Design and Analysis of Advanced Nonoverlapping Winding Induction Machines for EV/HEV Applications
Abstract
1. Introduction
2. Proposed Advanced Nonoverlapping Windings (ANW) Method
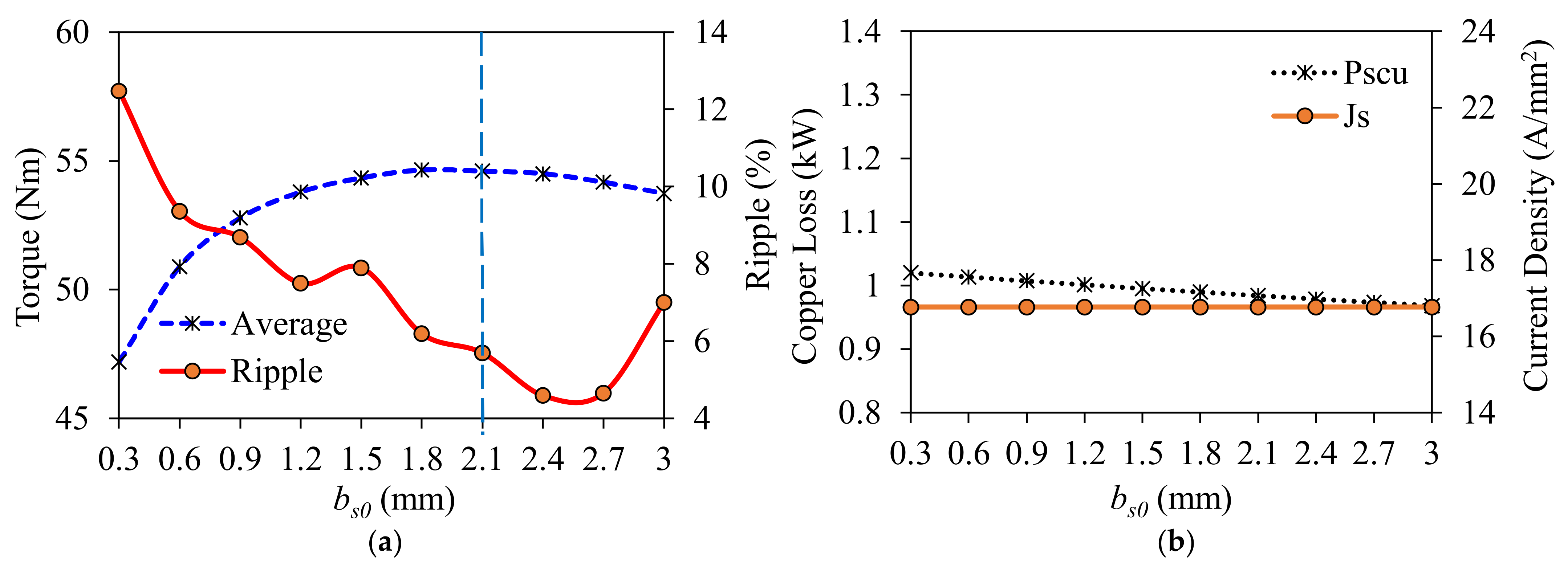
2.1. Theoretical Backgroun of the Proposed Winding Topology
2.2. Conventional Phase Shifting Method
2.3. Phase Shifting with Auxiliary Teeth Method
3. Performance Improvement of AIMs
3.1. Improvement by Utilizing the Stator Slots
3.2. Comparison between FSCW, ANW, and ISDW IMs with Short and Long Slot-Pitches
4. Comprehensive Design Guidelines for AIMs
- S/P combination: 18S/6P, 24S/8P, 30S/10P, and 36S/12P;
- Rotor slot number: from 14 to 62;
- Stack length: from 70 mm to 110 mm;
- Number of turns per phase: from 7 to 13;
- Geometric parameter: split ratio, slot and slot opening widths and heights.
