Degradation of Soft Epoxy Resin for Cable Penetrations Induced by Simulated Severe Accidents
Abstract
1. Introduction
2. Materials and Methods
3. Results
3.1. Disappearance of Samples by Hydrolysis
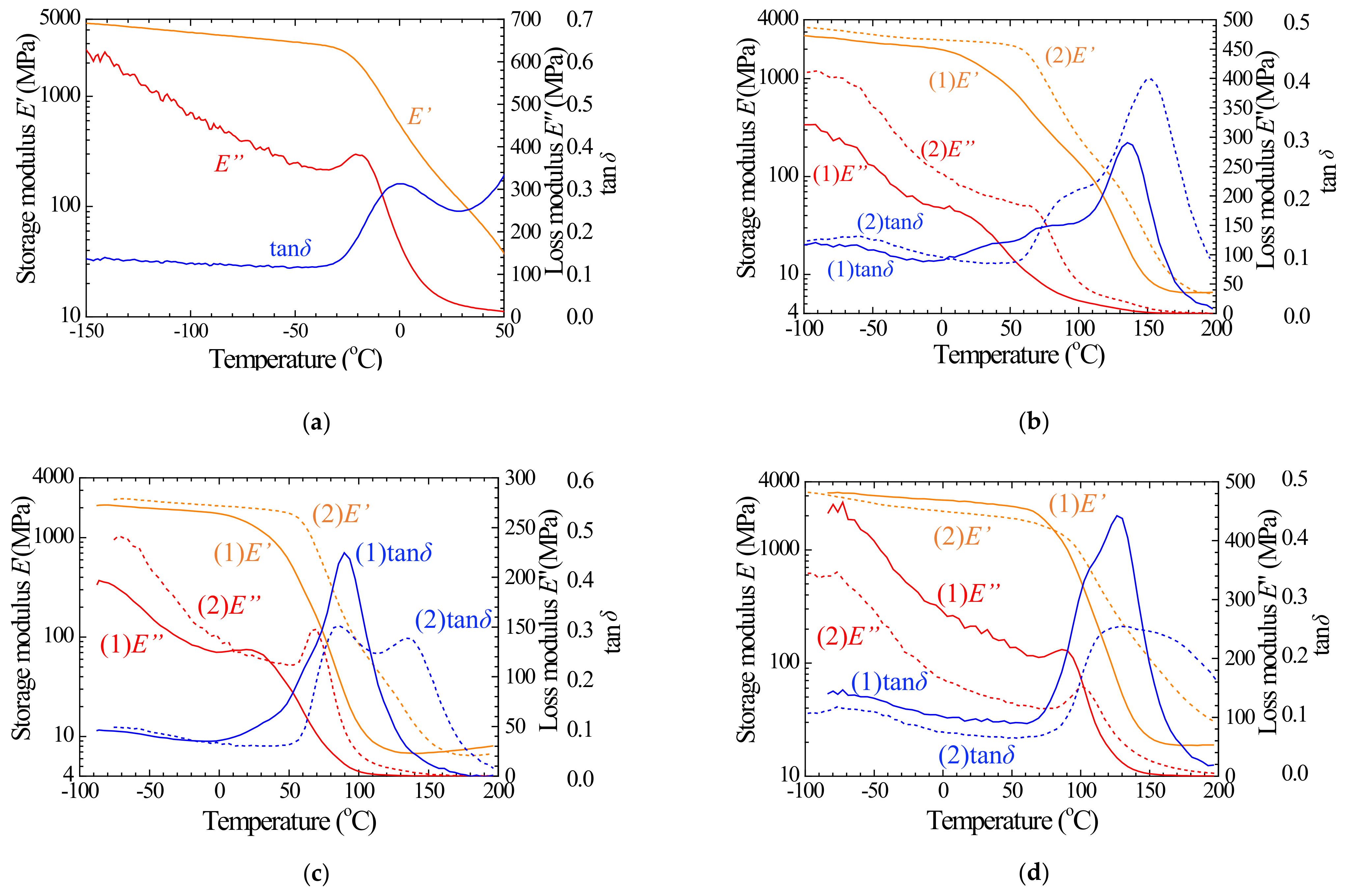
3.2. Dynamic Mechanical Analysis
3.2.1. DMA Spectra
3.2.2. Glass Transition Temperature
3.2.3. Storage and Loss Moduli
3.3. Mechanical Properties
3.3.1. Tensile Tests
3.3.2. Indenter Modulus
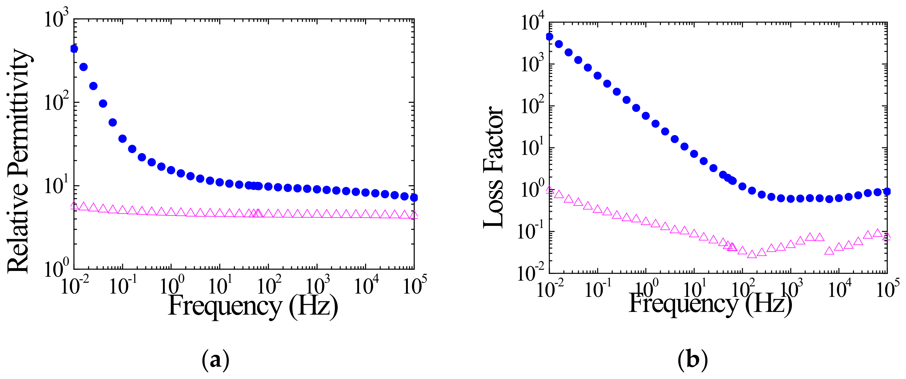
3.4. Dielectric Properties
3.5. Fourier Transform Mid-Infrared Absorption Spectra
4. Discussion
4.1. Aging Induced Structural Changes
4.2. Dynamic Mechanical Analysis
4.3. Mechanical Properties
4.4. Dielectric Properties
4.5. Comparison with Ordinary Epoxy Resin
5. Conclusions
Author Contributions
Funding
Institutional Review Board Statement
Informed Consent Statement
Data Availability Statement
Acknowledgments
Conflicts of Interest
References
- Dakin, T.W. Application of epoxy resins in electrical apparatus. IEEE Trans. Electr. Insul. 1974, EI-9, 121–128. [Google Scholar] [CrossRef]
- Jin, F.L.; Li, X.; Park, S.J. Synthesis and application of epoxy resins: A review. J. Ind. Eng. Chem. 2015, 29, 1–11. [Google Scholar] [CrossRef]
- Ulański, J.; Friedrich, K.; Boiteux, G.; Seytre, G. Evolution of ion mobility in cured epoxy-amine system as determined by time-of-flight method. J. Appl. Polym. Sci. 1997, 65, 1143–1150. [Google Scholar] [CrossRef]
- Ohki, Y. Development of a high-performance casting method for solid-insulated switchgear [News from Japan]. IEEE Electr. Insul. Mag. 2010, 26, 63–65. [Google Scholar] [CrossRef]
- Tian, F.; Ohki, Y. Charge Transport and Electrode Polarization in Epoxy Resin at High Temperatures. J. Phys. D Appl. Phys. 2014, 47, 1–9. [Google Scholar] [CrossRef]
- Li, X.; Masuzaki, Y.; Tian, F.; Ohki, Y. Space Charge Formation and Charge Transport in Epoxy Resin at Varied Temperatures. IEEJ Trans. Fundam. Mater. 2015, 135, 88–93. [Google Scholar] [CrossRef]
- Nagase, E.; Iizuka, T.; Tatsumi, K.; Hirai, N.; Ohki, Y.; Yoshida, S.; Umemoto, T.; Muto, H. Filler-dependent Changes in Thermal, Dielectric, and Mechanical Properties of Epoxy Resin Nanocomposites. IEEJ Trans. Electr. Electron. Eng. 2020, 16, 15–20. [Google Scholar] [CrossRef]
