Next Article in Journal
Renewable and Non-Renewable Energy Consumption in BRICS: Assessing the Dynamic Linkage between Foreign Capital Inflows and Energy Consumption
Previous Article in Journal
Comparative Study on Relative Fossil Energy Carrying Capacity in China and the United States
Previous Article in Special Issue
Sorption-Enhanced Water-Gas Shift Reaction for Synthesis Gas Production from Pure CO: Investigation of Sorption Parameters and Reactor Configurations
 
 
Font Type:
Arial Georgia Verdana
Font Size:
Aa Aa Aa
Line Spacing:
Column Width:
Background:
Article

Kinetic Regularities of Methane Dry Reforming Reaction on Nickel-Containing Modified Ceria–Zirconia

Department of Heterogeneous Catalysis, Boreskov Institute of Catalysis, 630090 Novosibirsk, Russia
*
Author to whom correspondence should be addressed.
Energies 2021, 14(10), 2973; https://doi.org/10.3390/en14102973
Submission received: 7 April 2021 / Revised: 12 May 2021 / Accepted: 18 May 2021 / Published: 20 May 2021
(This article belongs to the Special Issue Hydrogen and Syngas Generation)

Abstract

The Ni-containing catalysts based on ceria–zirconia doped with Ti and Ti+Nb were prepared by the solvothermal method in supercritical fluids. Ni deposition was carried out by incipient wetness impregnation and the one-pot technique. All materials were investigated by a complex of physicochemical methods (XRD, BET, TEM, H2-TPR). Samples catalytic properties were studied in methane dry reforming in the plug-flow reactor. Conversions of CH4 and CO2, H2/CO ratio, and CO and H2 yields were measured, and detailed kinetics analysis was carried out. The influence of Ni loading method and support modification on the catalytic behavior in the methane dry reforming process was studied. The preparation method of catalysts affects the textural characteristics. For one-pot samples, pore volume and surface area are lower than for impregnated samples. For catalysts on modified supports, strong metal–support interaction was shown to increase catalytic activity. A reduction pretreatment of samples was shown to have significant influence on their catalytic properties. The kinetic parameters such as reaction rate constant at 700 °C, effective activation energy, and TOF were estimated and analyzed.

1. Introduction

In recent years, investigations were carried out to solve problems related to global warming and environmental pollutions [1]. There is an important problem regarding the limitation of non-renewable energy sources such as coal, oil, and natural gas. Methane dry reforming (MDR) is a very attractive way to convert two greenhouse gases into synthesis gas according to the following equation:
CH4 + CO2 = 2H2 + 2CO.
It is well known that synthesis gas can be used as a source for Fischer–Tropsch synthesis as well as a raw material for hydrogen production [2,3].
There are many investigations in the field of using catalysts in MDR [1]. Ni-based catalysts are attractive due to their low price and high activity [4,5,6]. The limitations in a practical application of these catalysts are associated with coke formation and Ni sintering. In the literature, there are a lot of attempts to solve these problems. Thus, in [7,8], catalysts supported on CeO2 are described. It is well known that CeO2 has a good thermal stability and a high oxygen mobility/storage capacity being perspective support for high-temperature processes such as MDR.
However, different ways to increase oxygen mobility in this oxide are under investigation. For example, ceria modification by zirconia leads to CeO2 stabilization forming solid solution [9,10,11]. Ni-containing catalysts based on ceria–zirconia are well studied in MDR. In [11], the preparation method of CexZr1−xO2 was varied. It was shown that the using of surfactant during the synthesis leads to an increase of catalytic activity in MDR (CH4 and CO2 conversions were 92% and 94%, respectively). The dependence of catalytic activity on Ni amount loaded by incipient wetness impregnation on commercial Ce0.68Zr0.32O2 support was studied [10]. The highest CO2 and CH4 conversions (40% and 37%, respectively, with H2/CO ratio 0.8) during 3.5 h were obtained over catalyst with Ni loading of 10 wt%.
Other elements were used to modify CeO2 as well. A series of catalysts of composition Ni/X% CeO2–Y% TiO2 (where X and Y ranged from 0% to 100%) were studied [12]. These catalysts were prepared by impregnation with Ni nitrate solution of the mixture of commercial CeO2 and TiO2 supports subjected to a pestle and mortar treatment followed by drying and calcinations in air at 1123K. The effect of CeO2/TiO2 ratio on the catalytic activity and stability in methane dry reforming in concentrated feed (CH4/CO2 = 1) at 1023 K and a contact time of ≈0.1 s was examined. Ni/TiO2 showed better initial activity than Ni/CeO2. However, Ni/CeO2 was much more stable. The Ni/CeO2–TiO2 catalyst, which has an optimum Ce/Ti ratio 1:1, showed excellent activity (CH4 conversion 85%) and stability in dry reforming. Doping Ni- and NiCo-containing catalysts with Nb was reported to affect their morphology, electronic structure, and thermal stability, thus promoting the catalytic activity in MDR reaction [13,14]. However, it was also reported that doping with Nb decreased the catalytic activity of doped ceria-based catalysts due to the segregation of Nb [15].
In addition to the different techniques of Ni addition described earlier, it was reported [16] that the so-called one-pot technique can be a promising way for the preparation of Ni-containing ceria–zirconia, while the conventional technique of Ni addition is wetness impregnation [17].
As noted earlier, the way of preparing the support influences the catalytic properties. There are many ways of obtaining materials based on ceria–zirconia such as co-precipitation [11], hydrothermal synthesis [18], sol–gel [17,19], and solid-state synthesis [20]. Thus, supercritical synthesis is currently being actively studied using different solvents [21]. Using a flow-type reactor, high dispersion particles can be obtained in supercritical water [22] or ethanol [23]. In our group, mixed ceria–zirconia was synthesized in supercritical isopropanol and butanol with variation of preparation conditions [24,25]. It was shown that mixed oxides prepared in optimal conditions have a high dispersion and uniform spatial distribution of cations in crystallites. However, the specificity of MDR kinetics on these types of catalysts has not yet been elucidated.
In this paper, kinetic investigations of Ni-containing catalysts based on ceria–zirconia modified with Ti and Ti+Nb in MDR are described. The dependencies of reagents conversions and product yields were obtained. The influence of Ni loading method and nature of doping cations of support was studied. Kinetic parameters such as reaction rate, reaction rate constant, effective activation energy, and turnover frequency (TOF) were estimated, and the most stable and active catalyst in MDR was determined.

