that the key parameters were the yoke diameter , the armature diameter , and the armature height . Those parameters should be fully considered during design optimization and manufacturing to ensure the quality and reliability of the product during its life cycle.
- Considering the time-varying reliability requirements of high-power DC actuators, a quality and reliability optimization model for the life cycle of high-power DC actuators was constructed. The output characteristics of the product improved by 28.9% after optimization. The initial and optimized values of the W-index time-varying global sensitivity of the product decreased significantly, indicating that the consistency of the product was significantly improved. Further, the reliability of the high-power DC actuators after 20,000 operations increased by 55.16%.
Author Contributions
Funding
Conflicts of Interest
References
- Yao, J.; Zhang, Y.; Yan, Z.; Li, L. A Group Approach of Smart Hybrid Poles with Renewable Energy, Street Lighting and EV Charging Based on DC Micro-Grid. Energies 2018, 11, 3445. [Google Scholar] [CrossRef]
- Astaneh, M.; Roshandel, R.; Dufo-López, R.; Bernal-Agustín, J.L. A novel framework for optimization of size and control strategy of lithium-ion battery based off-grid renewable energy systems. Energy Convers. Manag. 2018, 175, 99–111. [Google Scholar] [CrossRef]
- Hou, H.; Xue, M.; Xu, Y.; Tang, J.; Zhu, G.; Liu, P.; Xu, T. Multiobjective Joint Economic Dispatching of a Microgrid with Multiple Distributed Generation. Energies 2018, 11, 3264. [Google Scholar] [CrossRef]
- Da Luz CM, A.; Tofoli, F.L.; dos Santos Vicente, P.; Vicente, E.M. Assessment of the ideality factor on the performance of photovoltaic modules. Energy Convers. Manag. 2018, 167, 63–69. [Google Scholar] [CrossRef]
- Garoudja, E.; Chouder, A.; Kara, K.; Silvestre, S. An enhanced machine learning based approach for failures detection and diagnosis of PV systems. Energy Convers. Manag. 2017, 151, 236–249. [Google Scholar] [CrossRef]
- Liu, K.; Li, K.; Ma, H.; Zhang, J.; Peng, Q. Multi-objective optimization of charging patterns for lithium-ion battery management. Energy Convers. Manag. 2018, 159, 151–162. [Google Scholar] [CrossRef]
- Chen, K.; Zhao, F.; Hao, H.; Liu, Z. Synergistic Impacts of China’s Subsidy Policy and New Energy Vehicle Credit Regulation on the Technological Development of Battery Electric Vehicles. Energies 2018, 11, 3193. [Google Scholar] [CrossRef]
- Lyshevski, S.E. Microstepping and high-performance control of permanent-magnet stepper motors. Energy Convers. Manag. 2014, 85, 698–709. [Google Scholar] [CrossRef]
- Merchaoui, M.; Sakly, A.; Mimouni, M.F. Particle swarm optimisation with adaptive mutation strategy for photovoltaic solar cell/module parameter extraction. Energy Convers. Manag. 2018, 175, 1726–1739. [Google Scholar] [CrossRef]
- Nong, G.; Liu, Y.; Zhu, H.; Li, Y.; Li, P. Energy analysis for an artificial tree generating polymer fuels from water and CO2. Energy Convers. Manag. 2017, 151, 465–471. [Google Scholar] [CrossRef]
- Sun, Z.-Y.; Li, G.-X.; Wang, L.; Wang, W.-H.; Gao, Q.-X.; Wang, J. Effects of structure parameters on the static electromagnetic characteristics of solenoid valve for an electronic unit pump. Energy Convers. Manag. 2016, 113, 119–130. [Google Scholar] [CrossRef]
- Wang, L.; Li, G.-X.; Xu, C.-L.; Xi, X.; Wu, X.-J.; Sun, S.-P. Effect of characteristic parameters on the magnetic properties of solenoid valve for high-pressure common rail diesel engine. Energy Convers. Manag. 2016, 127, 656–666. [Google Scholar] [CrossRef]
- Lowther, D.A. The Development of Industrially-Relevant Computational Electromagnetics Based Design Tools. Ieee Trans. Magn. 2013, 49, 2375–2380. [Google Scholar] [CrossRef]
- Abdallh, A.A.; Dupré, L. The Influence of Magnetic Material Degradation on the Optimal Design Parameters of Electromagnetic Devices. IEEE Trans. Magn. 2014, 50, 1–4. [Google Scholar] [CrossRef]
- Di Barba, P.; Formisano, A.; Martone, R.; Repetto, M.; Salvini, A. A brief survey of robust optimization. Int. J. Appl. Electromagn. Mech. 2018, 56, 61–72. [Google Scholar] [CrossRef]
- Ye, X.; Lin, Y.; Wang, Q.; Niu, H.; Zhai, G. Manufactuing process based storage degradation modelling and reliability assessment. Microelectron. Reliab. 2018, 99–90, 1337–1340. [Google Scholar]
- Bai, Y.C.; Han, X.; Jiang, C.; Bi, R.G. A response-surface-based structural reliability analysis method by using non-probability convex model. Appl. Math. Model. 2014, 38, 3834–3847. [Google Scholar] [CrossRef]
