Physics-Based Proxy Modeling of CO2 Sequestration in Deep Saline Aquifers
Abstract
:1. Introduction
2. Materials and Methods
2.1. Reservoir Model
2.2. Machine Learning Models
2.2.1. Artificial Neural Networks
2.2.2. Random Forest
2.2.3. Support Vector Regression
2.2.4. Extreme Gradient Boosting
2.3. Hyperparameters
2.4. Evaluation Metrics
- 1.
- Coefficient of Determination (R2)
- 2.
- Root Mean Square Error (RMSE)
- 3.
- Average Absolute Relative Error (AARE)where indicates the average value and and denote the simulated and predicted values, respectively.
3. Results
3.1. Effect of Mineralization in CO2 Trapping
Calcite + H+ = Ca++ + HCO3−
Kaolinite + 6H+ = 5H2O + 2Al+++ + 2SiO2 (aq)
3.2. Data for Proxy Model
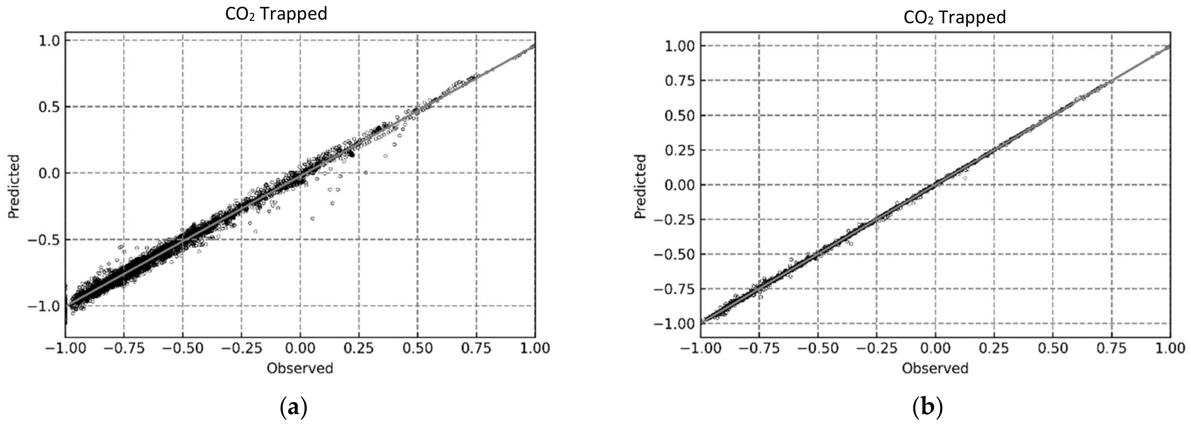
3.3. Results for Proxy Models
3.4. Application of the Workflow for a Field Case
4. Conclusions
- A proxy saline aquifer model, developed using a large set of simulated data, can be used to forecast the CO2 sequestered using various trapping mechanisms with good accuracy. Compared to the reservoir simulation method, these robust models will save time and resources. However, it should be noted that the predictive model is valid for similar geological formations and within the range of input parameters adopted in the current study. The modeling procedures can be easily adapted or reproduced for other real-world scenarios.
- Solubility or dissolution trapping is the most dominant mechanism for CO2 sequestration (Figure 6).
- CO2 mineralization is very slow and positive CO2 sequestration is only seen after 100 years of simulation period (Figure 7).
- Four different ML methods (RF, XGB, SVR, and MLP) were evaluated to predict the CO2 dissolved, mineralized, and trapping scenarios. In addition, the accuracy of simple linear regression (model) was also provided for comparative purposes. Based on the statistical accuracy results during the validation of the ML models, both RF and XGB had better predictive ability than the MLP models (Table 4). The proposed XGB model had the best CO2 trapping performance prediction with R2 values of 0.99988, 0.99968, and 0.99985 for the CO2 trapped, CO2 mineralized, and CO2 dissolved scenarios, respectively. Meanwhile, RF also showed promising results, with R2 values of 0.99972, 0.99946, and 0.99969 for the same trapping mechanisms, respectively.
