Devolatilization of Residual Biomasses for Chemical Looping Gasification in Fluidized Beds Made Up of Oxygen-Carriers
Abstract
1. Introduction
2. Materials and Methods
2.1. Biomasses
2.2. Bed Materials
2.3. Devolatilization Experiments
2.4. Kinetic Parameters for Devolatilization in Fluidized Beds
3. Results
4. Discussion
4.1. Experimental Data
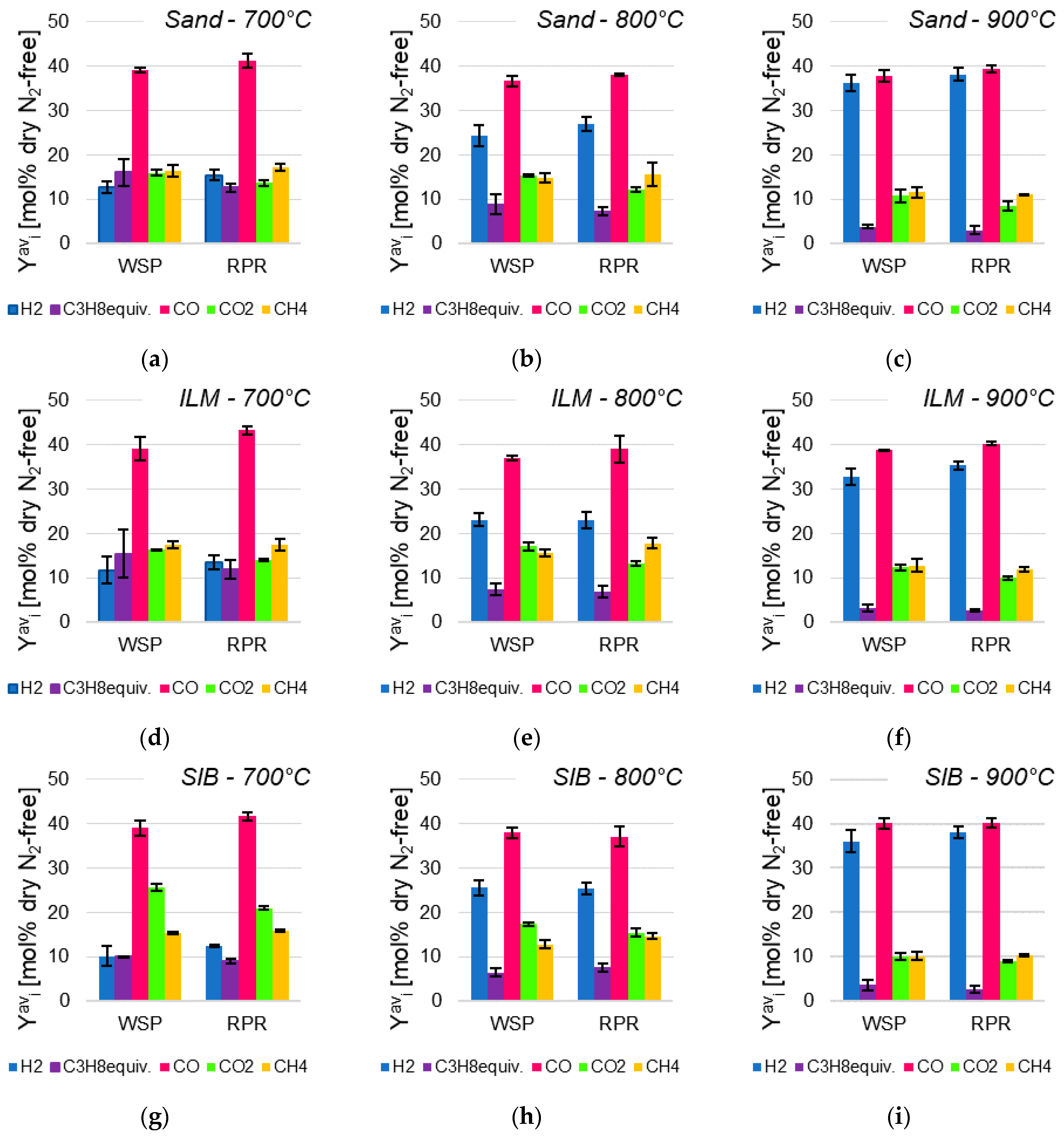
- C of WSP resulted as slightly more converted into gases than C of RPR, while all other performance parameters could be considered very close;
- in general, OCs incremented gas yield and carbon conversion in comparison to sand (the average values of the LD/RPR couple were lower than those of sand, but affected by a significative standard deviation);
- the values of the molar H2/CO ratio (close to or equaling 1) were promising, since this work dealt with devolatilizations: with steam as a gasifying agent in a CLG process, one would expect to get higher H2/CO ratios, closer to the target of 2, which is ideal for the Fischer-Tropsch synthesis hypothesized in the biomass-to-fuel chain of the CLARA project. In this specific regard, LD appeared as the most interesting OC, as it was the only one ensuring a molar H2/CO ratio higher than that of sand, with both WSP and RPR.