4.1. Stator Slot and Pole Number Combination
- (a)
- Minimized harmonic interaction index for minimum rotor bar copper loss ( for and for combinations);
- (b)
- High pole number for lower rotor bar copper loss;
- (c)
- Demanded torque-speed curve;
- (d)
- Low pole number for higher torque and, hence, power at the constant power region;
- (e)
- Low pole number for lower core losses.
4.2. Rotor Slot Number
- (a)
- To avoid a high torque ripple, acoustic noise, and unbalanced magnetic pull (UMP), R should not be:
- multiples of the phase number () ;
- multiples of the pole number ();
- multiples of the stator slot number ();
- odd numbers.
- (b)
- To avoid the high rotor bar copper loss and bar current density, should be low;
- (c)
- close to the stator slot numbers are good candidates;
- (d)
- In terms of the average torque, torque ripple, bar copper loss, and current density, the optimum can be determined as .
- (a)
- The higher the S/P combination, the lower the bar copper loss, current density, and torque ripple;
- (b)
- For combinations , a lower torque is achieved, but for combinations, the torque does not change considerably;
- (c)
- Higher rotor slot numbers result in an increased pull-out torque slip and, hence, lower power factor.
4.3. Stack Length
4.3.1. Constant Number of Turns per Phase Case
- (a)
- As expected, there is a linear correlation between the torque and stack length.
- (b)
- For high values of stator current densities and, also, number of turns, it is possible to achieve a higher torque with shorter stack length but lower efficiency.
- (c)
- There is an inverse correlation between the efficiency and current density and, also, efficiency and current density.
- (d)
- Increasing the stack length always helps to improve the electromagnetic performance characteristics.
4.3.2. Variable Number of Turns per Phase Case
4.3.3. Flux-Weakening Characteristics
4.4. Number of Turns
4.5. Stator and Rotor Geometric Parameters
4.5.1. Split Ratio
4.5.2. Stator Slot
4.5.3. Rotor Slot
5. Discussion on the Validation of the FEA Results
6. Conclusions
- Compact IMs with high efficiency can be designed thanks to ANW topology;
- There is a critical rotor slot number for any S/P combination providing the maximum average torque with the minimum torque ripple;
- Poor performance characteristics such as a high bar current density, high slip and losses, and consequently, low efficiency are unavoidable in combinations where the number of rotor slots is significantly greater than the number of stator slots ();
- Selection of a high stack length results in a lower number of turns required to maintain the torque and, hence, a better flux-weakening capability.
- By keeping the pole number as low as possible, a wider constant power region can be achieved;
- Although each design parameter has a considerable effect on the performance characteristics individually, slot dimensions have a significant effect on the torque and current density, whereas slot opening dimensions have a remarkable effect on torque ripple and losses, particularly bar copper loss.
Author Contributions
Funding
Data Availability Statement
Conflicts of Interest
Appendix A
| Parameter | 18S/6P/20R-DL (ANW) | |||||
|---|---|---|---|---|---|---|
| Number of coils per phase | 3 | 6 | 6 | 6 | 12 | 12 |
| Number of turns per coil | 14 | 9 | 12 | 12 | 9 | 8 |
| Number of parallel branch | 3 | 6 | 6 | 6 | 12 | 12 |
| Stator outer diameter (mm) | 144 | |||||
| Stator inner diameter (mm) | 96.48 | 99.36 | 99.072 | 95.04 | 93.312 | 108.432 |
| Split ratio | 0.67 | 0.69 | 0.688 | 0.66 | 0.648 | 0.753 |
| Air-gap length (mm) | 0.35 | |||||
| Rotor outer diameter (mm) | 95.78 | 98.66 | 98.372 | 94.34 | 92.612 | 107.732 |
| Stator tooth width/height (mm) | 15.6/11.7 | 8.73/10.3 | 8.96/12.2 | 9/12.8 | 4.26/10 | 4.3/10 |
| Stator/rotor slot opening width (mm) | 8/5.5 | 4/1.4 | 4.5/2 | 4/4 | 1.75/1.5 | 1.7/1.35 |
| Rotor tooth width/ height (mm) | 11.13/11.9 | 8.26/14 | 8.67/14.5 | 8.8/12.2 | 5.5/11.9 | 5.3/11.7 |
| Stack length (mm) | 70 | 110 | ||||
| Core lamination | Material: M270-35A. Lamination stacking factor: 0.95. Lamination thickness: 0.305 mm. | |||||
| Bar material | Copper 75 °C | |||||
References
- Diaz, S.; Tietge, U.; Mock, P. CO2 emissions from new passenger cars in the EU: Car manufacturers’ performance in 2015. Int. Counc. Clean Transp. 2016. Available online: www.theicct.org/co2-from-new-cars-eu-2015 (accessed on 18 September 2021).