- Both the proposed RF and XGB models can be considered robust CO2 trapping prediction tools for saline aquifers with similar geological characteristics. Nevertheless, a suitable method should be selected based on the quality/volume of the training data.
- The rate of CO2 injection did not show a significant impact on any of the CO2 trapping mechanisms (Figure 16). However, further studies are required to fully evaluate and conclude the effect of the injection rate on CO2 sequestration using various trapping mechanisms.
Author Contributions
Funding
Data Availability Statement
Acknowledgments
Conflicts of Interest
Glossary of Terms
| AARE | Average Absolute Relative Error |
| ANN | Artificial Neural Network |
| CCS | Carbon Capture and Storage |
| DOE | Design of Experiments |
| EOR | Enhanced Oil Recovery |
| ML | Machine Learning |
| MLP | Multilayer Perceptron |
| MTI | Mineralized Trapping Index |
| OOB | Out-of-bag |
| R2 | Coefficient of Determination |
| RF | Random Forest |
| RMSE | Root Mean Square Error |
| RSM | Response Surface Modeling |
| RTI | Residual Gas Trapping Index |
| STI | Solubility Gas Trapping Index |
| SVR | Support Vector Regression |
| XGB | Extreme Gradient Boosting |
References
- Mkemai, R.M.; Bin, G. A modeling and numerical simulation study of enhanced CO2 sequestration into deep saline formation: A strategy towards climate change mitigation. Mitig. Adapt. Strat. Glob. Chang. 2020, 25, 901–927. [Google Scholar] [CrossRef]
- Betts, R. Met Office: Atmospheric CO2 Now Hitting 50% Higher Than Pre-Industrial Levels. Available online: https://www.carbonbrief.org/met-office-atmospheric-co2-now-hitting-50-higher-than-pre-industrial-levels/ (accessed on 9 June 2022).
- U.S. Energy Information Administration. Annual Energy Outlook 2020 with Projections to 2050; (No. AEO2020); U.S. Energy Information Administration: Washington, DC, USA, 2020.
- Szulczewski, M.L.; MacMinn, C.W.; Herzog, H.J.; Juanes, R. Lifetime of carbon capture and storage as a climate-change mitigation technology. Proc. Natl. Acad. Sci. USA 2012, 109, 5185–5189. [Google Scholar] [CrossRef] [PubMed] [Green Version]
- Ranganathan, P.; Farajzadeh, R.; Bruining, H.; Zitha, P.L.J. Numerical Simulation of Natural Convection in Heterogeneous Porous media for CO2 Geological Storage. Transp. Porous Media 2012, 95, 25–54. [Google Scholar] [CrossRef] [Green Version]
- Celia, M.A.; Bachu, S.; Nordbotten, J.M.; Bandilla, K.W. Status of CO2storage in deep saline aquifers with emphasis on modeling approaches and practical simulations. Water Resour. Res. 2015, 51, 6846–6892. [Google Scholar] [CrossRef]
- Folger, P. Carbon Capture and Sequestration (CCS) in the United States; Congressional Research Service: Washington, DC, USA, 2018.