2. Materials and Methods

2.1. Catalysts Preparation

Two series of Ni-containing catalysts based on mixed ceria–zirconia oxide also modified by Ti and Ti+Nb were prepared.
The supports were synthesized by the solvothermal method using supercritical conditions in the flow-type reactor. Ce(NO3)3·6H2O, Zr(OBu)4 (80 wt% in n-butanol), Ti(OC4H9)4 and NbCl5 were used as supports precursors. Starting salts were dissolved in isopropanol; only Zr(OBu)4 was dissolved in n-butanol with acetylacetonate as complexon. The molar concentrations of Ce and Zr were 0.25 mol/L and 0.8–1 mol/L, respectively. Isopropanol was used as a supercritical alcohol in the synthesis process. The temperature of oxide synthesis was in the range of 285–400 °C, the pressure in the reaction system was 120 atm., the feed rate of the salts solution was 5 mL/min, and the solvent feed rate was 9 mL/min. After leaving the reactor, the exit stream was depressurized and cooled, and suspension of solid particles in the mother liquid was collected in a storage container [26]. Obtained oxides were decanted, dried at 200 °C, and calcined at 700 °C during 2 h.
The first group of catalysts was obtained by the incipient wetness impregnation of the supports with nickel nitrate. The second group was prepared by the one-pot method. The essence of the method was the simultaneous introduction of Ni cations at the stage of oxide synthesis. Table 1 shows the list of prepared catalysts.

2.2. Catalysts Characterisation

All obtained samples were characterized by the complex of physicochemical techniques.
X-Ray diffraction analysis was carried out using a D8 Advance (Bruker, Germany) diffractometer with Cu Kα radiation and LynxEye detector. The XRD pattern was collected in the 2θ range 20–85 °C with a 0.05 step size and 3 s accumulation times.
The texture of samples was studied by N2 adsorption isotherms at −196 °C using an ASAP-2400 instrument (Micromeritics, Norcross, GA, USA). Before carrying analysis, systems were degassed at 150 °C under vacuum during 16 h. Pore volumes and pore size distribution were obtained from the desorption branch of the isotherms using the BJH method.
High-angle annular dark field scanning transmission electron microscopy (HAADF-STEM) and high-resolution transmission electron microscopy (HRTEM) images were obtained with a JEM-2200FS transmission electron microscope (JEOL Ltd., Tokyo Japan, acceleration voltage 200 kV, lattice resolution—1Å) equipped with a Cs-corrector and an EDX spectrometer (JEOL Ltd., Tokyo, Japan). The minimum spot diameter for the step-by-step line or mapping elemental EDX analysis was ∼1 nm with a step of about 1.5 nm. The structure of Ni-containing catalysts was studied by HRTEM using a ThemisZ electron microscope (Thermo Fisher Scientific, Waltham, MA, USA), which was explored at an accelerating voltage of 200 kV. The microscope was equipped with a corrector of spherical aberrations, which provided a maximum lattice resolution of 0.06 nm. Images were recorded using a Ceta 16 CCD sensor (Thermo Fisher Scientific, USA).
The study of the chemical composition of samples was carried out by X-ray photoelectron spectroscopy (XPS) on a SPECS Surface Nano Analysis GmbH (Berlin, Germany) electronic spectrometer. The spectrometer is equipped with a PHOIBOS-150 hemispherical analyzer with a FOCUS-500 X-ray monochromator, XR-50M X-ray characteristic radiation source with a double Al/Ag anode. To record the spectra, monochromatic Al Kα radiation was used (h v = 1486.74 eV). The spectrometer is equipped with a special high-pressure cell, which allows samples’ pretreatment and their transfer to the analyzer chamber without contact with air. The powders of the studied catalysts were pressed into a pellet, which was fixed on the sample holder. Calibration of the binding energy scale (BE) was performed using the Ce3d cerium line (BE = 917.0 eV). The determination of the relative content of elements in the analysis zone was carried out using the integrated intensities of the XPS lines, taking into account the photoionization cross-sections of the corresponding terms. For a detailed analysis of the spectra, the decomposition of the spectra into individual components was used. After subtracting the background according to the Shirley method, the experimental curve was decomposed into a series of lines corresponding to the photoemission of electrons from atoms in different chemical environments. Data processing was performed using the Casa XPS software package. The shape of the Ce3d, Zr3d, Nb3d, Ti2p, С1s, and O1s peaks is approximated by a symmetric function obtained by multiplying the Gauss and Lorentz functions. The shape of the Ni2p peaks was approximated by an asymmetric LF function (α, β, w, m) based on the convolution of the Lorentz and Gauss functions. XPS spectra of the samples were recorded after pretreating samples in the high-pressure cell for 30 min in a hydrogen atmosphere at 450 °C.
In experiments for estimation of the amount of surface Ni atoms by hydrogen chemisorption, the catalysts were first pre-reduced in a stream of 5% H2 in Ar at 600 °C for an hour and cooled to room temperature. Ar purging and heating from room temperature to 600 °C at 10 °C min−1 were done; then, holding during 1 h at 600 °C was carried out. Next, the cooling to 50 °C in Ar at a rate of 10 °C min−1 for 1 h was done. Further, the hydrogen adsorption by H2 pulses at 50 °C was performed (150 pulses, 3 min hold). A further step was TPD analysis, the heating in Ar was made from 50 to 700 °C at a 10 °C min−1 heating rate. The amount of surface Ni atoms NNi (in moles g−1) was calculated using the following equation [26]:
N N i = V H 2 S f w C a t V m
where VH2 denotes the volume of H2 chemisorbed at STP (mL) to form a monolayer, Sf is the stoichiometric factor, i.e., the Ni:H ratio in the chemisorption, which is taken as 1, wcat is the weight of the sample (g), and Vm is the molar volume of H2 gas (22,414 mL mol−1).
The oxygen mobility of fluorite samples was studied by the temperature-programmed isotope exchange (TPIE) of oxygen with C18O2 and 18O2 in a flow reactor. The samples (weight of 50 mg) were loaded into quartz tube reactor with an inner diameter of 3 mm. The samples were pretreated in He + 1% O2 flow at 700 °C for 30 min (flow rate 25 mL/min) and cooled to 50 °C. Then, the samples were treated in He + 1% CO2 or He + 1% O2 flow (flow rate 25 mL/min). After reaching the steady state, the gas mixture feed was switched to another one with the same composition but containing an 18O label. The samples were heated from 50 to 700 °C with a ramp of 5 °C/min. The gas phase composition in the outlet was monitored by UGA 200 mass spectrometer (Stanford Research Systems, USA). The responses of 18O atomic fraction (α) and C16O18O (or 16O18O) molecular fraction (f16–18) were analyzed in order to calculate values of oxygen tracer diffusion coefficient (Do) and surface heteroexchange rate (R) [27].
Redox properties of samples pretreated in O2 at 500 °C were studied by the temperature-programmed reduction by H2 (H2-TPR) with the temperature ramp 10°/min from 60 to 900 °C using 10% H2 in Ar mixture and GC Tsvet 500 (Russia) to record hydrogen content following the earlier described procedure [26,27,28].