- Toliyat, H.A.; Lipo, T.A.; White, J.C. Analysis of a concentrated winding induction machine for adjustable speed drive applications. II. Motor design and performance. IEEE Trans. Energy Convers. 1991, 6, 684–692. [Google Scholar] [CrossRef]
- El-Refaie, A.M.; Shah, M.R. Comparison of induction machine performance with distributed and fractional-slot concentrated windings. In Proceedings of the 2008 IEEE Industry Applications Society Annual Meeting, Edmonton, AB, Canada, 5–9 October 2008; pp. 1–8. [Google Scholar] [CrossRef]
- Wang, K.; Zhu, Z.Q.; Ombach, G. Synthesis of high performance fractional-slot permanent-magnet machines with coil-pitch of two slot-pitches. IEEE Trans. Energy Convers. 2014, 29, 758–770. [Google Scholar] [CrossRef]
- Gundogdu, T.; Zhu, Z.-Q.; Mipo, J.-C. Analysis of coil pitch in induction machines for electric vehicle applications. IET Electr. Power Appl. 2020, 14, 2525–2536. Available online: https://digital-library.theiet.org/content/journals/10.1049/iet-epa.2019.0980 (accessed on 8 September 2021).
- Gundogdu, T.; Komurgoz, G.; Mantar, B. Implementation of fractional slot concentrated windings to Induction Machines. In Proceedings of the 7th IET International Conference on Power Electronics, Machines and Drives (PEMD 2014), Manchester, UK, 8–10 April 2014; pp. 1–6. [Google Scholar] [CrossRef]
- Eastham, J.F.; Cox, T.; Proverbs, J. Application of planar modular windings to linear induction motors by harmonic cancellation applications. IET Electr. Power Appl. 2010, 4, 140–148. Available online: https://digital-library.theiet.org/content/journals/10.1049/iet-epa.2009.0086 (accessed on 6 September 2021).
- Jensen, B.B.; Jack, A.G.; Atkinson, G.J.; Mecrow, B.C. Performance of a folded-strip toroidally wound induction machine. IEEE Trans. Ind. Electron. 2012, 59, 2217–2226. [Google Scholar] [CrossRef]
- Alberti, L.; Bianchi, N. Design and tests on a fractional-slot induction machine. In Proceedings of the 2012 IEEE Energy Conversion Congress and Exposition (ECCE), Raleigh, NC, USA, 15–20 September 2012; pp. 166–172. [Google Scholar] [CrossRef]
- Sundaram, V.M.; Toliyat, H.A. A fractional slot concentrated winding (FSCW) configuration for outer rotor squirrel cage induction motors. In Proceedings of the 2015 IEEE International Electric Machines & Drives Conference (IEMDC), Coeur d’Alene, ID, USA, 10–13 May 2015; pp. 20–26. [Google Scholar] [CrossRef]
- Sakai, K.; Suzuki, M.; Takishima, K. Induction machines with novel concentrated windings. In Proceedings of the 2017 IEEE International Electric Machines and Drives Conference (IEMDC), Miami, FL, USA, 21–24 May 2017; pp. 1–7. [Google Scholar] [CrossRef]
- Jack, A.G.; Mecrow, B.; Krogen, O. Induction Machine Stator. U.S. Patent 6,815,863 B1, 9 November 2005. [Google Scholar]
- Misir, O.; Ponick, B. Analysis of three-phase induction machines with combined star-delta windings. In Proceedings of the 2014 IEEE 23rd International Symposium on Industrial Electronics (ISIE), Istanbul, Turkey, 1–4 June 2014; pp. 756–761. [Google Scholar] [CrossRef]
- Park, Y.; Yoo, J.; Sul, S. Double-delta sourced winding for dual winding induction machine. In Proceedings of the 2015 9th International Conference on Power Electronics and ECCE Asia (ICPE-ECCE Asia), Seoul, Korea, 1–5 June 2015; pp. 77–85. [Google Scholar] [CrossRef]