- Seo, J.G.; Mamora, D.D. Experimental and Simulation Studies of Sequestration of Supercritical Carbon Dioxide in Depleted Gas Reservoirs. J. Energy Resour. Technol. Trans. ASME 2005, 127, 1–5. [Google Scholar] [CrossRef] [Green Version]
- Merey, Ş.; Sinayuc, C. Analysis of carbon dioxide sequestration in shale gas reservoirs by using experimental adsorption data and adsorption models. J. Nat. Gas Sci. Eng. 2016, 36, 1087–1105. [Google Scholar] [CrossRef]
- Steel, L.; Liu, Q.; Mackay, E.; Maroto-Valer, M.M. CO2 solubility measurements in brine under reservoir conditions: A comparison of experimental and geochemical modeling methods. Greenh. Gases: Sci. Technol. 2016, 6, 197–217. [Google Scholar] [CrossRef]
- Metz, B.; Davidson, O.; De Coninck, H.C.; Loos, M.; Meyer, L. IPCC Special Report on Carbon Dioxide Capture and Storage; Prepared by Working Group III of the Intergovernmental Panel on Climate Change; Metz, B., Ed.; Cambridge University Press: Cambridge, UK, 2005. [Google Scholar]
- Alcalde, J.; Flude, S.; Wilkinson, M.; Johnson, G.; Edlmann, K.; Bond, C.E.; Scott, V.; Gilfillan, S.M.V.; Ogaya, X.; Haszeldine, R.S. Estimating geological CO2 storage security to deliver on climate mitigation. Nat. Commun. 2018, 9, 2201. [Google Scholar] [CrossRef]
- Doranehgard, M.H.; Dehghanpour, H. Quantification of convective and diffusive transport during CO2 dissolution in oil: A numerical and analytical study. Phys. Fluids 2020, 32, 085110. [Google Scholar] [CrossRef]
- Foroozesh, J.; Moghaddam, R.N. The Convective-Diffusive Mechanism in CO2 Sequestration in Saline Aquifers: Experimental and Numerical Simulation Study. In EUROPEC 2015; European Commission: Brussels, Belgium, 2015; Volume 2015, pp. 165–177. [Google Scholar] [CrossRef]
- Kneafsey, T.J.; Pruess, K. Laboratory experiments and numerical simulation studies of convectively enhanced carbon dioxide dissolution. Energy Procedia 2011, 4, 5114–5121. [Google Scholar] [CrossRef] [Green Version]
- Pruess, K. Numerical studies of fluid leakage from a geologic disposal reservoir for CO2 show self-limiting feedback between fluid flow and heat transfer. Geophys. Res. Lett. 2005, 32, 1–4. [Google Scholar] [CrossRef] [Green Version]
- Kong, X.-Z.; Saar, M.O. Numerical study of the effects of permeability heterogeneity on density-driven convective mixing during CO2 dissolution storage. Int. J. Greenh. Gas Control 2013, 19, 160–173. [Google Scholar] [CrossRef]
- Kumar, A.; Noh, M.; Pope, G.; Sepehrnoori, K.; Bryant, S.; Lake, L. Reservoir Simulation of CO2 Storage in Deep Saline Aquifers. In Proceedings of the DOE 14th Symposium on Improved Oil Recovery, Tulsa, OK, USA, 17–21 April 2004. [Google Scholar] [CrossRef]
- Xu, T.; A Apps, J.; Pruess, K. Numerical simulation of CO2 disposal by mineral trapping in deep aquifers. Appl. Geochem. 2004, 19, 917–936. [Google Scholar] [CrossRef]
- Birkholzer, J.T.; Zhang, Y. The Impact of Fracture–Matrix Interaction on Thermal–Hydrological Conditions in Heated Fractured Rock. Vadose Zone J. 2006, 5, 657–672. [Google Scholar] [CrossRef]