4.2. Kinetic Analysis
5. Conclusions
Author Contributions
Funding
Institutional Review Board Statement
Informed Consent Statement
Data Availability Statement
Acknowledgments
Conflicts of Interest
Appendix A
Appendix B
| Bed | T | ηav | λav | χavC | YavH2 | YavC3H8equiv | YavCO | YavCO2 | YavCH4 | ||||||||
|---|---|---|---|---|---|---|---|---|---|---|---|---|---|---|---|---|---|
| (°C) | (molgas gbiomass−1) | (molH2 molCO−1) | (%) | (mol% dry N2-free) | (mol% dry N2-free) | (mol% dry N2-free) | (mol% dry N2-free) | (mol% dry N2-free) | |||||||||
| av | stdev | av | stdev | av | stdev | av | stdev | av | stdev | av | stdev | av | stdev | av | stdev | ||
| sand | 700 | 0.017 | 0.002 | 0.32 | 0.03 | 58.8 | 2.1 | 12.6 | 1.3 | 16.0 | 3.1 | 39.1 | 0.4 | 15.9 | 0.7 | 16.3 | 1.3 | 
| 800 | 0.026 | 0.005 | 0.66 | 0.08 | 69.2 | 7.8 | 24.3 | 2.2 | 8.9 | 2.2 | 36.7 | 1.2 | 15.3 | 0.3 | 14.7 | 1.0 | |
| 900 | 0.035 | 0.001 | 0.96 | 0.02 | 72.9 | 1.3 | 36.3 | 1.8 | 3.7 | 0.4 | 37.7 | 1.3 | 10.7 | 1.5 | 11.5 | 1.3 | |
| ILM | 700 | 0.016 | 0.006 | 0.30 | 0.06 | 53.6 | 16.2 | 11.7 | 3.1 | 15.4 | 5.3 | 39.1 | 2.7 | 16.3 | 0.1 | 17.5 | 0.7 | 
| 800 | 0.021 | 0.003 | 0.62 | 0.03 | 56.9 | 5.9 | 23.1 | 1.5 | 7.3 | 1.2 | 37.0 | 0.6 | 17.0 | 1.0 | 15.5 | 0.8 | |
| 900 | 0.038 | 0.003 | 0.84 | 0.05 | 81.7 | 9.7 | 32.8 | 1.8 | 3.2 | 0.8 | 38.9 | 0.0 | 12.3 | 0.5 | 12.8 | 1.4 | |
| SIB | 700 | 0.017 | 0.001 | 0.26 | 0.07 | 55.5 | 2.9 | 10.1 | 2.2 | 9.9 | 0.2 | 39.0 | 1.8 | 25.6 | 0.7 | 15.3 | 0.3 | 
| 800 | 0.028 | 0.004 | 0.67 | 0.04 | 71.4 | 9.1 | 25.5 | 1.6 | 6.4 | 0.9 | 38.0 | 1.2 | 17.3 | 0.5 | 12.7 | 1.0 | |
| 900 | 0.040 | 0.003 | 0.90 | 0.07 | 82.2 | 4.1 | 36.1 | 2.6 | 3.6 | 1.1 | 40.1 | 1.1 | 10.1 | 0.80 | 10.1 | 1.0 | |
| LD | 700 | 0.018 | 0.002 | 0.44 | 0.08 | 55.5 | 4.9 | 13.3 | 1.7 | 10.2 | 0.9 | 30.6 | 1.6 | 30.1 | 0.7 | 15.7 | 1.0 | 
| 800 | 0.025 | 0.002 | 0.65 | 0.06 | 67.8 | 3.7 | 21.6 | 1.6 | 7.4 | 0.2 | 33.1 | 1.6 | 24.9 | 2.9 | 13.0 | 1.1 | |
| 900 | 0.042 | 0.000 | 1.03 | 0.03 | 80.7 | 2.55 | 39.8 | 1.7 | 2.9 | 0.5 | 38.6 | 0.4 | 9.1 | 1.0 | 9.6 | 0.9 | |
| Bed | T | ηav | λav | χavC | YavH2 | YavC3H8equiv | YavCO | YavCO2 | YavCH4 | ||||||||
|---|---|---|---|---|---|---|---|---|---|---|---|---|---|---|---|---|---|
| (°C) | (molgas gbiomass−1) | (molH2 molCO−1) | (%) | (mol% dry N2-free) | (mol% dry N2-free) | (mol% dry N2-free) | (mol% dry N2-free) | (mol% dry N2-free) | |||||||||