2.3. Catalytic Tests

The catalyst weight was placed into a quartz reactor (a tube of 4 mm i.d.) mounted inside a furnace. A thermocouple was placed into the annular space between the reactor and the furnace. This thermocouple was mounted in close contact with the quartz reactor to minimize the temperature difference between the catalyst bed and the thermocouple. In order to improve the isothermicity of the catalyst bed, the catalyst weight was diluted by half with quartz (0.5–0.25 mm fraction of both catalyst and quartz sand). Reactants and products concentrations were measured on-line with a Test-201 (Bonair, Russia) gas analyzer equipped with IR absorbance, electrochemical, and polarographic sensors.
Before reaction, the catalysts were pretreated in 10 vol % O2/N2 at 600 °C for 30 min and then in 5 vol% H2 at 600 °С for 1 h. The experiments with temperature variation were carried out in the temperature range 600–750–600 °С, the temperature was changed stepwise by 50 °C, and catalyst was kept at each temperature for 30 min, the contact time was 10 and 7.5 ms. The initial mixture was 15 vol % CH4 + 15 vol % CO2 + balance N2.
In addition to experiments for kinetics parameters (activation energy, reaction rate constant, reaction rate), evaluation was carried out at contact times 5, 7.5, 10, and 11.5 ms in the temperature range from 600 to 750 °C. In this case, the initial mixture was 7 vol % CH4 + 7 vol % CO2 + balance N2. The catalyst’s pretreatment before the reaction was the same as described earlier.
The reagent conversions and product yields were calculated as follows:
C o n v e r s i o n % = C 0 C C 0 100 %
Y i e l d % = 100 C i 2 C 0
where C0 and C are the initial and final reagent concentration, respectively (vol%), and Ci is the current product concentration (vol%).

3. Results and Discussions

3.1. Textural and Structural Propeties of Catalysts

Table 2 presents the values of specific surface area, pore volume, and size for the investigated samples. It was shown that the Ni introduction method influences the specific surface area (SSA). Thus, one-pot samples have a lower SSA and total pore volume.
For both preparation techniques, the addition of 0.1 atomic fraction of Ti leads to an increase of surface area. However, the surface area decreases with further increase of titanium amount. Effects of Ti+Nb introduction are different depending on the preparation method. The multimodal pore size distribution is observed almost for all samples [27,29]. There are micropores (d ≈ 4 nm), mesopores (d ≈ 8 nm) and macropores (60–124 nm). For one-pot samples, the volume of micropores is small or they are completely absent.
XRD patterns for impregnated samples (Figure 1a) and one-pot samples (Figure 1b) show that in both cases, reflections corresponding to the cubic fluorite lattice СeO2-ZrO2 (PDF 81–0792) and NiO phase (PDF 47–1049) are observed.
Particle sizes of fluorite phases in all studied samples are smaller than those of nickel oxide particles (Table 2). The incorporation of titanium and niobium cations leads to an increase in the lattice parameter of the fluorite phase, which is explained by the increase of anion vacancies content estimated by Rietveld refinement [26,28,29]. The specific surface area is more dependent on the pore size rather than the crystallite size. For one-pot samples, the pore volume is lower than for impregnated samples, so they have a lower surface area.
Figure 2a shows the typical microstructure of an NiCeTiNbZr-I sample calcined at 700 °C. It consists of small particles of oxide phase with fluorite structure and nanocrystalline (≈20 nm) spherical particles of the nickel oxide phase, which are partially decorated with an oxide support indicating strong interaction between the support and NiO, promoting dispersed metal particles after reduction. It plays an important role for catalytic performance, since the conversion of methane occurs mainly on the surface of metal particles and the metal–support interface [29]. Figure 2c shows a micrograph of the NiCeTiNbZr-O sample, consisting of incoherently intergrown fluorite particles 10–20 nm in size; no nickel oxide particles were detected by HRTEM. According to HAADF-STEM data (Figure 3), cerium, zirconium, titanium, and niobium cations are uniformly distributed throughout the catalyst volume, while supported nickel oxide particles are segregated, and their agglomerates are distributed over the surface of the fluorite phase.
Figure 2b,d presents images of catalysts after tests in methane dry reforming. It should be noted that the surface of sample prepared by impregnation is covered by loose carbon layers, and there are also carbon filaments on a larger scale image (not shown for brevity). At the same time, for the one-pot sample, no carbon deposits are observed.

3.2. Catalyst Activation in Hydrogen

It is well known that after preparation, the catalysts of the MDR reaction should be activated in hydrogen to achieve a higher catalytic activity and stability of operation [26]. During activation in hydrogen, as well as in the flow of the MDR reaction mixture, nickel oxide is reduced to metal nickel and Ce4+ is reduced to Ce3+ at the surface and in the near-surface layers, resulting in oxygen vacancies formation. For example, according to XPS data (Table 3), during the reduction of samples of the same chemical composition, such as NiCeZr-I and NiCeZr-O, nickel and cerium are reduced, but metals oxidation states and their ratios strongly depend on the method of nickel introducing. Catalysts, both impregnated and “one-pot”, undergo similar surface changes during reduction: the ratio of cerium to zirconium increases, the concentration of nickel decreases, and the content of cerium 3+ ions increases simultaneously with an increase in oxygen vacancies concentration. There are also certain differences between impregnated and one-pot catalysts; the concentration of nickel on the surface of one-pot catalyst is about twice as low. Apparently, this is associated with a more uniform distribution of nickel both over the surface and in the bulk of the support.
During reduction treatment, a disordering of the oxide lattice with substoichiometric oxygen concentration can take place. This leads to migration of the reduced oxide to the top of metal particles via interfaces between the metal and support, resulting in decoration/encapsulation of supported metal nanoparticles by oxide species [30].
Such decoration effect was shown in our work by electron microscopy for catalysts after tests in methane dry reforming. The decoration of Ni particles by oxide support leads to a decrease of Ni surface concentration according to XPS data (Table 3).
The Ce/Zr ratio is increased, since Ce4+ is reduced to Ce3+ with increasing its ionic radius, which provides its migration to the surface to reduce lattice distortions. Similar behavior was observed for Pr4+/Pr3+ cations in the work [31].
In the case of one-pot catalysts, Ni is added at the stage of mixed oxide preparation, so it is more uniformly distributed in the bulk of sample and less Ni is exposed to the surface. Apparently, the change of Ce/Zr ratio is also associated with Ni addition and its incorporation into mixed oxide lattice.
TPR profiles for similar impregnated catalysts have been presented previously [26], and here are TPR curves for a one-pot sample versus a similar one by composition obtained by impregnation (Figure 4). For TPR profiles of both NiCeTiNbZr catalysts, there are two peaks in the low-temperature region. The impregnated sample has a peak at Tmax = 357 °C, which can be associated with the reduction of NiO to Ni0 [32], while the second higher intensity peak at Tmax = 483 °C is associated with the reduction of NiO crystallites interacting with the modified ceria support. The TPR profile of the one-pot sample is slightly different; both low-temperature peaks are narrow and shifted toward each other having maximum temperatures of 363 and 390 °C. We suggest that the second low-temperature peak corresponds to a reduction of NiO crystallites interacting with the support. This peak is shifted to low temperatures, thus implying that the metal–support interaction is less strong in comparison with the impregnated sample [31]. Indeed, according to Table 2, for the NiCeTiNbZr-O sample, the NiO crystallize size is larger than for NiCeTiNbZr-I, and the NiO particles could have a more uniform size distribution. The total amount of hydrogen spent for the samples’ reduction is approximately the same, suggesting that the amount and availability of nickel and cerium reduced by hydrogen are high enough for a sample synthesized by the one-pot method. The peak observed at 760 °C corresponds to the bulk Ce4+ reduction.

