Evaluation of Filtered Spark Gap on the Lightning Protection of Distribution Transformers: Experimental and Simulation Study
Abstract
1. Introduction
2. Filtered Spark Gap-Based Model
2.1. High Voltage Laboratory Experimental Setup
2.2. Software Simulation Setup
2.2.1. Applied Impulse
2.2.2. Transformer Model
2.2.3. Spark Gap
2.2.4. Placement of the Inductor-Based Filter
3. Model Validation
3.1. Test 1) Applying 110 kV and 125 kV Impulses in the Presence of the Spark Gap
3.2. Test 2) Applying 110 kV and 125 kV Impulses in the Presence of the Proposed Filtered Spark Gap
4. Case Studies
4.1. Case 1) Applying 110 kV and 125 kV Impulses in the Presence of the Filtered Spark Gap with Large and Small Inductors
4.2. Case 2) Sensitivity Analysis over the Inductor Size Under 110 kV and 125 kV Impulses in the Presence of the Filtered Spark Gap
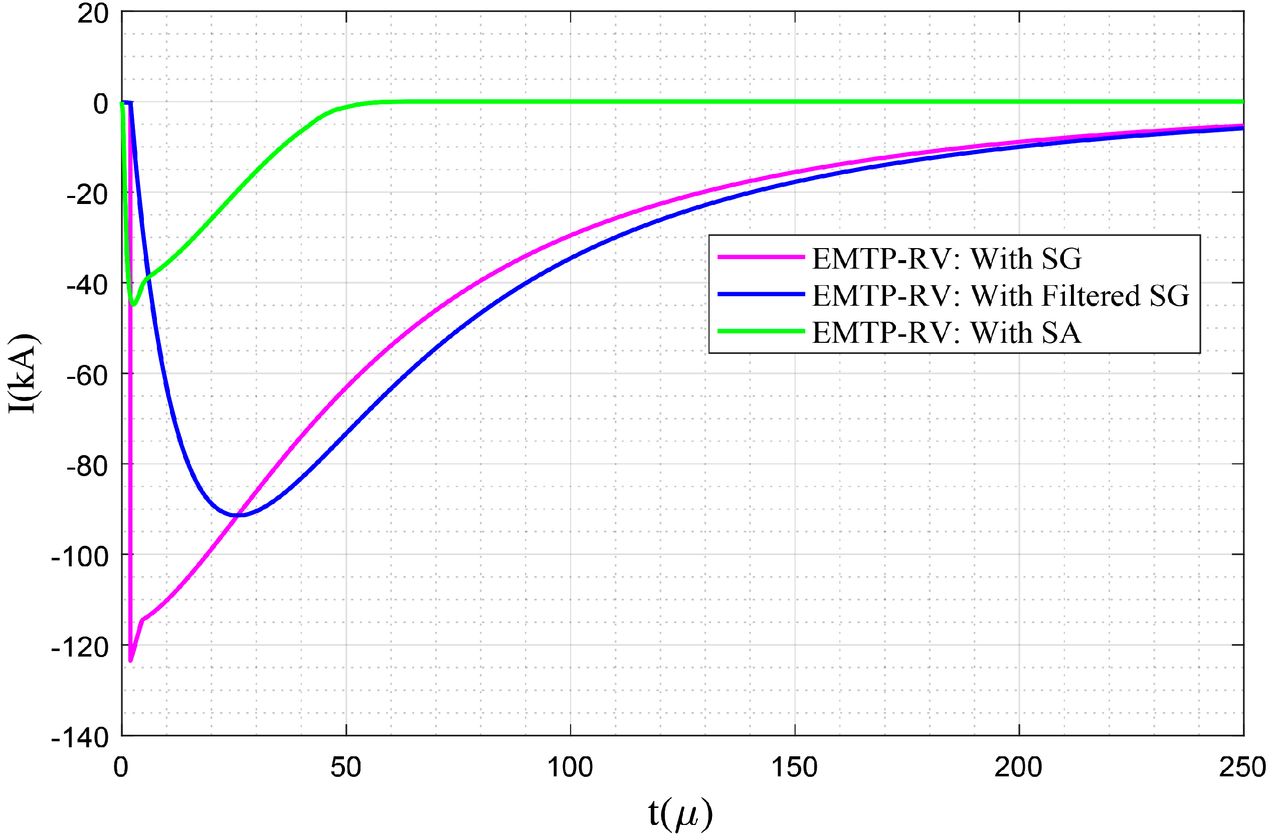
5. Comparisons and Discussion
6. Conclusions
Author Contributions
Funding
Acknowledgments
Conflicts of Interest
References
- Hou, M.; Gao, H.; Zhang, S.; Wang, F. Simulation study on lightning protection of distribution transformer with zinc oxide arrester. In Proceedings of the 2015 5th International Conference on Electric Utility Deregulation and Restructuring and Power Technologies (DRPT), Changsha, China, 26–29 November 2015; pp. 1763–1767. [Google Scholar]
- Furgał, J. Influence of Lightning Current Model on Simulations of Overvoltages in High Voltage Overhead Transmission Systems. Energies 2020, 13, 296. [Google Scholar] [CrossRef]
- Li, W.; Liu, L.; Sun, L.; Hu, J.; Wang, J.; Xie, Y. Analysis and countermeasures of the tilt of lightning rod in transformer substation. IOP Conf. Ser. Earth Environ. Sci. 2019, 358, 042073. [Google Scholar] [CrossRef]
- Piantini, A. Analysis of the effectiveness of shield wires in mitigating lightning-induced voltages on power distribution lines. Electr. Power Syst. Res. 2018, 159, 9–16. [Google Scholar] [CrossRef]
- Brignone, M.; Mestriner, D.; Procopio, R.; Piantini, A.; Rachidi, F. Evaluation of the Mitigation Effect of the Shield Wires on Lightning Induced Overvoltages in MV Distribution Systems Using Statistical Analysis. IEEE Trans. Electromagn. Compat. 2018, 60, 1400–1408. [Google Scholar] [CrossRef]