| av | stdev | av | stdev | av | stdev | av | stdev | av | stdev | av | stdev | av | stdev | av | stdev | ||
| sand | 700 | 0.019 | 0.001 | 0.37 | 0.04 | 54.0 | 0.4 | 15.4 | 1.2 | 12.5 | 0.9 | 41.2 | 1.6 | 13.7 | 0.6 | 17.2 | 0.7 | 
| 800 | 0.030 | 0.002 | 0.71 | 0.05 | 66.2 | 5.1 | 26.9 | 1.6 | 7.3 | 0.9 | 38.1 | 0.3 | 12.2 | 0.6 | 15.6 | 2.6 | |
| 900 | 0.039 | 0.005 | 0.97 | 0.02 | 67.4 | 4.8 | 38.2 | 1.4 | 2.9 | 0.9 | 39.4 | 0.8 | 8.4 | 1.1 | 11.0 | 0.1 | |
| ILM | 700 | 0.018 | 0.002 | 0.31 | 0.04 | 50.4 | 3.5 | 13.5 | 1.6 | 11.8 | 2.1 | 43.2 | 1.0 | 13.9 | 0.3 | 17.5 | 1.3 | 
| 800 | 0.025 | 0.003 | 0.59 | 0.09 | 57.2 | 6.2 | 23.0 | 1.8 | 6.9 | 1.3 | 39.1 | 3.0 | 13.3 | 0.5 | 17.7 | 1.2 | |
| 900 | 0.040 | 0.002 | 0.88 | 0.02 | 71.3 | 3.7 | 35.3 | 0.9 | 2.6 | 0.2 | 40.3 | 0.3 | 9.9 | 0.3 | 11.8 | 0.5 | |
| SIB | 700 | 0.019 | 0.000 | 0.30 | 0.01 | 51.0 | 0.7 | 12.4 | 0.2 | 9.1 | 0.5 | 41.7 | 0.8 | 21.0 | 0.5 | 15.9 | 0.2 | 
| 800 | 0.023 | 0.001 | 0.67 | 0.07 | 53.0 | 0.8 | 25.4 | 1.2 | 7.5 | 0.9 | 37.1 | 2.3 | 15.3 | 0.9 | 14.6 | 0.7 | |
| 900 | 0.041 | 0.002 | 0.95 | 0.05 | 70.2 | 4.7 | 38.0 | 1.3 | 2.6 | 0.7 | 40.2 | 1.0 | 8.9 | 0.3 | 10.3 | 0.4 | |
| LD | 700 | 0.018 | 0.002 | 0.42 | 0.07 | 48.3 | 3.7 | 13.1 | 1.1 | 10.9 | 2.0 | 31.2 | 2.4 | 30.5 | 4.6 | 14.2 | 1.2 | 
| 800 | 0.029 | 0.003 | 0.67 | 0.05 | 62.5 | 4.6 | 23.3 | 0.8 | 6.0 | 1.1 | 35.0 | 3.6 | 23.9 | 5.3 | 11.8 | 1.3 | |
| 900 | 0.036 | 0.008 | 1.04 | 0.07 | 63.1 | 12.8 | 38.8 | 1.784 | 4.3 | 1.1 | 37.2 | 2.2 | 9.5 | 1.0 | 10.2 | 1.3 | |
| Sand | ILM | SIB | LD | ||||||
|---|---|---|---|---|---|---|---|---|---|
| T | Pellet | kC | kH | kC | kH | kC | kH | kC | kH | 
| (°C) | [#] | (min−1) | (min−1) | (min−1) | (min−1) | (min−1) | (min−1) | (min−1) | (min−1) | 
| 700 | 1 | 0.338 | 0.205 | 0.454 | 0.288 | 0.472 | 0.230 | 0.389 | 0.232 | 
| 2 | 0.391 | 0.256 | 0.762 | 0.473 | 0.544 | 0.276 | 0.467 | 0.294 | |
| 3 | 0.372 | 0.248 | 0.501 | 0.322 | 0.558 | 0.313 | 0.400 | 0.255 | |
| 800 | 1 | 0.548 | 0.458 | 0.561 | 0.428 | 0.614 | 0.496 | 0.564 | 0.437 | 
| 2 | 0.501 | 0.397 | 0.652 | 0.526 | 0.653 | 0.583 | 0.576 | 0.398 | |
| 3 | 0.599 | 0.522 | 0.637 | 0.521 | 0.558 | 0.476 | 0.507 | 0.388 | |
| 900 | 1 | 0.539 | 0.577 | 1.137 | 1.050 | 0.683 | 0.791 | 0.752 | 1.040 | 