3.3. Catalysis Studies

3.3.1. Influence of Reduction Conditions on Catalytic Properties

The isothermal experiments were carried out over impregnated NiCeTiNbZr-I as the most stable sample among the impregnated ones to check the changing of catalytic properties depending on reduction conditions. Here, the reduction temperature and time were varied, as shown in Figure 5a–e, illustrating dependences of reagents conversions, product yields, and H2/CO ratio on time on stream. As can be seen, the conditions of preliminary reduction do not significantly affect the catalytic activity and stability. It has been shown that the reduction even at 450 °C makes it possible to achieve a high catalytic activity. As can be seen from the TPR curve (Figure 4), at a given temperature, the reduction of nickel particles responsible for the activation of methane molecules in the DRM process most likely occurs. Reduction at 700 °C led to a slight decrease in catalytic activity; therefore, before the catalytic experiments, all catalysts were pretreated in a stream of hydrogen at 600 °C for 1 h.

3.3.2. General Kinetic Patterns

This part considers kinetic investigations of the methane dry-reforming process over prepared catalysts at different temperatures. Figure 6, Figure 7, Figure 8 show the dependences of CH4 and CO2 conversions, CO and H2 yields, and H2/CO ratio on temperatures and reaction time for impregnated samples.
Conversions of methane and CO2 (Figure 6) increase at temperature growth; however, the NiCeZr-I sample demonstrates a more moderate increase in conversion with increasing temperature in comparison with other samples. The maximum reagents conversion at 750 °C increased in the following order of impregnated catalysts: NiCeTi0.1Zr-I < NiCeZr-I < NiCeTi0.2Zr-I < NiCeTiNbZr-I. The highest hydrogen yield among the studied samples was observed for the NiCeTiNbZr-I composition and reached 30% at 700 °C and had a short contact time (Figure 7). The lowest hydrogen yield was shown during MDR reaction over the NiCeTi0.1Zr-I composition. The highest methane conversion (Figure 6) and H2/CO ratio (Figure 8) were found for NiCeTiNbZr-I catalyst, for which a decreased contribution of the side reverse water gas shift reaction [2] is apparent.
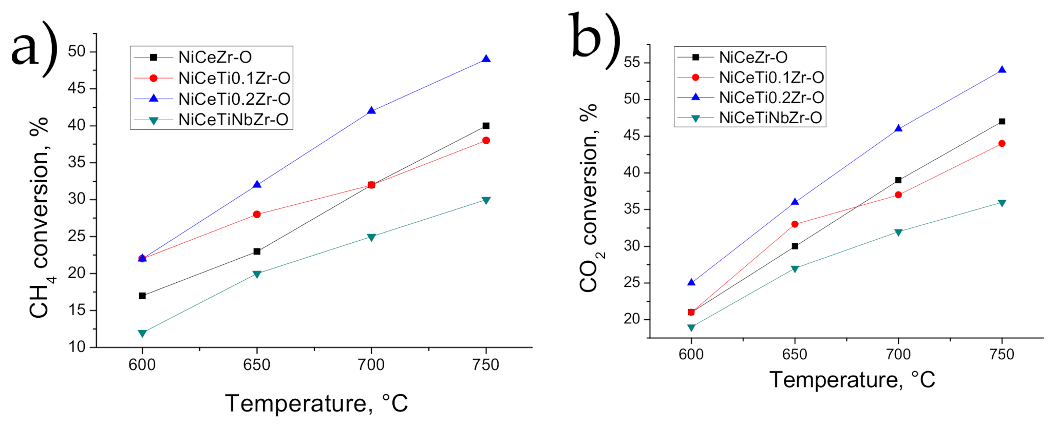
The dependences of CH4 and CO2 conversions and CO and H2 yields for one-pot samples are shown in Figure 9 and Figure 10, respectively. In comparison with the impregnated samples, there is a difference in the order of samples activity. The maximum reagents conversion at 750 °C increased in the series of one-pot catalysts in the following order: NiCeTiNbZr-O < NiCeTi0.1Zr-O < NiCeZr-O < NiCeTi0.2Zr-O. Reagent conversions, yields of MDR reaction products, and the ratio of hydrogen to carbon monoxide (Figure 11) increase with increasing temperature similar to the case of impregnated samples series.
As can be seen from Figure 12, the method of catalysts preparation rather moderately affects their activity in the MDR reaction, especially for the case of undoped or slightly doped supports. However, it can be seen that the activity of the “one-pot” samples in each pair of catalysts is lower than that for the impregnated samples of the same chemical composition. This may be due to the fact that after reduction, a part of nickel remains inside of the oxide support matrix being not available for reagents. However, the differences in methane conversion between “one-pot” and impregnated samples are small, and this simple and fast method for preparing catalysts can be an attractive alternative to existing methods. The highest conversion among studied samples is obtained using the catalyst with a titanium content of 0.2 atomic fraction.

