Enhancement of Continuous-Feed Low-Cost Solar Distiller: Effects of Various Fin Designs
Abstract
:1. Introduction
2. Experimental Setup
3. Results and Discussion
3.1. Experimental Solar Power
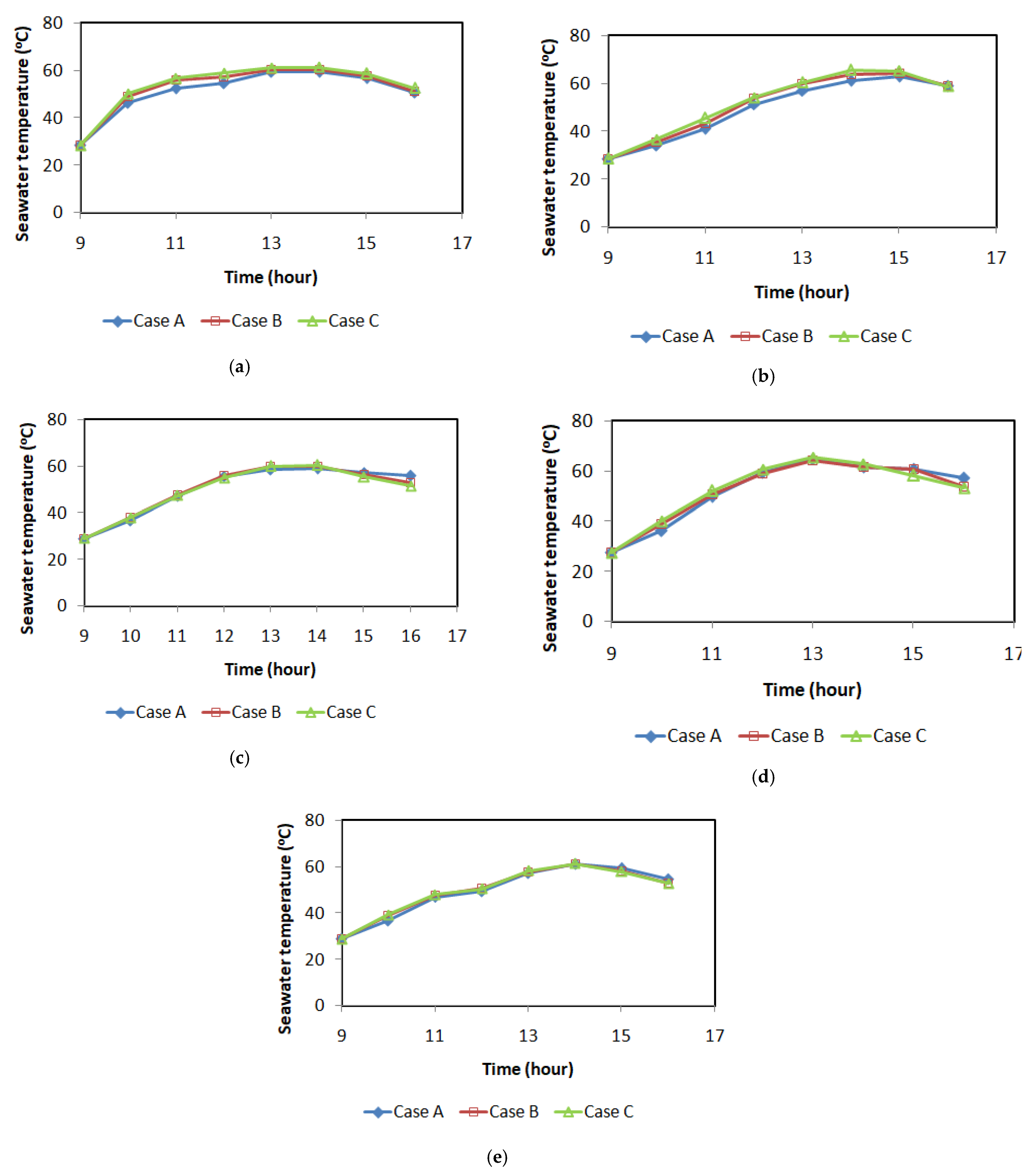
3.2. Temperature
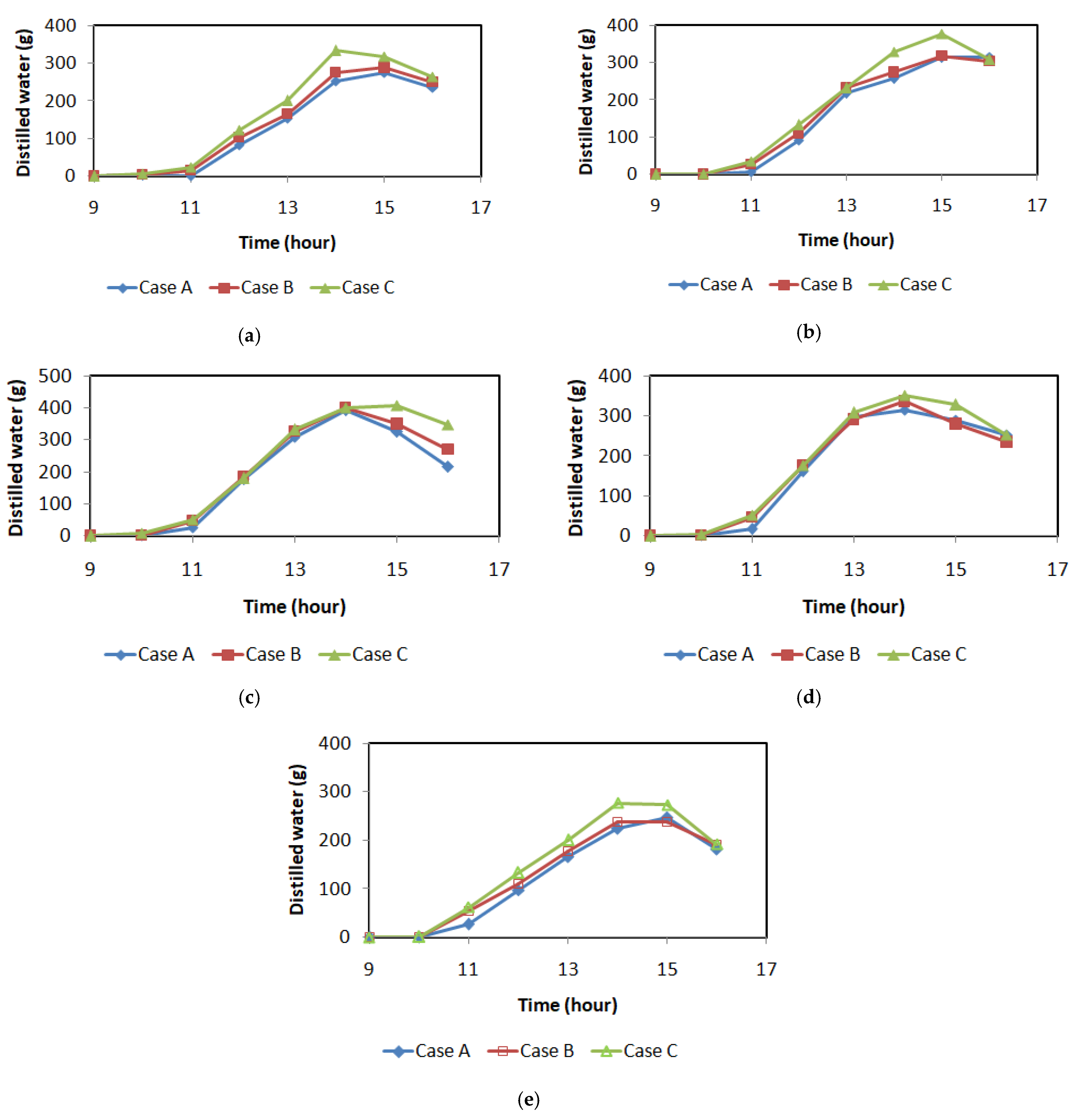
3.3. Distilled Water Production
3.4. Sensible and Latent Heat
3.5. Efficiency
3.6. Comparison with Prediction
4. Conclusions
Author Contributions
Funding
Data Availability Statement
Acknowledgments
Conflicts of Interest
References
- Mirmanto, M.; Wirawan, M.; Sayoga, I.M.A.; Syahrul, S.; Faisal, M.; Abdullah, A. Effect of absorber types of conventional distillers on the amount of distilled water production. Front. Heat Mass Transf. 2019, 13, 1–7. [Google Scholar] [CrossRef]
- Badran, O.O. Experimental study of the enhancement parameters on a single slope solar still productivity. Desalination 2007, 209, 136–143. [Google Scholar] [CrossRef]
- Mahallawy, N.E.; Aref, F.A.; Abd-Elhady, M.S. Effect of metallic reflectors and surface characteristics on the productivity rate of water desalination systems. Therm. Sci. Eng. Prog. 2020, 17, 100489. [Google Scholar] [CrossRef]
- Alnaimat, F.; Klausner, J.F. Enhanced performance of solar diffusion driven desalination. ASME J. Therm. Sci. Eng. Appl. 2013, 5, 041001. [Google Scholar] [CrossRef]
- Leijon, J.; Forslund, J.; Thomas, K.; Boström, C. Marine current energy converters to power a reverse osmosis desalination plant. Energies 2018, 11, 2880. [Google Scholar] [CrossRef] [Green Version]
- Lacroix, C.; Muzet, M.P.; Stitou, D. Dynamic modeling and preliminary performance analysis of a new solar thermal reverse osmosis desalination process. Energies 2019, 12, 4015. [Google Scholar] [CrossRef] [Green Version]
- Takeshita, S.; Farzaneh, H.; Dashti, M. Life-cycle assessment of the waste water treatment technologies in Indonesia’s fish-processing industry. Energies 2020, 13, 6591. [Google Scholar] [CrossRef]