| 2 | 0.581 | 0.687 | 0.784 | 0.817 | 0.820 | 0.953 | 0.714 | 0.937 | |
| 3 | 0.505 | 0.557 | 0.957 | 0.998 | 0.927 | 1.100 | 0.687 | 0.894 | |
| Sand | ILM | SIB | LD | ||||||
|---|---|---|---|---|---|---|---|---|---|
| T | Pellet | kC | kH | kC | kH | kC | kH | kC | kH | 
| (°C) | [#] | (min−1) | (min−1) | (min−1) | (min−1) | (min−1) | (min−1) | (min−1) | (min−1) | 
| 700 | 1 | 0.337 | 0.243 | 0.472 | 0.324 | 0.493 | 0.299 | 0.357 | 0.243 | 
| 2 | 0.338 | 0.260 | 0.467 | 0.333 | 0.498 | 0.301 | 0.397 | 0.268 | |
| 3 | 0.340 | 0.259 | 0.499 | 0.348 | 0.451 | 0.276 | 0.351 | 0.233 | |
| 800 | 1 | 0.500 | 0.478 | 0.496 | 0.414 | 0.450 | 0.449 | 0.478 | 0.425 | 
| 2 | 0.484 | 0.476 | 0.505 | 0.542 | 0.434 | 0.396 | 0.538 | 0.430 | |
| 3 | 0.450 | 0.427 | 0.580 | 0.511 | 0.440 | 0.420 | 0.438 | 0.372 | |
| 900 | 1 | 0.480 | 0.598 | 0.741 | 0.851 | 0.711 | 0.986 | 0.395 | 0.542 | 
| 2 | 0.550 | 0.749 | 0.812 | 0.951 | 0.709 | 0.919 | 0.682 | 0.875 | |
| 3 | 0.450 | 0.549 | 0.755 | 0.908 | 0.625 | 0.839 | 0.851 | 1.182 | |
References
- Molino, A.; Larocca, V.; Chianese, S.; Musmarra, D. Biofuels Production by Biomass Gasification: A Review. Energies 2018, 11, 811. [Google Scholar] [CrossRef]
- Weber, G.; Di Giuliano, A.; Rauch, R.; Hofbauer, H. Developing a simulation model for a mixed alcohol synthesis reactor and validation of experimental data in IPSEpro. Fuel Process. Technol. 2016, 141, 167–176. [Google Scholar] [CrossRef]
- Groppi, G.; Tronconi, E.; Forzatti, P.; Berg, M. Mathematical modelling of catalytic combustors fuelled by gasified biomasses. Catal. Today 2000, 59, 151–162. [Google Scholar] [CrossRef]
- Zhang, Y.; Xiao, J.; Shen, L. Simulation of methanol production from biomass gasification in interconnected fluidized beds. Ind. Eng. Chem. Res. 2009, 48, 5351–5359. [Google Scholar] [CrossRef]
- European Union Directives. Directive 2009/28/EC of the European Parliament and of the Council of 23 April 2009 on the promotion of the use of energy from renewable sources and amending and subsequently repealing Directives 2001/77/EC and 2003/30/EC. Off. J. Eur. Union 2009, L140/16, 1–47. [Google Scholar]
- Congress of United States. Energy Independence and Security Act of 2007; Congress of United States: Washington, DC, USA, 2007; pp. 110–140.
- Obama, B. The irreversible momentum of clean energy. Science 2017, 355, 126–129. [Google Scholar] [CrossRef]