- Bryant, S.L.; Lakshminarasimhan, S.; Pope, G.A. Buoyancy-Dominated Multiphase Flow and Its Effect on Geological Sequestration of CO2. SPE J. 2008, 13, 447–454. [Google Scholar] [CrossRef]
- Doughty, C. Investigation of CO2 Plume Behavior for a Large-Scale Pilot Test of Geologic Carbon Storage in a Saline Formation. Transp. Porous Media 2010, 82, 49–76. [Google Scholar] [CrossRef] [Green Version]
- Hesse, M.A.; Orr, F.M., Jr.; Tchelepi, H.A. Gravity currents with residual trapping. Energy Procedia 2009, 1, 3275–3281. [Google Scholar] [CrossRef] [Green Version]
- Jiang, X. A review of physical modelling and numerical simulation of long-term geological storage of CO2. Appl. Energy 2011, 88, 3557–3566. [Google Scholar] [CrossRef]
- Ahmmed, B.; Appold, M.S.; Fan, T.; McPherson, B.J.; Grigg, R.B.; White, M.D. Chemical effects of carbon dioxide sequestration in the Upper Morrow Sandstone in the Farnsworth, Texas, hydrocarbon unit. Environ. Geosci. 2016, 23, 81–93. [Google Scholar] [CrossRef]
- Pan, F.; McPherson, B.J.; Esser, R.; Xiao, T.; Appold, M.S.; Jia, W.; Moodie, N. Forecasting evolution of formation water chemistry and long-term mineral alteration for GCS in a typical clastic reservoir of the Southwestern United States. Int. J. Greenh. Gas Control 2016, 54, 524–537. [Google Scholar] [CrossRef] [Green Version]
- Khan, R. Evaluation of the Geologic CO2 Sequestration Potential of the Morrow B Sandstone in the Farnsworth. Ph.D. Thesis, University of Missouri-Columbia, Columbia, MO, USA, 2017. [Google Scholar]
- Bao, K.; Yan, M.; Allen, R.; Salama, A.; Lu, L.; Jordan, K.E.; Sun, S.; Keyes, D.E. High-Performance Modeling of Carbon Dioxide Sequestration by Coupling Reservoir Simulation and Molecular Dynamics. SPE J. 2016, 21, 0853–0863. [Google Scholar] [CrossRef] [Green Version]
- Zhang, D.; Song, J. Mechanisms for Geological Carbon Sequestration. Procedia IUTAM 2014, 10, 319–327. [Google Scholar] [CrossRef] [Green Version]
- Al-Khdheeawi, E.; Vialle, S.; Barifcani, A.; Sarmadivaleh, M.; Iglauer, S. Impact of Injection Scenario on CO2 Leakage and CO2 Trapping Capacity in Homogeneous Reservoirs. In Proceedings of the Offshore Technology Conference Asia, Houston, TX, USA, 30 April–3 May 2018. [Google Scholar] [CrossRef]
- Chen, B.; Pawar, R.J. Characterization of CO2 storage and enhanced oil recovery in residual oil zones. Energy 2019, 183, 291–304. [Google Scholar] [CrossRef]
- Yang, H.S.; Kim, N.S. Determination of rock properties by accelerated neural network. In Proceedings of the 2nd North American Rock Mechanics Symposium, Montréal, QC, Canada, 19–21 June 1996; pp. 1567–1572. [Google Scholar]
- Chen, B.; Pawar, R.J. Capacity assessment and co-optimization of CO2 storage and enhanced oil recovery in residual oil zones. J. Pet. Sci. Eng. 2019, 182, 106342. [Google Scholar] [CrossRef]
- Ahmadi, M.A.; Kashiwao, T.; Rozyn, J.; Bahadori, A. Accurate prediction of properties of carbon dioxide for carbon capture and sequestration operations. Pet. Sci. Technol. 2016, 34, 97–103. [Google Scholar] [CrossRef]
- Jha, H.S.; Khanal, A.; Seikh, H.M.D.; Lee, W.J. A comparative study of outlier detection from noisy production data using machine learning algorithms. J. Nat. Gas Sci. Eng. 2022; in press. [Google Scholar]
