Numerical Study of (Au-Cu)/Water and (Au-Cu)/Ethylene Glycol Hybrid Nanofluids Flow and Heat Transfer over a Stretching Porous Plate
Abstract
1. Introduction
2. Problem Formulations
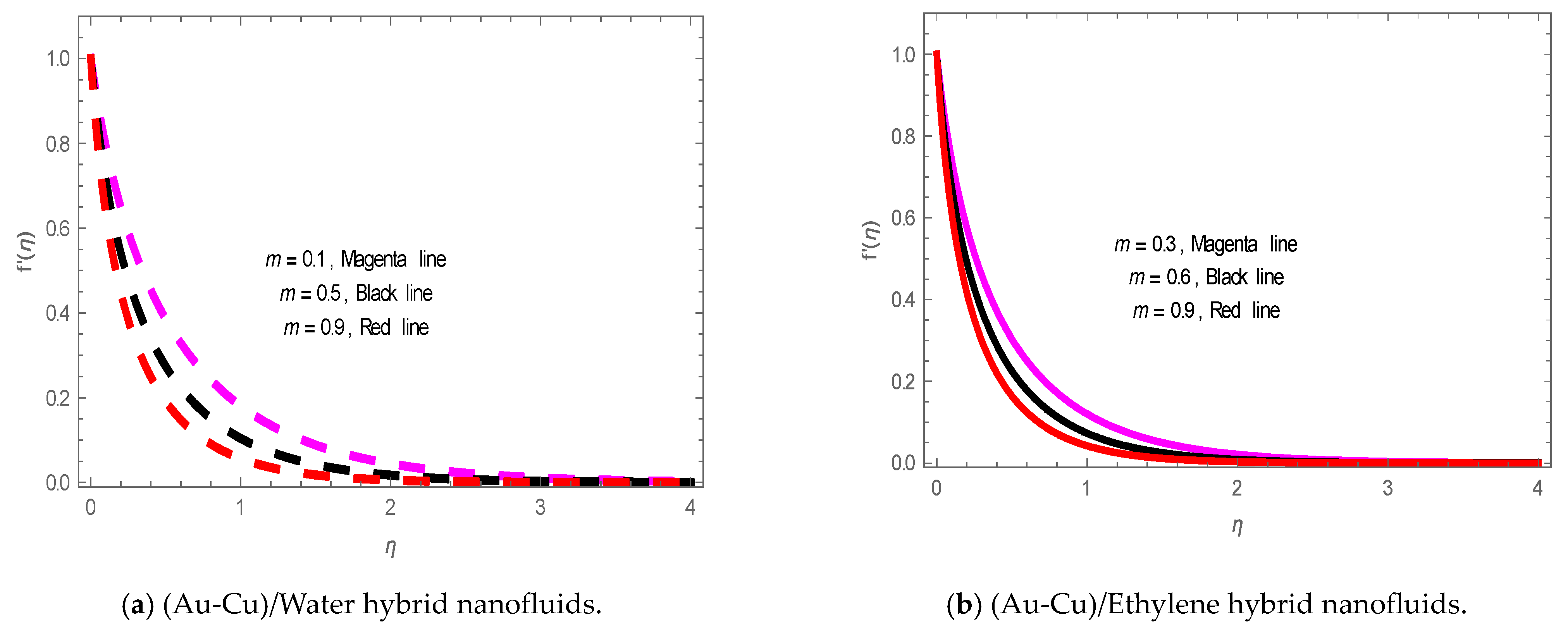
3. Results and Discussion
4. Conclusions
Author Contributions
Funding
Acknowledgments
Conflicts of Interest
Nomenclature
| T | Temperature of nanofluid (k) |
| u, v | The velocity components (m/s) |
| Thermal conductivity of the nanofluid (W/m K) | |
| Thermal conductivity of the fluid (W/m K) | |
| Thermal conductivity of the solid (W/m K) | |
| Specific heat capacity (J/kg K) | |
| Thermal diffusivity of the nanofluid (m/s2) | |
| Density of the nanofluid (kg/m3) | |
| Density of the fluid (kg/m3) | |
| Density of the solid (kg/m3) | |
| Solid volume fraction | |
| Dynamic viscosity of the nanofluid (N.sm−2) | |
| Dynamic viscosity of the fluid (N·sm−2) | |
| Dynamic viscosity of the solid (N·sm−2) | |
| Stefan–Boltzmann constant (w·m−2·k−4) | |
| Absorption coefficient (m−1) | |
| Radiation parameter | |
| Injection parameter | |
| Porous medium | |
| Prandtl number | |
| Eckert number | |
| Magnetic parameter | |
| Electrical conductivity | |
| Radiative heat flux | |
| Hybrid Nanofluid | |
| Solid | |
| Liquid |
References
- Hayat, T.; Haider, F.; Muhammad, T.; Alsaedi, A. Numerical study for Darcy-Forchheimer flow of nanofluid due to an exponentially stretching curved surface. Results Phys. 2018, 8, 764–771. [Google Scholar] [CrossRef]
- Ullah, I.; Rahim, M.T.; Khan, H.; Qayyum, M. Analytic Comparison of MHD Squeezing Flow in Porous Medium with Slip Condition. Phys. Res. Int. 2016, 2016, 5407916. [Google Scholar] [CrossRef][Green Version]
- Ahmad, S.; Khan, M.I.; Hayat, T.; Khan, M.I.; Alsaedi, A. Entropy generation optimization and unsteady squeezing flow of viscous fluid with five different shapes of nanoparticles. Colloids Surf. A Physicochem. Eng. Asp. 2018, 554, 197–210. [Google Scholar] [CrossRef]
- Qayyum, S.; Khan, M.I.; Chammam, W.; Khan, W.A.; Ali, Z.; Ul-Haq, W. Modeling and theoretical investigation of curved parabolized surface of second-order velocity slip flow: Combined analysis of entropy generation and activation energy. Mod. Phys. Lett. B 2020, 34, 1–15. [Google Scholar] [CrossRef]
- Li, Y.M.; Khan, M.I.; Khan, S.A.; Khan, S.U.; Shah, Z. An assessment of the mathematical model for estimating of entropy optimized viscous fluid flow towards a rotating cone surface. Sci. Rep. 2021, 11, 1–15. [Google Scholar] [CrossRef]
- Kristiawan, B.; Santoso, B.; Wijayanta, A.T.; Aziz, M.; Miyazaki, T. Heat transfer enhancement of TiO2/water nanofluid at laminar and turbulent flows: A numerical approach for evaluating the effect of nanoparticle loadings. Energies 2018, 11, 1584. [Google Scholar] [CrossRef]