- Marris, E. Why young climate activists have captured the world’s attention. Nature 2019, 573, 471–472. [Google Scholar] [CrossRef]
- United Nations Paris Agreement, 21st Conf. Parties. Available online: https://treaties.un.org/doc/Treaties/2016/02/20160215%2006-0%20PM/Ch_XXVII-7-d.pdf (accessed on 30 October 2019).
- COP24 COP 24 Katowice 2018. Available online: https://cop24.gov.pl/ (accessed on 19 April 2019).
- CLARA Chemical Looping Gasification for Sustainable Production of Biofuels. Available online: https://clara-h2020.eu/ (accessed on 7 July 2020).
- Di Giuliano, A.; Funcia, I.; Pérez-Vega, R.; Gil, J.; Gallucci, K. Novel application of pretreatment and diagnostic method using dynamic pressure fluctuations to resolve and detect issues related to biogenic residue ash in chemical looping gasification. Processes 2020, 8, 1137. [Google Scholar] [CrossRef]
- Ge, H.; Guo, W.; Shen, L.; Song, T.; Xiao, J. Biomass gasification using chemical looping in a 25kWth reactor with natural hematite as oxygen carrier. Chem. Eng. J. 2016, 286, 174–183. [Google Scholar] [CrossRef]
- Higman, C.; van der Burgt, M. Gasification, 2nd ed.; Elsevier: Burlington, VT, USA, 2008; ISBN 9780750685283. [Google Scholar]
- Ohlemüller, P.; Ströhle, J.; Epple, B. Chemical looping combustion of hard coal and torrefied biomass in a 1 MWth pilot plant. Int. J. Greenh. Gas Control 2017, 65, 149–159. [Google Scholar] [CrossRef]
- Adanez, J.; Abad, A.; Garcia-Labiano, F.; Gayan, P.; De Diego, L.F. Progress in chemical-looping combustion and reforming technologies. Prog. Energy Combust. Sci. 2012, 38, 215–282. [Google Scholar] [CrossRef]
- Berguerand, N.; Lyngfelt, A. Design and operation of a 10 kWth chemical-looping combustor for solid fuels Testing with South African coal. Fuel 2008, 87, 2713–2726. [Google Scholar] [CrossRef]
- Leion, H.; Mattisson, T.; Lyngfelt, A. Solid fuels in chemical-looping combustion. Int. J. Greenh. Gas Control 2008, 2, 180–193. [Google Scholar] [CrossRef]
- Ströhle, J.; Orth, M.; Epple, B. Chemical looping combustion of hard coal in a 1 MWthpilot plant using ilmenite as oxygen carrier. Appl. Energy 2015, 157, 288–294. [Google Scholar] [CrossRef]
- Ge, H.; Guo, W.; Shen, L.; Song, T.; Xiao, J. Experimental investigation on biomass gasification using chemical looping in a batch reactor and a continuous dual reactor. Chem. Eng. J. 2016, 286, 689–700. [Google Scholar] [CrossRef]