3.3.3. Calculations of Kinetic Characteristics of MDR

Earlier, it was shown [33] that the reaction of MDR has the 1st order on methane concentration. Thus, the calculation of the initial reaction rate was carried out in the following way (differential equation):
W = d C d t = k e f f C
The integral equation is shown as follows:
l n C 0 C = k e f f τ
where keff is the effective reaction rate constant at Т = 700 °С, s−1, τ—contact time, s; C0 and C—initial and final CH4 concentration, respectively (vol%).
In its turn, keff is calculated by the formula:
k e f f = l n 1 X C H 4 τ
where XCH4 is СН4 conversion at Т = 700 °С, vol%, and τ is contact time.
Next, effective activation energy was estimated using the Arrhenius formula:
ln k = ln k 0 E a R T
TOF was calculated as ratio of the initial reaction rate W0 (mol L−1 s−1) to catalyst bulk density 𝜌 (g/L) and number of moles of adsorbed hydrogen NH (mol/g Cat):
T O F = W 0 ρ N H
The measurements were made in the conditions described in Section 2.3. The typical kinetic curves are presented in Figure 13. The obtained data are well linearized in the coordinates lnС–contact time, which confirms the first order in methane. With an increase in the contact time, the MDR reaction rate increases, and to compare the specific catalytic activity, a temperature of 700 °C was chosen. Table 4 accumulates calculated kinetic data for the chosen catalysts.
Thus, it was shown that the modification of mixed oxide by Ti and Nb leads to a change in catalytic activity due to the change in the real defect structure of oxide support. For NiCeZr, NiCeTi0.1Zr, and NiCeTi0.2Zr, the dependence of the method of Ni introduction on the specific catalytic activity is not observed. The activation energy of MDR over impregnated samples is generally lower than that over one-pot samples. The specific catalytic activity (TOF) of the “one-pot” samples is quite close to that for the impregnated samples of the same chemical composition. TOF values (the specific catalytic activity related to the number of surface nickel atoms) do not strongly depend on the preparation method, but they do strongly depend on the composition of the oxide support, and the catalyst on the titanium and niobium-containing support is three times more active than that on the unmodified ceria–zirconia support. The introduction of titanium and niobium cations leads to a change in the microstructure of complex oxides and to the formation of a large number of defects, which significantly affects the catalytic activity.
The values of the oxygen diffusion coefficients (Do) and surface heteroexchange rate (R) obtained by the isotope exchange method, of the order of 10−15–10−14 cm2 s−1 and 10−3–10−2 s−1 at 700 °C, respectively, are high enough for efficient oxygen transport to the metal–support interface and contribute to a high value of catalytic activity and stability against catalyst coking. The diffusion coefficients exceed those for catalysts based on chromium–manganese spinels studied in our previous work [28]. Moreover, as can be seen, there is an inverse correlation between the values of the diffusion coefficients and the values of the specific catalytic activity (TOF). This may be due to the fact that the mobile oxygen of the support partially oxidizes the particles of metallic nickel, which leads to a slight decrease in catalytic activity due to a decrease in the ability of nickel to activate methane molecules. Since the activation of methane molecules occurs on the surface of metal particles, in addition to oxygen mobility, the catalytic activity is strongly influenced by the catalysts surface features, which in turn strongly depends on the support composition and method of nickel introduction. The decoration of nickel particles with support shown by electron microscopy can also result in limited availability of nickel and a decrease in catalytic activity. Optimization of the properties of the support and the balance between the oxygen mobility of the support and resistance to coking may be a topic for further research.

4. Conclusions

Ni-containing catalysts based on ceria–zirconia also modified with Ti and Nb+Ti were prepared in supercritical conditions. All oxide support samples have a cubic fluorite lattice with uniform spatial distribution of cations. The catalytic experiments were carried out with varying temperature and contact time. It was shown that the catalytic activity depends on the support composition and method of Ni introduction. Thus, NiCeTiNbZr-I is the most stable and active among impregnated samples, and the most active among the “one-pot” samples is NiCeTi0.2Zr-O. It was shown that reduction conditions did not influence significantly the catalytic properties of systems. Kinetic regularities were investigated, and the effective activation energy of MDR over impregnated samples is shown to be lower that than for one-pot series. It has been shown that the turnover frequency (TOF) increases threefold upon the incorporation of titanium and niobium cations. The “one-pot” catalysts preparation method in supercritical media is promising due to the speed of preparation and ease of up-scaling. An inverse correlation between the values of the oxygen diffusion coefficients and the values of the specific catalytic activity was observed. This fact could be explained by partial oxidation of metallic nickel particles and by the effects of nickel metal particles decoration with a modified oxide support.

Author Contributions

Conceptualization, M.S.; methodology, M.S.; validation, M.S. and V.S.; formal analysis, E.S. (Ekaterina Sadovskaya); investigation, N.E., A.I., E.S. (Ekaterina Smal), T.K., V.F., K.V. and Y.B.; data curation, M.S.; writing—original draft preparation, V.F.; writing—review and editing, M.S. and V.S.; supervision, M.S. and V.S.; project administration, M.S.; funding acquisition, M.S. All authors have read and agreed to the published version of the manuscript.

Funding

This research was funded by Russian Science Foundation, grant number 18-73-10167.

Acknowledgments

The research was done using equipment of Shared Knowledge Center “National Center of Catalyst Research” (Boreskov Institute of Catalysis SB RAS).

Conflicts of Interest

The authors declare no conflict of interest.