- Gieras, J.F.; Rozman, G.I. Reduction of Leakage Flux in Electrical Machines. U.S. Patent 2014/0,354,106 A1, 4 December 2014. [Google Scholar]
- Moros, O.; Gerling, D. Geometrical and electrical optimization of stator slots in electrical machines with combined wye-delta winding. In Proceedings of the 2014 International Conference on Electrical Machines (ICEM), Berlin, Germany, 2–5 September 2014; pp. 2026–2030. [Google Scholar] [CrossRef]
- Dajaku, G.; Gerling, D. Different novel electric machine designs for automotive applications. In Proceedings of the 2013 World Electric Vehicle Symposium and Exhibition (EVS27), Barcelona, Spain, 17–20 November 2013; pp. 1–7. [Google Scholar] [CrossRef]
- Wang, J.; Patel, V.I.; Wang, W. Fractional-slot permanent magnet brushless machines with low space harmonic contents. IEEE Trans. Magn. 2014, 50, 1–9. [Google Scholar] [CrossRef]
- Abdel-Khalik, A.S.; Diab, M.S.; Ahmed, S.; Massoud, A.M. A new single tooth winding layout for a single-phase induction motor with segmented stator. In Proceedings of the IECON 2015—41st Annual Conference of the IEEE Industrial Electronics Society, Yokohama, Japan, 9–12 November 2015; pp. 102–107. [Google Scholar] [CrossRef]
- Alberti, L.; Bianchi, N. Analysis of asynchronous machines for direct drive wind power generation. In Proceedings of the 2009 IEEE International Electric Machines and Drives Conference, Miami, FL, USA, 3–6 May 2009; pp. 1838–1843. [Google Scholar] [CrossRef]
- Jung, T.; Yun, C.; Cha, H.; Chae, M.; Kim, H. Improved design for driving characteristics in single phase induction motor with concentrated winding. In Proceedings of the 2007 IEEE Power Electronics Specialists Conference, Orlando, FL, USA, 17–21 June 2007; pp. 2418–2422. [Google Scholar] [CrossRef]
- Virlan, B.; Simion, A.; Livadaru, L.; Benelghali, S.; Outbib, R. Analysis of a three phase induction motor with outer rotor for multi-speed applications. In Proceedings of the 2012 XXth International Conference on Electrical Machines, Marseille, France, 2–5 September 2012; pp. 411–417. [Google Scholar] [CrossRef]
- Dajaku, G.; Spas, S.; Dajaku, X.; Gerling, D. An improved fractional slot concentrated winding for low-poles induction machines. In Proceedings of the 2016 XXII International Conference on Electrical Machines (ICEM), Lausanne, Switzerland, 4–7 September 2016; pp. 114–119. [Google Scholar] [CrossRef]
- Abdel-Khalik, A.S.; Ahmed, S.; Massoud, A. A five-phase linear induction machine with planar modular winding. In Proceedings of the 2015 IEEE International Conference on Industrial Technology (ICIT), Seville, Spain, 17–19 March 2015; pp. 580–585. [Google Scholar] [CrossRef]
- Xu, Y.; Xu, Z.; Ai, M. Application of ring winding in induction motor. IEEE Trans. Appl. Supercond. 2021, 31, 1–5. [Google Scholar] [CrossRef]
- Mallampalli, S.; Zhu, Z.Q.; Mipo, J.C.; Personnaz, S. Six-phase pole-changing winding induction machines with improved performance. IEEE Trans. Energy Convers. 2021, 36, 534–546. [Google Scholar] [CrossRef]