- Kristiawan, B.; Rifa’i, A.I.; Enoki, K.; Wijayanta, A.T.; Miyazaki, T. Enhancing the thermal performance of TiO2/water nanofluids flowing in a helical microfin tube. Powder Technol. 2020, 376, 254–262. [Google Scholar] [CrossRef]
- Choi, S.U.S.; Eastman, A. Enhancing thermal conductivity of fluids with nanoparticles. In Proceedings of the 1995 International Mechanical Engineering Congress and Exhibition, San Francisco, CA, USA, 12–17 November 1995; Volume 66, pp. 99–105. [Google Scholar]
- Aprea, C.; Greco, A.; Maiorino, A. Enhancing the Heat Transfer in an Active Barocaloric Cooling System Using Ethylene-Glycol Based Nanofluids as Secondary Medium. Energ. Artic. 2019, 12, 2902. [Google Scholar] [CrossRef]
- Devi, S.P.A.; Devi, S.S.U. Numerical Investigation of Hydromagnetic Hybrid Cu—Al2O3/Water Nanofluid Flow over a Permeable Stretching Sheet with Suction. J. Int. J. Nonlinear Sci. Numer. Simul. 2016, 17, 249–257. [Google Scholar] [CrossRef]
- Hayat, T.; Nadeem, S. Heat transfer enhancement with Ag-CuO/water hybrid nanofluid. Results Phys. 2017, 7, 2317–2324. [Google Scholar] [CrossRef]
- Anuar, N.S.; Bachok, N.; Pop, I. Cu-Al2O3/water hybrid nanofluid stagnation point flow past MHD stretching/shrinking sheet in presence of homogeneous-heterogeneous and convective boundary conditions. Mathematics 2020, 8, 1237. [Google Scholar] [CrossRef]
- Khashi’ie, N.S.; Arifin, N.M.; Pop, I.; Wahid, N.S. Flow and heat transfer of hybrid nanofluid over a permeable shrinking cylinder with Joule heating: A comparative analysis. Alex. Eng. J. 2020, 59, 1787–1798. [Google Scholar] [CrossRef]
- Khan, A.; Saeed, A.; Tassaddiq, A.; Gul, T.; Majmaah, I.S.; Technology, I. Bio-convective and Chemically Reactive Hybrid Nanofluid Flow upon a Thin Stirring Needle with Viscous Dissipation. Sci. Rep. 2011, 11, 1–29. [Google Scholar] [CrossRef]
- Santhi, M.; Suryanarayana Rao, K.V.; Sudarsana Reddy, P.; Sreedevi, P. Heat and mass transfer characteristics of radiative hybrid nanofluid flow over a stretching sheet with chemical reaction. Heat Transf. 2020, 7, 9–12. [Google Scholar] [CrossRef]
- Al-mdallal, Q.M.; Indumathi, N.; Ganga, B.; Hakeem, A.K.A. Marangoni radiative effects of hybrid-nanofluids flow past a permeable surface with inclined magnetic field. Case Stud. Therm. Eng. 2020, 17, 100571. [Google Scholar] [CrossRef]
- Waini, I.; Ishak, A.; Pop, I. Hybrid nanofluid flow towards a stagnation point on a stretching/shrinking cylinder. Sci. Rep. 2020, 10, 1–12. [Google Scholar] [CrossRef]
- Zainal, N.A.; Nazar, R.; Naganthran, K.; Pop, I. Stability analysis of MHD hybrid nanofluid flow over a stretching/shrinking sheet with quadratic velocity. Alex. Eng. J. 2021, 60, 915–926. [Google Scholar] [CrossRef]