- Umemoto, T.; Yoshida, S.; Muto, H.; Kurimoto, M. Critical Agglomerate Size for Electrical Insulation Lifetime Extension of Epoxy/TiO2 Nanocomposite with a Void Defect. IEEE Trans. Dielectr. Electr. Insul. 2021, 28, 282–289. [Google Scholar] [CrossRef]
- Clauss, D.B. Severe accident testing of electrical penetration assemblies. NUREG/CR-5334 1989, 1–213. [Google Scholar] [CrossRef]
- Mazzoni, O.S. 5. Nuclear plants containment electrical penetration assemblies. In Electrical Systems for Nuclear Power Plants, 1st ed.; Hossain, E., Fortino, G., Molisch, A., Shafer, L., Grier, D.A., Nahavandi, S., Shahidehpour, M., Heirman, D., Perez, R., Spurgeon, S., et al., Eds.; IEEE Press: Piscataway, NJ, USA, 2019; pp. 53–69. [Google Scholar]
- Minakawa, T.; Watanabe, A.; Ikeda, M.; Taguchi, K. Study on long-term integrity of polymer materials for electrical equipment, Regulatory Standard and Research Department, Secretariat of Nuclear Regulation Authority, Japan, 2020, RREP-2020–1001, pp. 4–39. (In Japanese).
- Ishii, H.; Hirai, N.; Ohki, Y. Comparison of degradation behavior between soft and hard epoxy resins. J. Nucl. Sci. Technol. 2020, 58, 620–628. [Google Scholar] [CrossRef]
- Zhou, H.; Hirai, N.; Ohki, Y. Various characteristics of severely aged flame-retardant cross-linked polyolefin. IEEJ Trans. Electr. Electron. Eng. 2021, 16, 1–7. [Google Scholar] [CrossRef]
- Ito, S.; Miyazaki, Y.; Hirai, N.; Ohki, Y. Effects of gamma irradiation on the degradation of silicone rubber by steam exposure. J. Nucl. Sci. Technol. 2021, 58, 166–172. [Google Scholar] [CrossRef]
- Zhou, H.; Hanafusa, W.; Udo, K.; Hirai, N.; Ohki, Y. Aging behavior of flame-retardant cross-linked polyolefin under thermal and radiation stresses. IEEE Trans. Dielectr. Electr. Insul. 2021, 28, 303–309. [Google Scholar] [CrossRef]
- Miyazaki, Y.; Hirai, N.; Ohki, Y. Effects of heat and gamma-rays on mechanical and dielectric properties of cross-linked polyethylene. IEEE Trans. Dielectr. Electr. Insul. 2020, 27, 1998–2006. [Google Scholar] [CrossRef]
- Yamaguchi, H.; Ishii, H.; Hirai, N.; Ohki, Y. Degradation of mechanical and dielectric properties of flame-retardant ethylene propylene rubber by thermal aging. IEEJ Trans. Electr. Electron. Eng. 2020, 15, 488–495. [Google Scholar] [CrossRef]