- Manchanda, H.; Kumar, M. Study of water desalination techniques and a review on active solar distillation methods. Environ. Prog. Sustain. Energy 2017, 37, 444–464. [Google Scholar] [CrossRef]
- Cappelletti, G.M. An experiment with a plastic solar still. Desalination 2002, 142, 221–227. [Google Scholar] [CrossRef]
- Aburideh, H.; Deliou, A.; Abbad, B.; Alaoui, F.; Tassalit, D.; Tigrine, Z. An experimental study of a solar still: Application on the sea water desalination of Fouka. Procedia Eng. 2012, 33, 475–484. [Google Scholar] [CrossRef] [Green Version]
- Zeroual, M.; Bouguettai, H.; Bechki, D.; Boughali, S.; Bouchekima, B.; Mahcene, H. Experimental investigation on a double-slope solar still with partially cooled condenser in the region of Ouargla (Algeria). Energy Procedia 2011, 6, 736–742. [Google Scholar] [CrossRef] [Green Version]
- Sifat, A.I.; Uddin, M.M. Water distillation method using solar power. In Proceedings of the International Conference on Mechanical Engineering and Renewable Energy 2015 (ICMERE2015), Chittagong, Bangladesh, 26–29 November 2015. [Google Scholar]
- Panchal, H.; Mevada, D.; Sadasivuni, K.K.; Essa, F.A.; Shanmugan, S.; Khalid, M. Experimental and water quality analysis of solar stills with vertical and inclined fins. Groundw. Sustain. Dev. 2020, 11, 100410. [Google Scholar] [CrossRef]
- Kaviti, A.K.; Naike, V.R.; Ram, A.S.; Kumari, A.A. Energy and exergy analysis of double slope solar still with aluminium truncated conic fins. Mater. Today Proc. 2021, 45, 5387–5394. [Google Scholar] [CrossRef]
- Ambarita, H. Study on the performance of natural vacuum desalination system using low grade heat source. Case Stud. Therm. Eng. 2016, 8, 346–358. [Google Scholar] [CrossRef] [Green Version]
- Kateshia, J.; Lakhera, V.J. Analysis of solar still integrated with phase change material and pin fins as absorbing material. J. Energy Storage 2021, 35, 102292. [Google Scholar] [CrossRef]