- Mallampalli, S.; Zhu, Z.Q.; Mipo, J.C.; Personnaz, S. 48 V starter-generator induction machine with pole-changing windings. IEEE Trans. Ind. Appl. 2020, 56, 6324–6337. [Google Scholar] [CrossRef]
- Muteba, M. Optimization of air gap length and capacitive auxiliary winding in three-phase induction motors based on a genetic algorithm. Energies 2021, 14, 4407. [Google Scholar] [CrossRef]
- Zhang, M.; Eastham, F.; Yuan, W. Design and modeling of 2G HTS armature winding for electric aircraft propulsion applications. IEEE Trans. Appl. Supercond. 2016, 26, 1–5. [Google Scholar] [CrossRef]
- Zhu, Z.Q.; Liu, X. Individual and global optimization of switched flux permanent magnet motors. In Proceedings of the 2011 International Conference on Electrical Machines and Systems, Beijing, China, 20–23 August 2011; pp. 1–6. [Google Scholar] [CrossRef]
- Gundogdu, T. Advanced Non-Overlapping Winding Induction Machines for Electrical Vehicle Applications. Ph.D. Thesis, University of Sheffield, Sheffield, UK, 2018. Available online: https://etheses.whiterose.ac.uk/20728/ (accessed on 18 February 2021).
- Gundogdu, T.; Zhu, Z.Q.; Mipo, J.C.; Farah, P. Investigation of non-sinusoidal rotor bar current phenomenon in induction machines—Influence of slip and electric loading. In Proceedings of the 2016 XXII International Conference on Electrical Machines (ICEM), Lausanne, Switzerland, 4–7 September 2016; pp. 419–425. [Google Scholar] [CrossRef]
- Gundogdu, T.; Zhu, Z.Q.; Mipo, J.C.; Farah, P. Influence of magnetic saturation on rotor bar current waveform and performance in induction machines. In Proceedings of the 2016 XXII International Conference on Electrical Machines (ICEM), Lausanne, Switzerland, 4–7 September 2016; pp. 391–397. [Google Scholar] [CrossRef]
- Gundogdu, T.; Zhu, Z.Q.; Mipo, J.C. Influence of stator slot and pole number combination on rotor bar current waveform and performance of induction machines. In Proceedings of the 2017 20th International Conference on Electrical Machines and Systems (ICEMS), Sydney, Australia, 11–14 August 2017; pp. 1–6. [Google Scholar] [CrossRef]
- Gundogdu, T.; Zhu, Z.Q.; Mipo, J.C. Influence of rotor slot number on rotor bar current waveform and performance in induction machines. In Proceedings of the 2017 20th International Conference on Electrical Machines and Systems (ICEMS), Sydney, Australia, 11–14 August 2017; pp. 1–6. [Google Scholar] [CrossRef]
- Besnerais, J.L.; Lanfranchi, V.; Hecquet, M.; Brochet, P. Optimal slot numbers for magnetic noise reduction in variable-speed induction motors. IEEE Trans. Magn. 2009, 45, 3131–3136. [Google Scholar] [CrossRef]
- Gyftakis, K.N.; Kappatou, J. The impact of the rotor slot number on the behaviour of the induction motor. Adv. Power Electron. 2013, 2013, 837010. [Google Scholar] [CrossRef][Green Version]
- Lipo, T.A. Calculation of Induction Machine Losses. In Introduction to AC Machine Design; Wiley-IEEE Press: Piscataway, NJ, USA, 2018; pp. 193–250. [Google Scholar] [CrossRef]
- Guan, Y. Torque-speed characteristics of induction machine and hybrid permanent magnet assisted synchronous reluctance machine for electric vehicle application. Ph.D. Thesis, University of Sheffield, Sheffield, UK, 2015. Available online: https://etheses.whiterose.ac.uk/7867/ (accessed on 1 September 2021).











