- Yokoyama, S. Designing Concept on Lightning Protection of Overhead Power Distribution Line. In Proceedings of the IX International Symposium on Lightning Protection, Foz do Iguaçu, Brazil, 26–30 November 2007; pp. 1–16. [Google Scholar]
- Araneo, R.; Andreotti, A.; Brandao Faria, J.A.; Celozzi, S.; Assante, D.; Verolino, L. Utilization of Underbuilt Shield Wires to Improve the Lightning Performance of Overhead Distribution Lines hit by Direct Strokes. IEEE Trans. Power Deliv. 2019. [Google Scholar] [CrossRef]
- Piantini, A. Lightning-induced voltages on distribution lines with shield wires. In Proceedings of the 2016 33rd International Conference on Lightning Protection (ICLP), Aveiro, Portugal, 25–30 September 2016; pp. 1–5. [Google Scholar]
- Florkowski, M.; Furgał, J.; Kuniewski, M. Propagation of Overvoltages in the Form of Impulse, Chopped and Oscillating Waveforms in Transformer Windings—Time and Frequency Domain Approach. Energies 2020, 13, 304. [Google Scholar] [CrossRef]
- AIEE Committee on Electrical Machinery—Transformer Subcommittee. Protection of Power Transformers Against Lighting Surges. Trans. Am. Inst. Electr. Eng. 1941, 60, 568–577. [Google Scholar] [CrossRef]
- Cigre Working Group 02 (Internal Overvoltages) of Study Committee 33. Guidelines for Representation of Network Elements when Calculating Transients; CIGRÉ: Paris, France, 1990; p. 30. [Google Scholar]
- Mahmood, F.; Rizk, M.E.M.; Lehtonen, M. Evaluation of Lightning Overvoltage Protection Schemes for Pole-Mounted Distribution Transformers. Int. Rev. Electr. Eng. 2015, 10, 616. [Google Scholar] [CrossRef]
- Sabiha, N.A.; Lehtonen, M. Lightning-Induced Overvoltages Transmitted Over Distribution Transformer With MV Spark-Gap Operation—Part I: High-Frequency Transformer Model. IEEE Trans. Power Deliv. 2010, 25, 2472–2480. [Google Scholar] [CrossRef]
- Sabiha, N.A.; Lehtonen, M. Lightning-Induced Overvoltages Transmitted Over Distribution Transformer With MV Spark-Gap Operation—Part II: Mitigation Using LV Surge Arrester. IEEE Trans. Power Deliv. 2010, 25, 2565–2573. [Google Scholar] [CrossRef]
- Somogyi, A.; Vizi, L. Overvoltage protection of pole mounted distribution transformers. Period. Polytech. Electr. Eng. 1997, 41, 27–40. [Google Scholar]