References

  1. Zhao, X.; Joseph, B.; Kuhn, J.; Ozcan, S. Biogas Reforming to Syngas: A Review. iScience 2020, 23, 101082. [Google Scholar] [CrossRef] [PubMed]
  2. Jang, W.-J.; Shim, J.-O.; Kim, H.-M.; Yoo, S.-Y.; Roh, H.-S. A review on dry reforming of methane in aspect of catalytic properties. Catal. Today 2019, 324, 15–26. [Google Scholar] [CrossRef]
  3. Wang, Y.; Yao, L.; Wang, S.; Mao, D.; Hu, C. Low-temperature catalytic CO2 dry reforming of methane on Ni-based catalysts: A review. Fuel Process. Technol. 2018, 169, 199–206. [Google Scholar] [CrossRef]
  4. Shin, S.A.; Noh, Y.S.; Hong, G.H.; Park, J.I.; Song, H.T.; Lee, K.-Y.; Moon, D.J. Dry reforming of methane over Ni/ZrO2-Al2O3 catalysts: Effect of preparation methods. J. Taiwan Inst. Chem. Eng. 2018, 90, 25–32. [Google Scholar] [CrossRef]
  5. Moradi, G.; Khezeli, F.; Hemmati, H. Syngas production with dry reforming of methane over Ni/ZSM-5 catalysts. J. Nat. Gas Sci. Eng. 2016, 33, 657–665. [Google Scholar] [CrossRef]
  6. Damyanova, S.; Pawelec, B.; Arishtirova, K.; Fierro, J. Ni-based catalysts for reforming of methane with CO2. Int. J. Hydrog. Energy 2012, 37, 15966–15975. [Google Scholar] [CrossRef]
  7. Singha, R.K.; Yadav, A.; Shukla, А.; Kumar, М.; Bal, R. Low temperature dry reforming of methane over Pd-CeO2 nanocatalyst. Catal. Commun. 2017, 92, 19–22. [Google Scholar] [CrossRef]
  8. Luisetto, I.; Tuti, S.; Romano, C.; Boaro, M.; Di Bartolomeo, E.; Kesavan, J.K.; Kumar, S.S.; Selvakumar, K. Dry reforming of methane over Ni supported on doped CeO2: New insight on the role of dopants for CO2 activation. J. CO2 Util. 2019, 30, 63–78. [Google Scholar] [CrossRef]
  9. Kambolis, A.; Matralis, H.; Trovarelli, A.; Papadopoulou, C. Ni/CeO2-ZrO2 catalysts for the dry reforming of methane. Appl. Catal. A Gen. 2010, 377, 16–26. [Google Scholar] [CrossRef]
  10. Radlik, М.; Adamowska-Teyssier, М.; Krzton´, А.; Kozieł, К.; Krajewski, W.; Turek, W.; Costa, P.D. Dry Reforming of methane over Ni/Ce0.62Zr0.38O2 catalysts: Effect of Ni loading on the catalytic activity and on H2/CO production. C. R. Chim. 2015, 18, 1242–1249. [Google Scholar] [CrossRef]
  11. Chen, J.; Wu, Q.; Zhang, J.; Zhang, J. Effect of preparation methods on structure and performance of Ni/Ce0.75Zr0.25O2 catalysts for CH4–CO2 reforming. Fuel 2008, 87, 2901–2907. [Google Scholar] [CrossRef]
  12. Kim, S.S.; Lee, S.M.; Won, J.M.; Yang, H.J.; Hong, S.C. Effect of Ce/Ti ratio on the catalytic activity and stability of Ni/CeO2–TiO2 catalyst for dry reforming of methane. Chem. Eng. J. 2015, 280, 433–440. [Google Scholar] [CrossRef]
  13. Yahya, E.A.; Zabidi, N.A.M.; Kait, C.F. A study on coke deposition in Ni-based catalysts for CO2 reforming of methane. AIP Conf. Proc. 2016, 1787, 030005. [Google Scholar] [CrossRef]
  14. Ghani, N.A.A.; Azapour, A.; Muhammad, A.F.S.; Abdullah, B. Dry reforming of methane for hydrogen production over Ni Co catalysts: Effect of Nb Zr promoters. Int. J. Hydrog. Energy 2019, 44, 20881–20888. [Google Scholar] [CrossRef]
  15. Ramírez-Cabrera, E.; Laosiripojana, N.; Atkinson, A.; Chadwick, D. Methane conversion over Nb-doped ceria. Catal. Today 2003, 78, 433–438. [Google Scholar] [CrossRef]
  16. Gopalakrishnan, S.; Faga, M.G.; Miletto, I.; Colucci, S.; Caputo, G.; Sau, S.; Giaconia, А.; Berlier, G. Unravelling the structure and reactivity of supported Ni particles in Ni-CeZrO2 catalysts. Appl. Catal. B Environ. 2013, 138–139, 353–361. [Google Scholar] [CrossRef]
  17. Inagaki, M.; Kato, E. Hydrothermal Synthesis and Sintering of Fine Powders in CeO2-ZrO2 System. J. Ceram. Soc. Jpn. 1996, 104, 958–962. [Google Scholar]
  18. Pietraszek, A.; Koubaissy, B.; Roger, A.-C.; Kiennemann, A. The influence of the support modification over Ni-based catalysts for dry reforming of methane reaction. Catal. Today 2011, 176, 267–271. [Google Scholar] [CrossRef]
  19. Horváth, A.; Stefler, G.; Geszti, O.; Kienneman, A.; Pietraszek, A.; Guczi, L. Methane dry reforming with CO2 on CeZr-oxide supported Ni, NiRh and NiCo catalysts prepared by sol–gel technique: Relationship between activity and coke formation. Catal. Today 2011, 169, 102–111. [Google Scholar] [CrossRef]
  20. Mastelaro, V.R.; Briois, V.; de Souza, D.P.; Silva, C.L. Structural studies of a ZrO2–CeO2 doped system. J. Eur. Ceram. Soc. 2003, 23, 273–282. [Google Scholar] [CrossRef]
  21. Slostowski, C.; Marre, S.; Babot, O.; Toupance, T.; Aymonier, C. Near- and Supercritical Alcohols as Solvents and Surface Modifiers for the Continuous Synthesis of Cerium Oxide Nanoparticles. Langmuir 2012, 28, 16656–16663. [Google Scholar] [CrossRef] [PubMed]
  22. Kim, J.-R.; Lee, K.-Y.; Suh, M.-J.; Ihm, S.-K. Ceria–zirconia mixed oxide prepared by continuous hydrothermal synthesis in supercritical water as catalyst support. Catal. Today 2012, 185, 25–34. [Google Scholar] [CrossRef]
  23. Slostowski, C.; Marre, S.; Babot, O.; Toupance, T.; Aymonier, C. Effect of Thermal Treatment on the Textural Properties of CeO2Powders Synthesized in Near- and Supercritical Alcohols. ChemPhysChem 2015, 16, 3493–3499. [Google Scholar] [CrossRef]
  24. Pavlova, S.; Smirnova, M.; Bobin, A.; Cherepanova, S.; Kaichev, V.; Ishchenko, A.; Selivanova, A.; Rogov, V.; Roger, A.-C.; Sadykov, V. Structural, Textural, and Catalytic Properties of Ni-CexZr1−xO2 Catalysts for Methane Dry Reforming Prepared by Continuous Synthesis in Supercritical Isopropanol. Energies 2020, 13, 3728. [Google Scholar] [CrossRef]
  25. Smirnova, M.; Pavlova, S.; Krieger, T.; Bespalko, Y.; Anikeev, V.; Chesalov, V.; Kaichev, V.; Mezentseva, N.; Sadykov, V. The Synthesis of Ce1−xZrxO2 Oxides in Supercritical Alcohols and Catalysts for Carbon Dioxide Reforming of Methane on Their Basis. Russ. J. Phys. Chem. B 2017, 11, 1312–1321. [Google Scholar]
  26. Simonov, M.; Bespalko, Y.; Smal, E.; Valeev, K.; Fedorova, V.; Krieger, T.; Sadykov, V. Nickel-Containing Ceria-Zirconia Doped with Ti and Nb. Effect of Support Composition and Preparation Method on Catalytic Activity in Methane Dry Reforming. Nanomaterials 2020, 10, 1281. [Google Scholar] [CrossRef]
  27. Smal, E.; Simonov, M.; Mezentseva, N.; Krieger, T.; Larina, T.; Saraev, A.; Glazneva, T.; Ishchenko, A.; Rogov, V.; Eremeev, N.; et al. Spinel-type MnxCr3-xO4-based catalysts for ethanol steam reforming. Appl. Catal. B Environ. 2021, 283, 119656. [Google Scholar] [CrossRef]
  28. Bespalko, Y.; Smal, E.; Simonov, M.; Valeev, K.; Fedorova, V.; Krieger, T.; Cherepanova, S.; Ishchenko, A.; Rogov, V.; Sadykov, V. Novel Ni/Ce(Ti)ZrO2 Catalysts for Methane Dry Reforming Prepared in Supercritical Alcohol Media. Energies 2020, 13, 3365. [Google Scholar] [CrossRef]
  29. Sadykov, V.A.; Simonov, M.N.; Mezentseva, N.V.; Pavlova, S.N.; Fedorova, Y.E.; Bobin, A.S.; Bespalko, Y.N.; Ishchenko, A.V.; Krieger, T.A.; Glazneva, T.S.; et al. Ni-loaded nanocrystalline ceria-zirconia solid solutions prepared via modified Pechini route as stable to coking catalysts of CH4 dry reforming. Open Chem. 2016, 14, 363–376. [Google Scholar] [CrossRef]
  30. Li, M.; van Veen, A.C. Tuning the catalytic performance of Ni-catalysed dry reforming of methane and carbon deposition via Ni-CeO2-x interaction. Appl. Catal. B 2018, 237, 641–648. [Google Scholar] [CrossRef]