- Le Van, S.; Chon, B.H. Effects of salinity and slug size in miscible CO2 water-alternating-gas core flooding experiments. J. Ind. Eng. Chem. 2017, 52, 99–107. [Google Scholar] [CrossRef]
- You, J.; Ampomah, W.; Sun, Q. Co-optimizing water-alternating-carbon dioxide injection projects using a machine learning assisted computational framework. Appl. Energy 2020, 279, 115695. [Google Scholar] [CrossRef]
- Thanh, H.V.; Lee, K.-K. Application of machine learning to predict CO2 trapping performance in deep saline aquifers. Energy 2022, 239, 122457. [Google Scholar] [CrossRef]
- Kim, Y.; Jang, H.; Kim, J.; Lee, J. Prediction of storage efficiency on CO2 sequestration in deep saline aquifers using artificial neural network. Appl. Energy 2017, 185, 916–928. [Google Scholar] [CrossRef]
- Lucier, A.; Zoback, M. Assessing the economic feasibility of regional deep saline aquifer CO2 injection and storage: A geomechanics-based workflow applied to the Rose Run sandstone in Eastern Ohio, USA. Int. J. Greenh. Gas Control 2008, 2, 230–247. [Google Scholar] [CrossRef]
- Ali, E.; Hadj-Kali, M.K.; Mulyono, S.; AlNashef, I.; Fakeeha, A.; Mjalli, F.S.; Hayyan, A. Solubility of CO2 in deep eutectic solvents: Experiments and modelling using the Peng–Robinson equation of state. Chem. Eng. Res. Des. 2014, 92, 1898–1906. [Google Scholar] [CrossRef]
- Khanal, A.; Weijermars, R. Pressure depletion and drained rock volume near hydraulically fractured parent and child wells. J. Pet. Sci. Eng. 2019, 172, 607–626. [Google Scholar] [CrossRef]
- Law, D.H.-S.; Bachu, S. Hydrogeological and numerical analysis of CO2 disposal in deep aquifers in the Alberta sedimentary basin. Energy Convers. Manag. 1996, 37, 1167–1174. [Google Scholar] [CrossRef]
- Birkholzer, J.T.; Zhou, Q.; Tsang, C.-F. Large-scale impact of CO2 storage in deep saline aquifers: A sensitivity study on pressure response in stratified systems. Int. J. Greenh. Gas Control 2009, 3, 181–194. [Google Scholar] [CrossRef] [Green Version]
- Benson, S.; Pini, R.; Reynolds, C.; Krevor, S. Relative Permeability Analyses to Describe Multi-Phase Flow in CO2 Storage Reservoirs; Global CCS Institute: Melbourne, VIC, Australia, 2013. [Google Scholar]
- Vo-Thanh, H.; Amar, M.N.; Lee, K.-K. Robust machine learning models of carbon dioxide trapping indexes at geological storage sites. Fuel 2022, 316, 123391. [Google Scholar] [CrossRef]
- An, P.; Moon, W.M. Reservoir characterization using feedforward neural networks. SEG Tech. Program Expand. Abstr. 1993, 258–262. [Google Scholar] [CrossRef]
- Long, W.; Chai, D.; Aminzadeh, F. Pseudo Density Log Generation Using Artificial Neural Network. In Proceedings of the SPE Western Regional Meeting, Virtual, 22–25 May 2016. [Google Scholar] [CrossRef]
- Yuri, A.; Patricia, R.; Alcocer, Y.; Rodrigues, P. Neural Networks Models for Estimation of Fluid Properties. In Proceedings of the SPE Latin American and Caribbean Petroleum Engineering Conference, Buenos Aires, Argentina, 25–28 March 2001. [Google Scholar] [CrossRef]
- Elshafei, M.; Hamada, G.M. Neural Network Identification of Hydrocarbon Potential of Shaly Sand Reservoirs. Pet. Sci. Technol. 2009, 27, 72–82. [Google Scholar] [CrossRef]