- Wei, G.; He, F.; Huang, Z.; Zheng, A.; Zhao, K.; Li, H. Continuous operation of a 10 kWth chemical looping integrated fluidized bed reactor for gasifying biomass using an iron-based oxygen carrier. Energy Fuels 2015, 29, 233–241. [Google Scholar] [CrossRef]
- Huang, Z.; He, F.; Zhao, K.; Feng, Y.; Zheng, A.; Chang, S.; Zhao, Z.; Li, H. Natural iron ore as an oxygen carrier for biomass chemical looping gasification in a fluidized bed reactor. J. Anal. Calorim. 2014, 116, 1315–1324. [Google Scholar] [CrossRef]
- Huang, Z.; He, F.; Zhu, H.; Chen, D.; Zhao, K.; Wei, G.; Feng, Y.; Zheng, A.; Zhao, Z.; Li, H. Thermodynamic analysis and thermogravimetric investigation on chemical looping gasification of biomass char under different atmospheres with Fe2O3 oxygen carrier. Appl. Energy 2015, 157, 546–553. [Google Scholar] [CrossRef]
- Guo, Q.; Cheng, Y.; Liu, Y.; Jia, W.; Ryu, H.J. Coal chemical looping gasification for syngas generation using an iron-based oxygen carrier. Ind. Eng. Chem. Res. 2014, 53, 78–86. [Google Scholar] [CrossRef]
- Pour, N. Status of bioenergy with carbon capture and storage-potential and challenges. In Bioenergy with Carbon Capture and Storage: Using Natural Resources for Sustainable Development; Magalhaes Pires, J.C., da Cunha Goncalves, A.L., Eds.; Elsevier: London, UK, 2019; pp. 85–107. ISBN 9780128162293. [Google Scholar]
- Cazzaniga, N.E.; Jonsson, R.; Palermo, D.; Camia, A. Sankey Diagrams of Woody Biomass Flows in the EU-28; EC Joint Research Centre, Publications Office of the European Union: Luxembourg, 2019; JRC115777. [Google Scholar] [CrossRef]
- S2Biom Project Deliverable 8.2. Available online: https://www.s2biom.eu/images/Publications/D8.2_S2Biom_Vision_for_1_billion_tonnes_biomass_2030.pdf (accessed on 1 July 2019).
- International Renewable Energy Agency. Solid Biomass Supply for Heat and Power: Technology Brief, International Renewable Energy Agency; International Renewable Energy Agency: Abu Dahbi, UAE, 2019; ISBN 9789292601072. [Google Scholar]
- Transport & Environment; BirdLife International. How Much Sustainable Biomass Does Europe Have in 2030? Available online: https://www.transportenvironment.org/sites/te/files/publications/How%20much%20sustainable%20biomass%20available%20in%202030_FINAL.pdf (accessed on 18 July 2020).