- Mohaisen, H.S.; Esfahani, J.A.; Ayani, M.B. Improvement in the performance and cost of passive solar stills using a finned wall/build in condenser: An experimental study. Renew. Energy 2021, 168, 170–180. [Google Scholar] [CrossRef]
- Abdelgaied, M.; Zakaria, Y.; Kabeel, A.E.; Essa, F.A. Improving the tubular still performance using square and circular hollow fins with phase change materials. J. Energy Storage 2021, 38, 102564. [Google Scholar] [CrossRef]
- Duffie, J.A.; Beckman, W.A. Solar Engineering of Thermal Processes, 4th ed.; John Wiley & Sons, Inc.: Hoboken, NJ, USA, 2013; ISBN 978-0-470-87366-3. [Google Scholar]
- Idi, B.Y.; De, D.K. Transmissivity of the glazing surface of a solar flat plate collector based on the metrological parameters of Yola, Nigeria. J. Am. Sci. 2011, 7, 639–643. [Google Scholar]
- Holman, J.P. Heat Transfer, 9th ed.; McGraw-Hill: Boston, MA, USA, 2002; ISBN 9780071226219. [Google Scholar]
- Incropera, F.; DeWitt, D.P.; Bergman, T.L.; Lavine, A.S. Fundamentals of Heat and Mass Transfer, 6th ed.; John Wiley & Sons, Inc.: Hoboken, NJ, USA, 2006; ISBN 978-0470-50196-2. [Google Scholar]
- Cengel, Y.A.; Boles, M.A. Thermodynamics: An Engineering Approach, 8th ed.; McGraw Hill Education: New York, NY, USA, 2014; ISBN 978-0073398174. [Google Scholar]
- Rajaseenivasan, T.; Murugavel, K.K. Theoretical and experimental investigation on double basin double slope solar still. Desalination 2013, 319, 25–32. [Google Scholar] [CrossRef]
- Kalaivani, S. Construction and Performance Analysis of a Single Slope and a Pyramid Cover Solar Still with Storage Media and Electrical Backup. Ph.D. Thesis, Avinashilingam Institute for Home Science and Higher Education for Women, Coimbatore, India, 2014. [Google Scholar]