- Ayoub, M.A.; Raja, A.I.; Almarhoun, M. Evaluation Of Below Bubble Point Viscosity Correlations & Construction of a New Neural Network Model. In Proceedings of the Asia Pacific Oil and Gas Conference and Exhibition, Jakarta, Indonesia, 30 October–1 November 2007. [Google Scholar] [CrossRef]
- Denney, D. Characterizing Partially Sealing Faults—An Artificial Neural Network Approach. J. Pet. Technol. 2003, 55, 68–69. [Google Scholar] [CrossRef]
- Denney, D. Treating Uncertainties in Reservoir-Performance Prediction With Neural Networks. J. Pet. Technol. 2006, 58, 69–71. [Google Scholar] [CrossRef]
- Yasin, Q.; Ding, Y.; Baklouti, S.; Boateng, C.D.; Du, Q.; Golsanami, N. An integrated fracture parameter prediction and characterization method in deeply-buried carbonate reservoirs based on deep neural network. J. Pet. Sci. Eng. 2022, 208, 109346. [Google Scholar] [CrossRef]
- Dang, C.; Nghiem, L.; Fedutenko, E.; Gorucu, E.; Yang, C.; Mirzabozorg, A. Application of Artificial Intelligence for Mechanistic Modeling and Probabilistic Forecasting of Hybrid Low Salinity Chemical Flooding. In Proceedings of the SPE Annual Technical Conference and Exhibition, Dallas, TX, USA, 24–26 September 2018. [Google Scholar] [CrossRef]
- Zabihi, R.; Schaffie, M.; Nezamabadi-Pour, H.; Ranjbar, M. Artificial neural network for permeability damage prediction due to sulfate scaling. J. Pet. Sci. Eng. 2011, 78, 575–581. [Google Scholar] [CrossRef]
- Kim, J.; Hong, J.; Park, H. Prospects of deep learning for medical imaging. Precis. Futur. Med. 2018, 2, 37–52. [Google Scholar] [CrossRef]
- Pedregosa, F.; Varoquaux, G.; Gramfort, A.; Michel, V.; Thirion, B.; Grisel, O.; Blondel, M.; Prettenhofer, P.; Weiss, R.; Dubourg, V.; et al. Scikit-learn: Machine Learning in Python. J. Mach. Learn. Res. 2011, 12, 2825–2830. [Google Scholar]
- Zhang, D.; Qian, L.; Mao, B.; Huang, C.; Huang, B.; Si, Y. A Data-Driven Design for Fault Detection of Wind Turbines Using Random Forests and XGboost. IEEE Access 2018, 6, 21020–21031. [Google Scholar] [CrossRef]
- Shevade, S.K.; Keerthi, S.S.; Bhattacharyya, C.; Murthy, K.K. Improvements to the SMO algorithm for SVM regression. IEEE Trans. Neural Netw. 2000, 11, 1188–1193. [Google Scholar] [CrossRef] [Green Version]
- Thanh, H.V.; Sugai, Y.; Sasaki, K. Application of artificial neural network for predicting the performance of CO2 enhanced oil recovery and storage in residual oil zones. Sci. Rep. 2020, 10, 18204. [Google Scholar] [CrossRef]
- Vapnik, V.N. The Nature of Statistical Learning Theory; Springer Science and Business Media LLC: New York, NY, USA, 2000. [Google Scholar]
- Chen, T.; Guestrin, C. XGBoost: A scalable tree boosting system. In Proceedings of the 22nd ACM Sigkdd International Conference on Knowledge Discovery and Data Mining, San Francisco, CA, USA, 13–17 August 2016; pp. 785–794. [Google Scholar] [CrossRef] [Green Version]
- Brownlee, J. What Is the Difference between a Parameter and a Hyperparameter? Available online: https://machinelearningmastery.com/difference-between-a-parameter-and-a-hyperparameter/ (accessed on 26 July 2017).