- Christodoulou, C.A.; Vita, V.; Maris, T.I. On the optimal placement of surge arresters for the efficient protection of medium voltage distribution networks against atmospheric overvoltages. In Proceedings of the 2019 54th International Universities Power Engineering Conference (UPEC), Bucharest, Romania, 3–6 September 2019; pp. 1–4. [Google Scholar]
- Rocha, G.V.S.; de Souza Barradas, R.P.; Muniz, J.R.S.; Bezerra, U.H.; de Araújo, I.M.; de Souza Avelar da Costa, D.; da Silva, A.C.; Nunes, M.V.A.; e Silva, J.S. Optimized Surge Arrester Allocation Based on Genetic Algorithm and ATP Simulation in Electric Distribution Systems. Energies 2019, 12, 4110. [Google Scholar] [CrossRef]
- Opsahl, A.M.; Brookes, A.S.; Southgate, R.N. Lightning Protection for Distribution Transformers. Trans. Am. Inst. Electr. Eng. 1932, 51, 245–251. [Google Scholar] [CrossRef]
- Borghetti, A.; Ferraz, G.M.F.; Napolitano, F.; Nucci, C.A.; Piantini, A.; Tossani, F. Lightning protection of a multi-circuit HV-MV overhead line. Electr. Power Syst. Res. 2020, 180, 106119. [Google Scholar] [CrossRef]
- Heine, P.; Lehtonen, M.; Oikarinen, A. Overvoltage protection, faults and voltage sags. In Proceedings of the 2004 11th International Conference on Harmonics and Quality of Power (IEEE Cat. No.04EX951), New York, NY, USA, 12–15 September 2004; pp. 100–105. [Google Scholar]
- Mahmood, F.; Elkalashy, N.I.; Lehtonen, M. Modeling of flashover arcs in medium voltage networks due to direct lightning strikes. Int. J. Electr. Power Energy Syst. 2015, 65, 59–69. [Google Scholar] [CrossRef]
- Pourakbari-Kasmaei, M.; Mahmoud, F.; Krbal, M.; Pelikan, L.; Orságová, J.; Toman, P.; Lehtonen, M. Transformer with Serial Inductors and Protection Spark Gap. Available online: https://drive.google.com/file/d/1ztdvBW2QNNZx1t6XsAY6IMTzq-nxAlVc/view?usp=sharing (accessed on 15 July 2020).
- The GAMS Development Corporation Website. Available online: https://www.gams.com/ (accessed on 15 July 2020).
- CONOPT, a Solver for Large-Scale Nonlinear Optimization (NLP). Available online: http://www.conopt.com/ (accessed on 15 July 2020).
- Electromagnetic Transients Program-Restructured Version (EMTP-RV). Available online: https://www.emtp-software.com/ (accessed on 15 July 2020).
- MATLAB and Statistics Toolbox Release 2018b. Available online: https://se.mathworks.com/products/matlab.html (accessed on 15 July 2020).