- Gnanaraj, S.J.P.; Velmurugan, V. An experimental study on the efficacy of modifications in enhancing the performance of single basin double slope solar still. Desalination 2019, 467, 12–28. [Google Scholar] [CrossRef]
- Coleman, H.W.; Steele, W.G. Experimentation, Validation, and Uncertainty Analysis for Engineers, 3rd ed.; John Wiley & Sons, Inc.: Hoboken, NJ, USA, 2009. [Google Scholar]










| Parameter | Range of Measurement | Accuracy |
|---|---|---|
| Temperature, T | 27.23–68.33 °C | ±0.2 °C |
| Solar power, IT | 34.24–888.8 W/m2 | ±5% |
| Heat into absorber, qin | 34.4–919.7 W | ±43.4 W |
| Distilled water mass, ml | 0–1.727 kg | ±0.005 kg |
Publisher’s Note: MDPI stays neutral with regard to jurisdictional claims in published maps and institutional affiliations. |
© 2021 by the authors. Licensee MDPI, Basel, Switzerland. This article is an open access article distributed under the terms and conditions of the Creative Commons Attribution (CC BY) license (https://creativecommons.org/licenses/by/4.0/).
Share and Cite
Mirmanto; Sayoga, I.M.A.; Wijayanta, A.T.; Sasmito, A.P.; Aziz, M. Enhancement of Continuous-Feed Low-Cost Solar Distiller: Effects of Various Fin Designs. Energies 2021, 14, 4844. https://doi.org/10.3390/en14164844
Mirmanto, Sayoga IMA, Wijayanta AT, Sasmito AP, Aziz M. Enhancement of Continuous-Feed Low-Cost Solar Distiller: Effects of Various Fin Designs. Energies. 2021; 14(16):4844. https://doi.org/10.3390/en14164844
Chicago/Turabian StyleMirmanto, I Made Adi Sayoga, Agung Tri Wijayanta, Agus Pulung Sasmito, and Muhammad Aziz. 2021. "Enhancement of Continuous-Feed Low-Cost Solar Distiller: Effects of Various Fin Designs" Energies 14, no. 16: 4844. https://doi.org/10.3390/en14164844
APA StyleMirmanto, Sayoga, I. M. A., Wijayanta, A. T., Sasmito, A. P., & Aziz, M. (2021). Enhancement of Continuous-Feed Low-Cost Solar Distiller: Effects of Various Fin Designs. Energies, 14(16), 4844. https://doi.org/10.3390/en14164844