  31. Borchert, H.; Frolova, Y.V.; Kaichev, V.V.; Prosvirin, I.; Alikina, G.M.; Lukashevich, A.I.; Zaikovskii, V.I.; Moroz, E.M.; Trukhan, S.N.; Ivanov, V.P.; et al. Electronic and Chemical Properties of Nanostructured Cerium Dioxide Doped with Praseodymium. J. Phys. Chem. B 2005, 109, 5728–5738. [Google Scholar] [CrossRef] [PubMed]
  32. Montoya, J.; Romero-Pascual, E.; Gimon, C.; Del Angel, P.; Monzón, A. Methane reforming with CO2 over Ni/ZrO2–CeO2 catalysts prepared by sol–gel. Catal. Today 2000, 63, 71–85. [Google Scholar] [CrossRef]
  33. Akpan, E.; Sun, Y.; Kumar, P.; Ibrahim, H.; Aboudheir, А.; Idem, R. Kinetics, experimental and reactor modeling studies of the carbon dioxide reforming of methane (CDRM) over a new Ni/CeO2–ZrO2 catalyst in a packed bed tubular reactor. Chem. Eng. Sci. 2007, 62, 4012–4024. [Google Scholar] [CrossRef]
Figure 1. X-ray diffraction patterns obtained for impregnated (a) and one-pot (b) samples.
Figure 1. X-ray diffraction patterns obtained for impregnated (a) and one-pot (b) samples.
Energies 14 02973 g001
Figure 2. HRTEM images of composition NiCeTiNbZr prepared by impregnation (a,b) and one-pot synthesis (c,d) before (left column) and after (right column) tests in methane dry reforming. F denotes the fluorite phase, NiO denotes the nickel oxide phase; the corresponding interplanar distances are shown in the images.
Figure 2. HRTEM images of composition NiCeTiNbZr prepared by impregnation (a,b) and one-pot synthesis (c,d) before (left column) and after (right column) tests in methane dry reforming. F denotes the fluorite phase, NiO denotes the nickel oxide phase; the corresponding interplanar distances are shown in the images.
Energies 14 02973 g002
Figure 3. HAADF-STEM image with EDX analysis of NiCeTiNbZr-I catalyst.
Figure 3. HAADF-STEM image with EDX analysis of NiCeTiNbZr-I catalyst.
Energies 14 02973 g003
Figure 4. H2–TPR curves obtained for impregnated and one-pot NiCeTiNbZr samples.
Figure 4. H2–TPR curves obtained for impregnated and one-pot NiCeTiNbZr samples.
Energies 14 02973 g004
Figure 5. The effect of NiCeTiNbZr-I sample reduction conditions (given in insets) on (a) CH4 conversion, (b) CO2 conversion, (c) CO yield, (d) H2 yield, (e) H2/CO ratio. DRM reaction conditions: 700 °C, contact time 7.5 ms, initial reaction mixture 15% CH4 + 15% CO2 + N2 balance.
Figure 5. The effect of NiCeTiNbZr-I sample reduction conditions (given in insets) on (a) CH4 conversion, (b) CO2 conversion, (c) CO yield, (d) H2 yield, (e) H2/CO ratio. DRM reaction conditions: 700 °C, contact time 7.5 ms, initial reaction mixture 15% CH4 + 15% CO2 + N2 balance.
Energies 14 02973 g005aEnergies 14 02973 g005b
Figure 6. The dependences of (a) CH4 conversion and (b) CO2 conversion on temperature for impregnated samples. Feed 15% CH4 + 15% CO2 + N2 balance, contact time 10 ms.
Figure 6. The dependences of (a) CH4 conversion and (b) CO2 conversion on temperature for impregnated samples. Feed 15% CH4 + 15% CO2 + N2 balance, contact time 10 ms.
Energies 14 02973 g006
Figure 7. The dependences of (a) CO yield and (b) H2 yield on temperature for impregnated samples. Feed 15% CH4 + 15% CO2 + N2 balance, contact time 10ms.
Figure 7. The dependences of (a) CO yield and (b) H2 yield on temperature for impregnated samples. Feed 15% CH4 + 15% CO2 + N2 balance, contact time 10ms.
Energies 14 02973 g007
Figure 8. The dependences of H2/CO ratio on temperature for impregnated samples. Feed 15% CH4 + 15% CO2 + N2 balance, contact time 10 ms.
Figure 8. The dependences of H2/CO ratio on temperature for impregnated samples. Feed 15% CH4 + 15% CO2 + N2 balance, contact time 10 ms.
Energies 14 02973 g008
Figure 9. The dependences of (a) CH4 conversion and (b) CO2 conversion on temperature for one-pot samples. Feed 15% CH4 + 15% CO2 + N2 balance, contact time 10 ms.
Figure 9. The dependences of (a) CH4 conversion and (b) CO2 conversion on temperature for one-pot samples. Feed 15% CH4 + 15% CO2 + N2 balance, contact time 10 ms.
Energies 14 02973 g009
Figure 10. The dependences of (a) CO yield and (b) H2 yield on temperature for one-pot samples. Feed 15% CH4 + 15% CO2 + N2 balance, contact time 10 ms.
Figure 10. The dependences of (a) CO yield and (b) H2 yield on temperature for one-pot samples. Feed 15% CH4 + 15% CO2 + N2 balance, contact time 10 ms.
Energies 14 02973 g010
Figure 11. The dependences of H2/CO ratio on temperature for one-pot samples. Feed 15% CH4 + 15% CO2 + N2 balance, contact time 10 ms.
Figure 11. The dependences of H2/CO ratio on temperature for one-pot samples. Feed 15% CH4 + 15% CO2 + N2 balance, contact time 10 ms.
Energies 14 02973 g011
Figure 12. The dependences of CH4 conversion on Ni introduction method at 650 °C. Feed 15% CH4 + 15% CO2 + N2 balance, contact time 10 ms.
Figure 12. The dependences of CH4 conversion on Ni introduction method at 650 °C. Feed 15% CH4 + 15% CO2 + N2 balance, contact time 10 ms.
Energies 14 02973 g012
Figure 13. The dependences of logarithm of methane concentrations ratio on contact time at different temperatures for (a) NiCeZr-I, (b) NiCeTiNbZr-I, and (c) NiCeTiNbZr-O samples.
Figure 13. The dependences of logarithm of methane concentrations ratio on contact time at different temperatures for (a) NiCeZr-I, (b) NiCeTiNbZr-I, and (c) NiCeTiNbZr-O samples.
Energies 14 02973 g013aEnergies 14 02973 g013b
Table 1. The list of prepared catalysts.
Table 1. The list of prepared catalysts.
CompositionMethod of Ni AdditionCode
5 wt % Ni/Ce0.75Zr0.25O2ImpregnationNiCeZr-I
One-potNiCeZr-O
5 wt % Ni/Ce0.75Ti0.1Zr0.15O2ImpregnationNiCeTi0.1Zr-I
One-potNiCeTi0.1Zr-O
5 wt % Ni/Ce0.75Ti0.2Zr0.05O2ImpregnationNiCeTi0.2Zr-I
One-potNiCeTi0.2Zr-O
5 wt % Ni/Ce0.75Ti0.05Nb0.05Zr0.15O2ImpregnationNiCeTiNbZr-I
One-potNiCeTiNbZr-O
Table 2. Textural and structural properties of prepared catalysts.
Table 2. Textural and structural properties of prepared catalysts.
CodeSBET,
m2g−1
Vtotal,
cm3g−1
d pore 1,
nm
Crystallite Size,
nm
Lattice Parameter 2,
Å
FluoriteNiO
NiCeZr-I210.1443.7
92.4
9.4305.368 (1)
NiCeTi0.1Zr-I230.1844.3
123.8
10.4205.379 (1)
NiCeTi0.2Zr-I160.1869.9
92.3
11.5185.392 (1)
NiCeTiNbZr-I260.1848.5
74
14.5245.392 (1)
NiCeZr-O130.12659.28.9195.371 (1)
NiCeTi0.1Zr-O160.1433.9
59.3
8.5135.376 (1)
NiCeTi0.2Zr-O110.1023.9
92.6
8.5155.393 (1)
NiCeTiNbZr-O110.15792.613905.385 (1)
1 The maximum of pore size distribution; 2 Lattice parameter of fluorite phase.
Table 3. XPS data of NiCeZr samples prepared by impregnation and one-pot methods.
Table 3. XPS data of NiCeZr samples prepared by impregnation and one-pot methods.
SampleH2 Treatment[Ce]/[Zr][Ni] *[O] *Ce4+, %Ce3+, %
NiCeZr-INo2.700.352.948020
Yes4.180.151.635050
NiCeZr-ONo3.850.152.868020
Yes6.560.081.746040
* the ratio is normalized to [Ce]+[Zr].
Table 4. Kinetic parameters for investigated catalysts.
Table 4. Kinetic parameters for investigated catalysts.
Codekeff
(700 °С), s−1
W0, mol L−1 s−1Ea, kJ/molTOF, s−1 [27]Do,
10−15 cm2 s−1
R,
10−3 s−1
NiCeZr-I460.3054 ± 72.97.1-
NiCeZr-O510.3279 ± 202.41327
NiCeTi0.1Zr-I380.24-3.43.2-
NiCeTiNbZr-I640.4178 ± 49.01.7-
NiCeTiNbZr-O380.13183 ± 162.67.86.2
Publisher’s Note: MDPI stays neutral with regard to jurisdictional claims in published maps and institutional affiliations.