| Configure | Winding Harmonic Reduction/Elimination | Average Torque | Torque Ripple | Bar Copper Loss |
|---|---|---|---|---|
| 9S/6P | Not reduced/eliminated | 1 | 1 | 1 |
| 2x9S/6P (,) | 3rd→reduced 6th→eliminated 15th→reduced | 0.778 | 0.68 | 0.403 |
| 2x9S/6P (,) | 6th→eliminated 12th→eliminated | 0.874 | 0.493 | 0.166 |
| Parameter (mΩ) |
9S/6P/14R-DL | 18S/6P/20R-DL (ANW) |
18S/6P/20R-DL |
36S/6P/38R-DL |
|---|---|---|---|---|
| 2.391 | 2.367 | 2.5094 | 2.0836 | |
| 1.995 | 1.81 | 1.813 | 1.075 | |
| 2.376 | 2.19 | 2.172 | 1.294 | |
| 1.52 | 1.314 | 1.174 | 0.559 | |
| 2.215 | 1.54 | 1.89 | 0.511 | |
| 3.142 | 2.2 | 2.298 | 1.602 | |
| 0.586 | 0.334 | 0.337 | 0.245 | |
| 1.172 | 0.928 | 0.944 | 0.861 |
| Parameter |
9S/6P/14R-DL | 18S/6P/20R-DL (ANW) |
18S/6P/20R-DL |
36S/6P/38R-DL |
|---|---|---|---|---|
| 14 | 12 | 12 | 9 | |
| 0.866 | 0.866 | 0.866 | 0.933 | |
| ℓa (mm) | 94.02 | 83.28 | 114.24 | 111 |
| (Nm) | 43.613 | 52.31 | 52.33 | 54.1 |
| (%) | 28.8 | 18.8 | 9.11 | 3.88 |
| (kW) | 1.195 | 1.09 | 1.0145 | 0.7614 |
| (kW) | 0.598 | 0.684 | 0.8657 | 0.801 |
| (kW) | 2.788 | 0.86 | 1.026 | 0.506 |
| (W) | 60.7 | 20.937 | 62.25 | 134.6 |
| (kW) | 8.54 | 10.353 | 10.357 | 10.79 |
| (%) | 6.5 | 5.5 | 5.5 | 4.75 |
| (rpm) | 1870 | 1890 | 1890 | 1905 |
| (%) | 64.621 | 78.96 | 77.127 | 83.13 |
| (A/mm2) | 23.42 | 23.5 | 23.44 | 23.45 |
| (A/mm2) | 27.25 | 16.21 | 17.06 | 13.66 |
Publisher’s Note: MDPI stays neutral with regard to jurisdictional claims in published maps and institutional affiliations. |
© 2021 by the authors. Licensee MDPI, Basel, Switzerland. This article is an open access article distributed under the terms and conditions of the Creative Commons Attribution (CC BY) license (https://creativecommons.org/licenses/by/4.0/).
Share and Cite
Gundogdu, T.; Zhu, Z.-Q.; Mipo, J.-C. Design and Analysis of Advanced Nonoverlapping Winding Induction Machines for EV/HEV Applications. Energies 2021, 14, 6849. https://doi.org/10.3390/en14206849
Gundogdu T, Zhu Z-Q, Mipo J-C. Design and Analysis of Advanced Nonoverlapping Winding Induction Machines for EV/HEV Applications. Energies. 2021; 14(20):6849. https://doi.org/10.3390/en14206849
Chicago/Turabian StyleGundogdu, Tayfun, Zi-Qiang Zhu, and Jean-Claude Mipo. 2021. "Design and Analysis of Advanced Nonoverlapping Winding Induction Machines for EV/HEV Applications" Energies 14, no. 20: 6849. https://doi.org/10.3390/en14206849
APA StyleGundogdu, T., Zhu, Z.-Q., & Mipo, J.-C. (2021). Design and Analysis of Advanced Nonoverlapping Winding Induction Machines for EV/HEV Applications. Energies, 14(20), 6849. https://doi.org/10.3390/en14206849