- Ennis-King, J.P.; Paterson, L. Role of Convective Mixing in the Long-Term Storage of Carbon Dioxide in Deep Saline Formations. In Proceedings of the SPE Annual Technical Conference and Exhibition, Denver, CO, USA, 5–8 October 2003; pp. 2521–2532. [Google Scholar] [CrossRef]
- Green, C.; Ennis-King, J. Steady dissolution rate due to convective mixing in anisotropic porous media. Adv. Water Resour. 2014, 73, 65–73. [Google Scholar] [CrossRef]
- Rathnaweera, T.; Ranjith, P.G.; Perera, S. Experimental investigation of geochemical and mineralogical effects of CO2 sequestration on flow characteristics of reservoir rock in deep saline aquifers. Sci. Rep. 2016, 6, 19362. [Google Scholar] [CrossRef] [Green Version]
- Vo-Thanh, H.; Lee, K.K. Predicting CO2 Trapping EEciency in Saline Aquifers by Machine Learning System: Implication to Carbon Sequestration; Research Square: Durham, NC, USA, 2021. [Google Scholar] [CrossRef]
- Rosenbauer, R.; Thomas, B. Carbon dioxide (CO2) sequestration in deep saline aquifers and formations. In Developments and Innovation in Carbon Dioxide (CO2) Capture and Storage Technology; Woodhead Publishing: Sawston, UK, 2010; pp. 57–103. [Google Scholar] [CrossRef]
- Rabiu, K.O.; Han, L.; Das, D.B. CO2 Trapping in the Context of Geological Carbon Sequestration. In Reference Module in Earth Systems and Environmental Sciences; Elsevier: Amsterdam, The Netherlands, 2017; pp. 461–475. [Google Scholar] [CrossRef]
- Liu, Q.; Maroto-Valer, M.M. Investigation of the effect of brine composition and pH buffer on CO2 -brine sequestration. Energy Procedia 2011, 4, 4503–4507. [Google Scholar] [CrossRef] [Green Version]
- You, J.; Ampomah, W.; Sun, Q. Development and application of a machine learning based multi-objective optimization workflow for CO2-EOR projects. Fuel 2020, 264, 116758. [Google Scholar] [CrossRef]
- Li, B.; Zhang, N.; Wang, Y.-G.; George, A.W.; Reverter, A.; Li, Y. Genomic Prediction of Breeding Values Using a Subset of SNPs Identified by Three Machine Learning Methods. Front. Genet. 2018, 9, 237. [Google Scholar] [CrossRef]




















| Aquifer Properties | Values |
|---|---|
| Grid number | 12,500 (25 × 25 × 20) |
| Length (m) | 500 |
| Width (m) | 500 |
| Depth at the top (m) | 1200 |
| Thickness (m) | 100 |
| Permeability (md) | 100 |
| Porosity | 0.18 |
| Salinity (M) | 1.7 |
| Component | CO2 |
| Critical Pressure (atm) | 72.8 |
| Critical Temperature (K) | 304.2 |
| Acentric Factor | 0.225 |
| Molecular Weight (g/g-mole) | 44.01 |
| Models | Prediction Target | Parameters |
|---|---|---|
| Random Forest | CO2 Trapped | {‘n_estimators’: 200, ‘min_samples_split’: 2, ‘min_samples_leaf’: 1, ‘max_features’: ‘auto’, ‘max_depth’: None, ‘bootstrap’: True} |
| CO2 Mineral | ||
| CO2 Dissolved | ||
| XGB | CO2 Trapped | {‘subsample’: 0.7, ‘n_estimators’: 1000, ‘max_depth’: 20, ‘learning_rate’: 0.01, ‘colsample_bytree’: 0.8 ‘colsample_bylevel’: 0.9} |
| CO2 Mineral | {‘subsample’: 0.8, ‘n_estimators’: 500, ‘max_depth’: 20, ‘learning_rate’: 0.1, ‘colsample_bytree’: 0.8, ‘colsample_bylevel’: 0.4} | |
| CO2 Dissolved | {‘subsample’: 0.5, ‘n_estimators’: 1000, ‘max_depth’: 15, ‘learning_rate’: 0.1, ‘colsample_bytree’: 0.9, ‘colsample_bylevel’: 0.9} | |