Share and Cite

MDPI and ACS Style

Fedorova, V.; Simonov, M.; Valeev, K.; Bespalko, Y.; Smal, E.; Eremeev, N.; Sadovskaya, E.; Krieger, T.; Ishchenko, A.; Sadykov, V. Kinetic Regularities of Methane Dry Reforming Reaction on Nickel-Containing Modified Ceria–Zirconia. Energies 2021, 14, 2973. https://doi.org/10.3390/en14102973

AMA Style

Fedorova V, Simonov M, Valeev K, Bespalko Y, Smal E, Eremeev N, Sadovskaya E, Krieger T, Ishchenko A, Sadykov V. Kinetic Regularities of Methane Dry Reforming Reaction on Nickel-Containing Modified Ceria–Zirconia. Energies. 2021; 14(10):2973. https://doi.org/10.3390/en14102973

Chicago/Turabian Style

Fedorova, Valeria, Mikhail Simonov, Konstantin Valeev, Yuliya Bespalko, Ekaterina Smal, Nikita Eremeev, Ekaterina Sadovskaya, Tamara Krieger, Arcady Ishchenko, and Vladislav Sadykov. 2021. "Kinetic Regularities of Methane Dry Reforming Reaction on Nickel-Containing Modified Ceria–Zirconia" Energies 14, no. 10: 2973. https://doi.org/10.3390/en14102973

APA Style

Fedorova, V., Simonov, M., Valeev, K., Bespalko, Y., Smal, E., Eremeev, N., Sadovskaya, E., Krieger, T., Ishchenko, A., & Sadykov, V. (2021). Kinetic Regularities of Methane Dry Reforming Reaction on Nickel-Containing Modified Ceria–Zirconia. Energies, 14(10), 2973. https://doi.org/10.3390/en14102973

Note that from the first issue of 2016, this journal uses article numbers instead of page numbers. See further details here.

Article Metrics

Back to TopTop