- Erfani, T.; Utyuzhnikov, S.V. Control of robust design in multiobjective optimization under uncertainties. Struct. Multidisc. Optim. 2012, 55, 339–349. [Google Scholar] [CrossRef]
- Antoun, C.A.; Würsch, C.; Köchli, C.; Perriard, Y. Validity Tests of Superposition Principle Based on Forward Model for Electromagnetic Induction Scattering. IEEE Trans. Magn. 2015, 51, 1–4. [Google Scholar] [CrossRef]
- Dorica, M.; Giannacopoulos, D.D. Response Surface Space Mapping for Electromagnetic Optimization. IEEE Trans. Magn. 2006, 42, 1123–1126. [Google Scholar] [CrossRef]
- Brevault, L.; Balesdent, M.; Bérend, N.; Le Riche, R. Decoupled multidisciplinary design optimization formulation for interdisciplinary coupling satisfaction under uncertainty. Aiaa J. 2016, 541, 186–205. [Google Scholar] [CrossRef]
- Hwang, K.-Y.; Lin, H.; Rhyu, S.-E.; Kwon, B.-Y. A Study on the Novel Coefficient Modeling for a Skewed Permanent Magnet and Overhang Structure for Optimal Design of Brushless DC Motor. IEEE Trans. Magn. 2015, 48, 1918–1923. [Google Scholar] [CrossRef]
- Montgomery, D.C. Design and Analysis of Experiments; John Wiley & Sons: New York, NY, USA, 2009. [Google Scholar]
- Wahdame, B.; Candusso, D.; FranÇois, X.; Harel, F.; PÉra, M.C.; Hissel, D.; Kauffmann, J.M. Analysis of a fuel cell durability test based on design of experiment approach. IEEE Trans Energy Conver. 2018, 23, 1093–1104. [Google Scholar] [CrossRef]
- Rathod, V.; Yadav, O.P.; Rathore, A.; Jain, R. Reliability-Based Design Optimization Considering Probabilistic Degradation Behavior. IEEE Trans. Magn. 2013, 49, 2057–2060. [Google Scholar] [CrossRef]
- Albunni, M.N.; Rischmuller, V.; Fritzsche, T.; Lohmann, B. Multiobjective Optimization of the Design of Nonlinear Electromagnetic Systems Using Parametric Reduced Order Models. Qual. Reliab. Eng. Int. 2012, 45, 1474–1477. [Google Scholar] [CrossRef]
- Myers, R.H.; Montgomery, D.C.; Anderson-Cook, C.M. Response Surface Methodology: Process and Product Optimization Using Designed Experiments; John Wiley & Sons: Hoboken, NJ, USA, 2016. [Google Scholar]
- Kurniawan, E.; Cao, Z.; Man, Z. Design of Robust Repetitive Control with Time-Varying Sampling Periods. IEEE Trans Ind Electron. 2017, 64, 1647–1652. [Google Scholar] [CrossRef]
- Huang, X.; Zhang, Y. Reliability sensitivity analysis using dimension reduction methods and saddlepoint approximations. Int. J. Numer. Methods Eng. 2013, 93, 857–886. [Google Scholar] [CrossRef]
- Ammar, S.I.; Alharbi, Y.F. Time-dependent analysis for a two-processor heterogeneous system with time-varying arrival and service rates. Appl. Math. Model. 2018, 54, 743–751. [Google Scholar] [CrossRef]












| Design Parameters | Mean (mm) | Variance |
|---|---|---|
| 5.8 | 0.068 | |
| 5.1 | 0.18 | |
| 4.9 | 0.063 | |
| 7.6 | 0.063 | |
| 5.8 | 0.068 | |
| 3.3 | 0.15 | |
| 4.0 | 0.052 | |
| 7.6 | 0.154 | |
| 3.8 | 0.05 |
| Method | F1 (N) | F2 (N) | F3 (N) | Reliability |
|---|---|---|---|---|
| Original product | 75.3 (0%) | 44.6 (0%) | 2.69 (0%) | 0.591 |
| State-of-art (Rise Rate) | 92.2 (35.2%) | 47.2 (5.83%) | 1.78 (33.8%) | 0.854 |
| Proposed Method (Rise Rate) | 87.6 (16.4%) | 57.5 (28.9%) | 2.12 (10.4%) | 0.917 |
© 2019 by the authors. Licensee MDPI, Basel, Switzerland. This article is an open access article distributed under the terms and conditions of the Creative Commons Attribution (CC BY) license (http://creativecommons.org/licenses/by/4.0/).
Share and Cite
Deng, J.; Chen, H.; Ye, X.; Liang, H.; Zhaia, G. A Novel Method for Comprehensive Quality and Reliability Optimization of High-Power DC Actuators for Renewable Energy Systems. Energies 2019, 12, 3633. https://doi.org/10.3390/en12193633
Deng J, Chen H, Ye X, Liang H, Zhaia G. A Novel Method for Comprehensive Quality and Reliability Optimization of High-Power DC Actuators for Renewable Energy Systems. Energies. 2019; 12(19):3633. https://doi.org/10.3390/en12193633
Chicago/Turabian StyleDeng, Jie, Hao Chen, Xuerong Ye, Huimin Liang, and Guofu Zhaia. 2019. "A Novel Method for Comprehensive Quality and Reliability Optimization of High-Power DC Actuators for Renewable Energy Systems" Energies 12, no. 19: 3633. https://doi.org/10.3390/en12193633
APA StyleDeng, J., Chen, H., Ye, X., Liang, H., & Zhaia, G. (2019). A Novel Method for Comprehensive Quality and Reliability Optimization of High-Power DC Actuators for Renewable Energy Systems. Energies, 12(19), 3633. https://doi.org/10.3390/en12193633