- Jand, N.; Foscolo, P.U. Decomposition of wood particles in fluidized beds. Ind. Eng. Chem. Res. 2005, 44, 5079–5089. [Google Scholar] [CrossRef]
- Milne, T.; Agblevor, F.; Davis, M.; Deutch, S.; Johnson, D. A Review of the Chemical Composition of Fast-Pyrolysis Oils from Biomass. In Developments in Thermochemical Biomass Conversion; Springer: Dordrecht, The Netherlands, 1997; pp. 409–424. [Google Scholar]
- Belgiorno, V.; De Feo, G.; Della Rocca, C.; Napoli, R.M.A. Energy from gasification of solid wastes. Waste Manag. 2003, 23, 1–15. [Google Scholar] [CrossRef]
- Bryden, K.M.; Hagge, M.J. Modeling the combined impact of moisture and char shrinkage on the pyrolysis of a biomass particle. Fuel 2003, 82, 1633–1644. [Google Scholar] [CrossRef]
- Grønli, M.G.; Várhegyi, G.; Di Blasi, C. Thermogravimetric analysis and devolatilization kinetics of wood. Ind. Eng. Chem. Res. 2002, 41, 4201–4208. [Google Scholar] [CrossRef]
- Rath, J.; Steiner, G.; Wolfinger, M.G.; Staudinger, G. Tar cracking from fast pyrolysis of large beech wood particles. J. Anal. Appl. Pyrolysis 2002, 62, 83–92. [Google Scholar] [CrossRef]
- Conesa, J.A.; Marcilla, A.; Caballero, J.A.; Font, R. Comments on the validity and utility of the different methods for kinetic analysis of thermogravimetric data. J. Anal. Appl. Pyrolysis 2001, 58–59, 617–633. [Google Scholar] [CrossRef]
- Unidad de Pretratamiento Cener BIO2C. Available online: https://www.bio2c.es/es/unidad-de-pretratamiento/ (accessed on 19 July 2020).
- Schipfer, F.; Haas, R.; Funcia, I.; Gil, J.; Bojner, U.; Ströhle, J.; Buschsieweke, F.; Wallus, S.; Aichernig, C. Deliverable D1.1 Analysis of Selected Feedstock. Available online: https://clara-h2020.eu/category/deliverable/ (accessed on 16 December 2020).
- Larsson, A.; Israelsson, M.; Lind, F.; Seemann, M.; Thunman, H. Using ilmenite to reduce the tar yield in a dual fluidized bed gasification system. Energy Fuels 2014, 28, 2632–2644. [Google Scholar] [CrossRef]
- Mattison, T.; Hildor, F.; Li, Y.; Linderholm, C. Negative emissions of carbon dioxide through chemical-looping combustion (CLC) and gasification (CLG) using oxygen carriers based on manganese and iron. Mitig. Adapt. Strat. Glob. Chang. 2020, 25, 497–517. [Google Scholar] [CrossRef]
- Gibilaro, L.G. Fluidization Dynamics, 1st ed.; Butterworth-Heinemann: Oxford, UK, 2010. [Google Scholar]
- Grace, R.J. Fluidized Bed Hydrodynamics. In Handbook of Multiphase Systems; Hetsroni, G., Ed.; Hemisphere: Washington, DC, USA, 1982; pp. 8-5–8-64. [Google Scholar]
- Yang, W. Handbook of Fluidization and Fluid-Particle Systems; Marcel Dekker Inc.: New York, NY, USA, 2003. [Google Scholar]
- Di Blasi, C. Modeling chemical and physical processes of wood and biomass pyrolysis. Prog. Energy Combust. Sci. 2008, 34, 47–90. [Google Scholar] [CrossRef]
- Shafizadeh, F.; Chin, P.P.S. Thermal Deterioration of Wood. In Wood Technology: Chemical Aspects; ACS Symposium Series; American Chemical Society: Washington, DC, USA, 1977; pp. 57–81. [Google Scholar]
- Simone, M.; Biagini, E.; Galletti, C.; Tognotti, L. Evaluation of global biomass devolatilization kinetics in a drop tube reactor with CFD aided experiments. Fuel 2009, 88, 1818–1827. [Google Scholar] [CrossRef]