- Babazadeh, H.; Shah, Z.; Ullah, I.; Kumam, P.; Shafee, A. Analysis of hybrid nanofluid behavior within a porous cavity including Lorentz forces and radiation impacts. J. Therm. Anal. Calorim. 2020, 143, 1129–1137. [Google Scholar] [CrossRef]
- Khanafer, K.; Vafai, K. Applications of nanofluids in porous medium: A critical review. J. Therm. Anal. Calorim. 2019, 135, 1479–1492. [Google Scholar] [CrossRef]
- Mohyud-Din, S.T.; Ahmed, N.; Khan, U. Flow of a radioactive Casson fluid through a deformable asymmetric porous channel. Int. J. Numer. Methods Heat Fluid Flow 2017, 27, 2115–2130. [Google Scholar] [CrossRef]
- Sheikholeslami, M.; Ellahi, R.; Shafee, A.; Li, Z. Numerical investigation for second law analysis of ferrofluid inside a porous semi annulus: An application of entropy generation and exergy loss. Int. J. Numer. Methods Heat Fluid Flow 2019, 29, 1079–1102. [Google Scholar] [CrossRef]
- Masood, S.; Farooq, M.; Ahmad, S.; Anjum, A.; Mir, N.A. Investigation of viscous dissipation in the nanofluid flow with a Forchheimer porous medium. Eur. Phys. J. Plus Vol. 2019, 134, 178. [Google Scholar] [CrossRef]
- Alaidrous, A.A.; Eid, M.R. 3-D electromagnetic radiative non-Newtonian nanofluid flow with Joule heating and higher - order reactions in porous materials. Sci. Rep. 2020, 10, 1–19. [Google Scholar] [CrossRef]
- Zubair Akbar, M.; Ashraf, M.; Farooq Iqbal, M.; Ali, K. Heat and mass transfer analysis of unsteady MHD nanofluid flow through a channel with moving porous walls and medium. AIP Adv. 2016, 6, 045222. [Google Scholar] [CrossRef]
- Mishra, S.R.; Mathur, P. Williamson nanofluid flow through porous medium in the presence of melting heat transfer boundary condition: Semi-analytical approach. Multidiscip. Model. Mater. Struct. 2020, 17, 19–33. [Google Scholar] [CrossRef]
- Uddin, M.J.; Khan, W.A.; Ismail, A.M. Free convective flow of non-newtonian nanofluids in porous media with gyrotactic microorganism. J. Thermophys. Heat Transf. 2013, 27, 326–333. [Google Scholar] [CrossRef]
- Lund, L.A.; Omar, Z.; Dero, S.; Khan, I.; Baleanu, D.; Nisar, K.S. Magnetized Flow of Cu + Al2O3 + H2O Hybrid Nanofluid in Porous Medium: Analysis of Duality and Stability. Symmetry 2020, 12, 1513. [Google Scholar] [CrossRef]
- Ting, T.W.; Hung, Y.M.; Osman, M.S.; Yek, P.N. Heat and Flow Characteristics of Nanofluid Flow in Porous Microchannels. Int. J. Automot. Mech. Eng. 2018, 15, 5238–5250. [Google Scholar] [CrossRef]
- Bég, O.A.; Prasad, V.R.; Vasu, B. Numerical study of mixed bioconvection in porous media saturated with nanofluid containing oxytactic microorganisms. J. Mech. Med. Biol. 2013, 13, 1350067. [Google Scholar] [CrossRef]
- Kumar, H. Homotopy perturbtion method analysis to MHD flow of a radiative nanofluid with viscous dissipation and ohmic heating over a stretching porous plate. Therm. Sci. 2018, 22, 413–422. [Google Scholar] [CrossRef]