- Miyazaki, S.; Goshima, H.; Amano, T.; Shinkai, H.; Yashima, M.; Wakimoto, T.; Ishii, M. Uncertainty of Peak-value Measurement of Lightning Impulse High Voltage By National-Standard-Class Measuring System. In Proceedings of the XVII International Symposium on High Voltage Engineering, Hannover, Germany, 22–26 August 2011; pp. 1–6. [Google Scholar]
- Kuffel, E.; Zaengl, W.S.; Kuffel, J. High Voltage Engineering Fundamentals; Elsevier: Amsterdam, The Netherlands, 2000; ISBN 9780750636346. [Google Scholar]
- Pourakbari-Kasmaei, M.; Mahmoud, F.; Krbal, M.; Pelikan, L.; Orságová, J.; Toman, P.; Lehtonen, M. Optimal Adjustment of Double Exponential Model Parameters to Reproduce the Laboratory Volt-Time Curve of Lightning Impulse. In Proceedings of the 21st International Conference on Electricity Distribution International Scientific Conference on Electric Power Engineering (EPE), Prague, Czech Republic, 19–21 October 2020. [Google Scholar]
- Savadamuthu, U.; Udayakumar, K.; Jayashankar, V. Modified disruptive effect method as a measure of insulation strength for non-standard lightning waveforms. IEEE Trans. Power Deliv. 2002, 17, 510–515. [Google Scholar] [CrossRef]
- Rodrigues, A.R.; Guimarães, G.C.; Boaventura, W.C.; Lima, J.L.C.; Chaves, M.L.R.; Silva, A.M.B. Volt–Time Curve Prediction of Distribution Insulators Under Standard and Typical Lightning Overvoltages Using the Disruptive Effect Method. J. Control Autom. Electr. Syst. 2017, 28, 259–270. [Google Scholar] [CrossRef]
- Krithika, G.; Usa, S. v-t Characteristics using extended disruptive effect model for impulses of varying front times. IEEE Trans. Dielectr. Electr. Insul. 2015, 22, 2191–2195. [Google Scholar] [CrossRef]
- Darveniza, M. The generalized integration method for predicting impulse volt-time characteristics for non-standard wave shapes—A theoretical basis. IEEE Trans. Electr. Insul. 1988, 23, 373–381. [Google Scholar] [CrossRef]
- IEEE Working Group 3.4.11: Application of Surge Protective Devices Subcommittee-Surge Protective Device Committee. Modeling of metal oxide surge arresters. IEEE Trans. Power Deliv. 1992, 7, 302–309. [Google Scholar] [CrossRef]
- Christodoulou, C.A.; Assimakopoulou, F.A.; Gonos, I.F.; Stathopulos, I.A. Simulation of metal oxide surge arresters behavior. In Proceedings of the 2008 IEEE Power Electronics Specialists Conference, Rhodes, Greece, 15–19 June 2008; pp. 1862–1866. [Google Scholar]

























| Inductor Size | ||||||
|---|---|---|---|---|---|---|
| Peak value (kV) | −110.222 | −109.417 | −108.659 | −107.977 | −107.483 | −107.973 |
| Front time () | 2.51 | 2.47 | 2.40 | 2.29 | 2.00 | 1.24 |
| Inductor Size | ||||||
|---|---|---|---|---|---|---|
| Peak value (kV) | −124.361 | −124.202 | −124.018 | −123.799 | −123.600 | −123.798 |
| Front time () | 2.05 | 2.01 | 2.00 | 1.98 | 1.96 | 1.49 |
© 2020 by the authors. Licensee MDPI, Basel, Switzerland. This article is an open access article distributed under the terms and conditions of the Creative Commons Attribution (CC BY) license (http://creativecommons.org/licenses/by/4.0/).
Share and Cite
Pourakbari-Kasmaei, M.; Mahmood, F.; Krbal, M.; Pelikan, L.; Orságová, J.; Toman, P.; Lehtonen, M. Evaluation of Filtered Spark Gap on the Lightning Protection of Distribution Transformers: Experimental and Simulation Study. Energies 2020, 13, 3799. https://doi.org/10.3390/en13153799
Pourakbari-Kasmaei M, Mahmood F, Krbal M, Pelikan L, Orságová J, Toman P, Lehtonen M. Evaluation of Filtered Spark Gap on the Lightning Protection of Distribution Transformers: Experimental and Simulation Study. Energies. 2020; 13(15):3799. https://doi.org/10.3390/en13153799
Chicago/Turabian StylePourakbari-Kasmaei, Mahdi, Farhan Mahmood, Michal Krbal, Ludek Pelikan, Jaroslava Orságová, Petr Toman, and Matti Lehtonen. 2020. "Evaluation of Filtered Spark Gap on the Lightning Protection of Distribution Transformers: Experimental and Simulation Study" Energies 13, no. 15: 3799. https://doi.org/10.3390/en13153799
APA StylePourakbari-Kasmaei, M., Mahmood, F., Krbal, M., Pelikan, L., Orságová, J., Toman, P., & Lehtonen, M. (2020). Evaluation of Filtered Spark Gap on the Lightning Protection of Distribution Transformers: Experimental and Simulation Study. Energies, 13(15), 3799. https://doi.org/10.3390/en13153799