- You, J.; Yamaguchi, H.; Ishii, H.; Hirai, N.; Ohki, Y. Degradation of flame-retardant ethylene-propylene-diene rubber by radiation and steam. IEEJ Trans. Electr. Electron. Eng. 2020, 15, 1572–1579. [Google Scholar] [CrossRef]
- Liu, Z.; Miyazaki, Y.; Hirai, N.; Ohki, Y. Comparison of the effects of heat and gamma irradiation on the degradation of cross-linked polyethylene. IEEJ Trans. Electr. Electron. Eng. 2020, 15, 24–29. [Google Scholar] [CrossRef]
- Kaneko, T.; Ito, S.; Minakawa, T.; Hirai, N.; Ohki, Y. Degradation mechanisms of silicone rubber under different aging conditions. Polym. Degrad. Stab. 2019, 168, 108936. [Google Scholar] [CrossRef]
- Yang, Z.; Kaneko, T.; Hirai, N.; Ohki, Y. Aging behavior of flame-retardant cross-linked polyethylene in nuclear power plant environments. IEEJ Trans. Electr. Electron. Eng. 2019, 14, 1133–1138. [Google Scholar] [CrossRef]
- Liu, S.; Fifield, L.S.; Bowler, N. Aging mechanisms of filled cross-linked polyethylene (XLPE) cable insulation material exposed to simultaneous thermal and gamma radiation. Radiat. Phys. Chem. 2021, 185, 1–9. [Google Scholar] [CrossRef]
- Spencer, M.P.; Zwoster, A.; Bisel, T.T.; Murphy, M.K.; Fifield, L.S. Sequential versus simultaneous aging of XLPE nuclear cable insulation subjected to elevated temperature and gamma radiation. In Proceedings of the IEEE Electrical Insulation Conference 2020, Knoxville, TN, USA, 22 June–3 July 2020; pp. 50–53. [Google Scholar] [CrossRef]
- Suraci, S.V.; Fabiani, D. Aging modeling of low-voltage cables subjected to radio-chemical aging. IEEE Access 2021, 9, 83569–83578. [Google Scholar] [CrossRef]
- Suraci, S.V.; Fabiani, D.; Mazzocchetti, L.; Giorgini, L. Degradation Assessment of Polyethylene-Based Material Through Electrical and Chemical-Physical Analyses. Energies 2020, 13, 650. [Google Scholar] [CrossRef]
- Available online: https://www.team-cables.eu/ (accessed on 9 October 2021).
- Japan Nuclear Energy Safety Organization The final report of the project of “assessment of cable aging for nuclear power plants”, JNES-SS-0903; 2009.
- Japan Nuclear Energy Safety Organization Report on assessment of electrical equipment aging for nuclear power plant (AEA), FY2012, JNES-RE-2013–0016; 2013. (In Japanese)
- Regulatory Standard and Research Department, Secretariat of Nuclear Regulation Authority Analysis of insulation performance of cables under severe accident environmental conditions, NTEC-2019–1002; 2019. (In Japanese)