| SVR | CO2 Trapped | {‘kernel’: ‘rbf’, ‘gamma’: 1, ‘C’: 10} |
| CO2 Mineral | {‘kernel’: ‘rbf’, ‘gamma’: 0.1, ‘C’: 100} | |
| CO2 Dissolved | {‘kernel’: ‘rbf’, ‘gamma’: 0.1, ‘C’: 1000} | |
| MLP | CO2 Trapped | {‘solver’: ‘adam’, ‘max_iter’: 200, ‘learning_rate’: ‘adaptive’, ‘hidden_layer_sizes’: (500, 500, 500, 500), ‘alpha’: 0.0001, ‘activation’: ‘tanh’} |
| CO2 Mineral | ||
| CO2 Dissolved |
| Input Parameters | Base Case Model Value | Minimum Value | Maximum Value |
|---|---|---|---|
| Grid Thickness (m) | 5 | 2.5 | 10 |
| Hysteresis residual gas saturation | 0.4 | 0.1 | 0.5 |
| Gas Injection Rate (m3/day) | 10,000 | 5000 | 15,000 |
| Permeability log value | 2 | 0 | 3.69897 |
| Vertical Permeability Divisor a | 1 | 10 | |
| Porosity | 0.18 | 0.08 | 0.4 |
| Time (year) b | 300 | 5 | 300 |
| Models | Target | Training Results | Validation with Test Dataset | ||||
|---|---|---|---|---|---|---|---|
| R2 | RMSE | AARE | R2 | RMSE | AARE | ||
| LR | CO2 Trapped | 0.50124 | 1.38554 | 1.91973 | 0.50781 | 1.26611 | 1.60303 |
| CO2 Mineral | 0.50491 | 0.50656 | 0.25660 | 0.47804 | 0.49898 | 0.24898 | |
| CO2 Dissolved | 0.71762 | 0.70373 | 0.49523 | 0.71366 | 0.63791 | 0.40693 | |
| RF | CO2 Trapped | 0.99995 | 0.07979 | 0.00637 | 0.99972 | 0.14946 | 0.02234 |
| CO2 Mineral | 0.99991 | 0.05562 | 0.00309 | 0.99946 | 0.09164 | 0.00840 | |
| CO2 Dissolved | 0.99996 | 0.06801 | 0.00462 | 0.99969 | 0.12805 | 0.01640 | |
| XGB | CO2 Trapped | 0.99999 | 0.05452 | 0.00297 | 0.99988 | 0.08690 | 0.00755 |
| CO2 Mineral | 0.99997 | 0.03957 | 0.00157 | 0.99968 | 0.07606 | 0.00579 | |
| CO2 Dissolved | 0.99999 | 0.04130 | 0.00171 | 0.99985 | 0.07781 | 0.00605 | |
| SVR | CO2 Trapped | 0.96633 | 0.67665 | 0.45786 | 0.96732 | 0.72408 | 0.52429 |
| CO2 Mineral | 0.88767 | 0.29034 | 0.08430 | 0.89275 | 0.27896 | 0.07782 | |
| CO2 Dissolved | 0.95176 | 0.41113 | 0.16903 | 0.94668 | 0.41114 | 0.16904 | |
| MLP | CO2 Trapped | 0.99185 | 0.38120 | 0.14531 | 0.99164 | 0.40102 | 0.16082 |
| CO2 Mineral | 0.98450 | 0.16825 | 0.02831 | 0.98391 | 0.18950 | 0.03591 | |
| CO2 Dissolved | 0.96463 | 0.33920 | 0.11506 | 0.96700 | 0.35014 | 0.12260 | |
Publisher’s Note: MDPI stays neutral with regard to jurisdictional claims in published maps and institutional affiliations. |
© 2022 by the authors. Licensee MDPI, Basel, Switzerland. This article is an open access article distributed under the terms and conditions of the Creative Commons Attribution (CC BY) license (https://creativecommons.org/licenses/by/4.0/).
Share and Cite
Khanal, A.; Shahriar, M.F. Physics-Based Proxy Modeling of CO2 Sequestration in Deep Saline Aquifers. Energies 2022, 15, 4350. https://doi.org/10.3390/en15124350
Khanal A, Shahriar MF. Physics-Based Proxy Modeling of CO2 Sequestration in Deep Saline Aquifers. Energies. 2022; 15(12):4350. https://doi.org/10.3390/en15124350
Chicago/Turabian StyleKhanal, Aaditya, and Md Fahim Shahriar. 2022. "Physics-Based Proxy Modeling of CO2 Sequestration in Deep Saline Aquifers" Energies 15, no. 12: 4350. https://doi.org/10.3390/en15124350
APA StyleKhanal, A., & Shahriar, M. F. (2022). Physics-Based Proxy Modeling of CO2 Sequestration in Deep Saline Aquifers. Energies, 15(12), 4350. https://doi.org/10.3390/en15124350