- Chen, C.H. Laminar mixed convection adjacent to vertical, continuously stretching sheets. Heat Mass Transf. Stoffuebertragung 1998, 33, 471–476. [Google Scholar] [CrossRef]
- Yacob, N.A.; Ishak, A. Stagnation-point flow over a nonlinearly stretching/shrinking sheet in a micropolar fluid. AIP Conf. Proc. 2014, 1602, 266–272. [Google Scholar] [CrossRef]
- Naramgari, S.; Sulochana, C. MHD flow over a permeable stretching/shrinking sheet of a nanofluid with suction/injection. Alex. Eng. J. 2016, 55, 819–827. [Google Scholar] [CrossRef]

















| Physical Properties | Au | Cu | Pure Water | Ethylene Glycol |
|---|---|---|---|---|
| Cp (J/kg K) | 129 | 385 | 4179 | 2430 |
| ρ (kg/m3) | 19,300 | 8933 | 997.1 | 1115 |
| k (W/m K) | 318 | 400 | 0.613 | 0.253 |
| 0.0 | |||
| 0.5 | |||
| 1.0 | |||
| 1.5 | |||
| 2.0 | |||
| 2.5 | |||
| 3.0 | |||
| 3.5 | |||
| 4.0 | |||
| 4.5 | |||
| 5.0 |
| 0.0 | |||
| 0.5 | |||
| 1.0 | |||
| 1.5 | |||
| 2.0 | |||
| 2.5 | |||
| 3.0 | |||
| 3.5 | |||
| 4.0 | |||
| 4.5 | |||
| 5.0 |
| Chen [32] | Zaimi et al. [33] | Naramgari and Sulochana [34] | Present Results | |
|---|---|---|---|---|
| 0.72 | 0.46315 | 0.463145 | 0.463146 | 0.46325153 |
| 1 | 0.58199 | 0.581977 | 0.581979 | 0.58198148 |
| 3 | 1.16523 | 1.165246 | 1.165249 | 1.16524542 |
| 7 | 1.89537 | 1.895403 | 1.895406 | 1.895402875 |
| 10 | 2.30796 | 2.308004 | 2.30808 | 2.308003593 |
Publisher’s Note: MDPI stays neutral with regard to jurisdictional claims in published maps and institutional affiliations. |
© 2021 by the authors. Licensee MDPI, Basel, Switzerland. This article is an open access article distributed under the terms and conditions of the Creative Commons Attribution (CC BY) license (https://creativecommons.org/licenses/by/4.0/).
Share and Cite
Rashid, U.; Iqbal, A.; Alsharif, A. Numerical Study of (Au-Cu)/Water and (Au-Cu)/Ethylene Glycol Hybrid Nanofluids Flow and Heat Transfer over a Stretching Porous Plate. Energies 2021, 14, 8341. https://doi.org/10.3390/en14248341
Rashid U, Iqbal A, Alsharif A. Numerical Study of (Au-Cu)/Water and (Au-Cu)/Ethylene Glycol Hybrid Nanofluids Flow and Heat Transfer over a Stretching Porous Plate. Energies. 2021; 14(24):8341. https://doi.org/10.3390/en14248341
Chicago/Turabian StyleRashid, Umair, Azhar Iqbal, and Abdullah Alsharif. 2021. "Numerical Study of (Au-Cu)/Water and (Au-Cu)/Ethylene Glycol Hybrid Nanofluids Flow and Heat Transfer over a Stretching Porous Plate" Energies 14, no. 24: 8341. https://doi.org/10.3390/en14248341
APA StyleRashid, U., Iqbal, A., & Alsharif, A. (2021). Numerical Study of (Au-Cu)/Water and (Au-Cu)/Ethylene Glycol Hybrid Nanofluids Flow and Heat Transfer over a Stretching Porous Plate. Energies, 14(24), 8341. https://doi.org/10.3390/en14248341