- Regulatory Standard and Research Department, Secretariat of Nuclear Regulation Authority Study on long-term integrity of polymer materials for electrical equipment, RREP-2020–1001; 2020. (In Japanese)
- Japanese Standards Association, Plastics-Determination of Dynamic Mechanical Properties-Part 4: Tensile Vibration-Non-resonance Method, JIS K 7244–4:1999; 1999. (In Japanese)
- Japanese Standards Association Plastics-Test specimens; JIS K 7139:2009, 2009. (In Japanese)
- IEC/IEEE 62582–2: 2011/AMD1: Nuclear Power Plants-Instrumentation and Control Important to Safety-Electrical Equipment Condition Monitoring Methods—Part 2: Indenter Modulus; 2016.
- Jones, D.S. Dynamic mechanical analysis of polymeric systems of pharmaceutical and biomedical significance. Int. J. Pharm. 1999, 179, 167–178. [Google Scholar] [CrossRef]
- Achorn, P.J.; Ferrillo, R.G. Comparison of thermal techniques for glass transition measurements of polystyrene and cross-linked acrylic polyurethane films. J. Appl. Polym. Sci. 1994, 54, 2033–2043. [Google Scholar] [CrossRef]
- Arakawa, K.; Seguchi, T.; Watanabe, Y.; Hayakawa, N.; Kuriyama, I.; Machi, S. Dose rate effect on radiation-induced oxidation of polyethylene and ethylene-propylene copolymer. J. Polym. Sci. Polym. Chem. Ed. 1981, 19, 2123–2125. [Google Scholar] [CrossRef]
- Hanisch, F.; Maier, P.; Okada, S.; Schönbacher, H. Effects of radiation types and dose rates on selected cable-insulating materials. Int. J. Radiat. Appl. Instrum. Part C. Radiat. Phys. Chem. 1987, 30, 1–9. [Google Scholar] [CrossRef][Green Version]
- Deepalaxmi, R.; Rajini, V. Performance evaluation of gamma irradiated SiR-EPDM blends. Nucl. Eng. Des. 2014, 273, 602–614. [Google Scholar] [CrossRef]
- Fuse, N.; Misaka, H.; Homma, H.; Okamoto, T. Mechanism elucidation of degradation dynamics of ethylene propylene rubber cable insulations sampled from nuclear power containment using additional aging. IEEE Trans. Dielectr. Electr. Insul. 2016, 23, 730–737. [Google Scholar] [CrossRef]
- Ohki, Y.; Hirai, N. Effects of resin/filler adhesion on the thermal and electrical conductivity of polyimide nanocomposites. J. Compos. Sci. 2021, 5, 272. [Google Scholar] [CrossRef]