- Thurner, F.; Mann, U. Kinetic Investigation of Wood Pyrolysis. Ind. Eng. Chem. Process Des. Dev. 1981, 20, 482–488. [Google Scholar] [CrossRef]
- Scala, F. Particle agglomeration during fluidized bed combustion: Mechanisms, early detection and possible countermeasures. Fuel Process. Technol. 2018, 171, 31–38. [Google Scholar] [CrossRef]
- Hildor, F.; Leion, H.; Linderholm, C.J.; Mattisson, T. Steel converter slag as an oxygen carrier for chemical-looping gasification. Fuel Process. Technol. 2020, 210, 106576. [Google Scholar] [CrossRef]
- Kersten, S.R.A.; Wang, X.; Prins, W.; Van Swaaij, W.P.M. Biomass pyrolysis in a fluidized bed reactor. Part 1: Literature review and model simulations. Ind. Eng. Chem. Res. 2005, 44, 8773–8785. [Google Scholar] [CrossRef]
- Wang, X.; Kersten, S.R.A.; Prins, W.; Van Swaaij, W.P.M. Biomass pyrolysis in a fluidized bed reactor. Part 2: Experimental validation of model results. Ind. Eng. Chem. Res. 2005, 44, 8786–8795. [Google Scholar] [CrossRef]








| Sand | ILM | SIB | LD | |
|---|---|---|---|---|
| dp1 (μm) | 231 | 255 | 208 | 235 | 
| ρp2 (kg m−3) | 2587 | 3830 | 3770 | 2676 | 
| T (°C) | umf3 (cm s−1) | umf3 (cm s−1) | umf3 (cm s−1) | umf3 (cm s−1) | 
| 700 | 2.4 | 4.4 | 2.9 | 2.6 | 
| 800 | 2.3 | 4.1 | 2.7 | 2.4 | 
| 900 | 2.1 | 3.8 | 2.5 | 2.3 | 
| WSP | RPR | |||||||
|---|---|---|---|---|---|---|---|---|
| AC | Ea,C | AH | Ea,H | AC | Ea,C | AH | Ea,H | |
| (min−1) | (kJ mol−1) | (min−1) | (kJ mol−1) | (min−1) | (kJ mol−1) | (min−1) | (kJ mol−1) | |
| Sand | 4.1 | 19.1 | 65.6 | 45.2 | 3.3 | 18.1 | 54.4 | 43.2 | 
| ILM | 11.1 | 24.6 | 102.2 | 46.4 | 6.9 | 21.9 | 100.5 | 46.6 | 
| SIB | 6.1 | 20.1 | 390.8 | 58.9 | 3.1 | 15.7 | 197.2 | 53.3 | 
| LD | 9.1 | 25.3 | 460.2 | 61.2 | 7.3 | 24.2 | 258.3 | 56.6 | 
| Publisher’s Note: MDPI stays neutral with regard to jurisdictional claims in published maps and institutional affiliations. | 
© 2021 by the authors. Licensee MDPI, Basel, Switzerland. This article is an open access article distributed under the terms and conditions of the Creative Commons Attribution (CC BY) license (http://creativecommons.org/licenses/by/4.0/).
Share and Cite
Di Giuliano, A.; Lucantonio, S.; Gallucci, K. Devolatilization of Residual Biomasses for Chemical Looping Gasification in Fluidized Beds Made Up of Oxygen-Carriers. Energies 2021, 14, 311. https://doi.org/10.3390/en14020311
Di Giuliano A, Lucantonio S, Gallucci K. Devolatilization of Residual Biomasses for Chemical Looping Gasification in Fluidized Beds Made Up of Oxygen-Carriers. Energies. 2021; 14(2):311. https://doi.org/10.3390/en14020311
Chicago/Turabian StyleDi Giuliano, Andrea, Stefania Lucantonio, and Katia Gallucci. 2021. "Devolatilization of Residual Biomasses for Chemical Looping Gasification in Fluidized Beds Made Up of Oxygen-Carriers" Energies 14, no. 2: 311. https://doi.org/10.3390/en14020311
APA StyleDi Giuliano, A., Lucantonio, S., & Gallucci, K. (2021). Devolatilization of Residual Biomasses for Chemical Looping Gasification in Fluidized Beds Made Up of Oxygen-Carriers. Energies, 14(2), 311. https://doi.org/10.3390/en14020311
 
        



 
       