- Tsutsui, J.; Shimizu, A.; Hayashi, M.; Ishii, H.; Ohki, Y.; Hirai, N. Various properties of thermally aged hard and soft epoxy resins. Joint Technical Meeting on Dielectrics and Electrical Insulation and Electric Wire and Power Cable, Online, 12 March 2021; Inst. Electr. Eng. Japan, Tokyo, Japan, 2021; DEI-21-063; pp. 77–82. (In Japanese)










| Name | Irradiation | Steam Exposure | Symbol | ||||
|---|---|---|---|---|---|---|---|
| Temp. (°C) | Total Dose (kGy) | Dose Rate (kGy/h) | Temp. (°C) | Pressure (MPaG) | Duration (h) | ||
| P | -- | -- | -- | -- | -- | ● | |
| C | 100max | 230 | 0.1 | -- | -- | △ | |
| R | 25 | 800 | 5 | -- | -- | □ | |
| CR | 100max ≥ 25 | 930 | 0.1 ≥ 5 | -- | -- | ◇ | |
| Sm | -- | -- | -- | 171 | 0.64 | 168 | ○ |
| Sh | -- | -- | -- | 200 | 0.90 | 168 | |
| CSm | 100max | 230 | 0.1 | 171 | 0.64 | 168 | ▲ |
| CSh | 100max | 230 | 0.1 | 200 | 0.90 | 168 | ▲ |
| RSm | 25 | 800 | 5 | 171 | 0.64 | 168 | ■ |
| RSh | 25 | 800 | 5 | 200 | 0.90 | 168 | ■ |
| CRSm | 100max ≥ 25 | 930 | 0.1 ≥ 5 | 171 | 0.64 | 168 | ◆ |
| CRSh | 100max ≥ 25 | 930 | 0.1 ≥ 5 | 200 | 0.90 | 168 | ◆ |
Publisher’s Note: MDPI stays neutral with regard to jurisdictional claims in published maps and institutional affiliations. |
© 2021 by the authors. Licensee MDPI, Basel, Switzerland. This article is an open access article distributed under the terms and conditions of the Creative Commons Attribution (CC BY) license (https://creativecommons.org/licenses/by/4.0/).
Share and Cite
Ohki, Y.; Ishii, H.; Hirai, N. Degradation of Soft Epoxy Resin for Cable Penetrations Induced by Simulated Severe Accidents. Energies 2021, 14, 6932. https://doi.org/10.3390/en14216932
Ohki Y, Ishii H, Hirai N. Degradation of Soft Epoxy Resin for Cable Penetrations Induced by Simulated Severe Accidents. Energies. 2021; 14(21):6932. https://doi.org/10.3390/en14216932
Chicago/Turabian StyleOhki, Yoshimichi, Hiroyuki Ishii, and Naoshi Hirai. 2021. "Degradation of Soft Epoxy Resin for Cable Penetrations Induced by Simulated Severe Accidents" Energies 14, no. 21: 6932. https://doi.org/10.3390/en14216932
APA StyleOhki, Y., Ishii, H., & Hirai, N. (2021). Degradation of Soft Epoxy Resin for Cable Penetrations Induced by Simulated Severe Accidents. Energies, 14(21), 6932. https://doi.org/10.3390/en14216932

