Abstract
The inherent low thermal conductivity of phase change materials (PCMs) serious limits the thermal performance of latent heat thermal energy storage (LHTES) systems. In this study, the author proposed two operating modes (inside heating/outside cooling and inside cooling/outside heating)and designed seven fin configurations to improve the thermal performance and flexibility of the triple-tube LHTES unit. A transient two-dimensional numerical model was established to study the energy storage, release and simultaneous storage and release processes, and local and global entropy generation was analyzed. A comprehensive evaluation was used to propose the optimal combination of operating mode and fin configuration. Considering various performances, the combination of the operation mode of inside cooling/outside heating and the staggered fin configuration shortened the total time by 66.6% and increased the heat transfer rate by 5.6%, providing the best performance in both the continuous and simultaneous storage and release process.
1. Introduction
Nowdays, renewable energy represented by solar energy has received more and more attention due to its advantages of cleanliness and easy availability [1,2]. However, there is a mismatch in time and space in the transformation and utilization of renewable energy [3,4]. Therefore, latent heat thermal energy storage (LHTES) technology [5,6] has become an important method to alleviate the issue between energy supply and demand.
Phase change materials (PCMs) have been widely used in LHTES systems due to their nontoxicity, constant temperature, and huge latent heat. However, the inherently low thermal conductivity of PCMs severely limits the thermal performance of LHTES unit. Therefore, some methods such as attaching fins [7,8,9], metal foams [10,11], and nanoparticles [12,13] are used to improve the thermal performance of the LHTES unit. Among them, fins have received extensive attention from researchers due to their convenience and efficiency [14,15]. Many researchers have carried out research on the heat transfer enhancement of fins in a shell-tube LHTES unit, including fin length [16], number [17] and location [18,19]. M. Kazemi [20] studies the effects of uneven longitudinal fins on the improvement of heat transfer during melting. The results show that the fins installed in the lower part of the inner tube are better than the upper part due to the improved natural convection. R. Kumar [21] numerically and experimentally investigated the melting characteristics of lauric acid in a horizontal shell-tube LHTES. The natural convection was enhanced by varying the tube eccentricity, the fins length, and angle. It was found that the melting rate of the eccentricity configuration was 21% higher than that of the concentric configuration. In addition, the melting rate was maximized when the angle of the fins was 60°. S Yao [22] designed a new type of triangular fins to enhance the heat transfer of the LHTES unit, and discussed the effects of fin geometry parameters and cold source temperature on solidification performance. The results show that the triangular fins can make the solidification process more uniform and shorten the solidification time by 30.98% compared with the traditional fins.
In the above studies, the energy storage and release process are achieved by heating and cooling of the inner tube. However, with the ever-increasing demand for the efficiency of the LHTES unit, the design of triple-tube LHTES unit has attracted more and more attention. Ammar M. [23] studied the effect of longitudinal and triangular fins on the melting process of triple-tube LHTES units heated on both sides. The results show that significant enhancements of 11%, 12%, and 15% are achieved with inner, inner-outer, and outer triangular fins, respectively. The reason for the enhancement is that the triangular fins have a larger heat transfer area. S. Mat [24] carried out a research of RT82 melting in a triple-tube LHTES unit, including the heating the inner tube, outer tube and both tube. The effect of fin length on the enhancement of heat transfer was also investigated. The results showed that, for the case without fins, the melting time of the double-tube heating was reduced to 43.3%. With the increasing demand for the flexibility of LHTES units, some researchers studied the role of fins in the simultaneous heat storage and release process [25,26,27,28]. M. M. Joybari [29] adopted the strategy of inside heating/outside cooling, and studied the strengthening of the LHTES unit by longitudinal. Six developed fin arrangements were compared. It was found that increasing the fins number and length could effective improve thermal performance, and increasing the fin thickness had a negligible effect on the simultaneous storage and release. What’s more, the effects of fin size and nanoparticles on the simultaneous heat storage and release process of the LHTES unit were also analyzed, and the results showed that inserting fins was more effective [30].
In addition, to better design the LHTES unit, entropy generation evaluation had attracted attention based on the second law of thermodynamics. M. Sheikholeslami [31] studied the local entropy production distribution during the melting process of copper oxide-paraffin in a square LHTES unit, and found that the thermal entropy became smaller as the melting progressed. T. K. Nguyen [32] studied the entropy generation of nano-PCM in solidification by applying a magnetic field. The results showed that, although the magnetic field increases the entropy generation, it makes the local entropy generation more uniform and effectively promotes the solidification. Amin Shahsavar [33] analyzed the entropy generation of the PCM in the wavy channel triplex-tube heat exchanger. The effects of heat transfer fluid temperature, Reynolds number and wave amplitudes were studied. The results show that melting and solidification times are shortened for higher amplitudes and larger Reynolds numbers.
From the above literature review, it can be found that there have been some studies on heat storage/release with heating and cooling on both sides and simultaneous storage and release with inside heating/outside cooling. However, in practical applications, considering the flexibility of the operation of the LHTES unit, a guiding operating mode for the triple-tube LHTES unit should be proposed. In addition, in the existing researches, the additional heat conductivity effect [34] is often ignored in the separate storage and release process. More importantly, the effects of operating modes and fins on the local and global entropy generation of LHTES units have not been well reported. Therefore, this work proposed two operating modes: inside heating/outside cooling and inside cooling/outside heating, and proposed seven developed fin configurations to investigate the effect of fins on the heat storage, release and simultaneous storage and release processes. The effect of fins on phase transition rate, local and global entropy generation is well studied. Finally, a combination of operating mode and fin configuration was proposed for optimal thermal performance. The results of this work will provide new insights into the design and operating strategies of triple-tube LHTES units.
2. Computational Approaches and Verification
2.1. Numerical Model and Operating Modes
Figure 1 shows the numerical model and operating modes of the LHTES unit, which has an aluminum inner tube with radius (Ri) of 40 mm, an outer tube with radius (Ro) of 130 mm and thickness of 10 mm. And paraffin (RT50) [35] is selected as PCM in this paper, all thermal parameters of aluminum and RT50 are shown in Table 1. In addition, Figure 1 shows the different operating modes of the LHTES unit. Among them, red represents the hot HTF (HHTF) and blue represents the cold HTF (CHTF). In this work, the heat transfer fluid is water, and the flow rate is 1.5 L/min. In addition, the model is simplified to two-dimension due to the lower axial temperature gradient of the shell-tube LHTES unit [29]. Therefore, the boundary is isothermal, and the details will be introduced later. Figure 1a shows Mode 1, where the inner tube is heated, and the outer tube is cooled. Figure 1b corresponds to Mode 2 of the outer tube heating and the inner tube cooling. It worth noting that the high-temperature fluid flows through the wall, while the other side wall is regarded as adiabatic when the LHTES unit performs a separate energy storage process, the wall with fluid flow is called the source wall; the wall without working fluid flow is called the response wall. Similarly, for the heat release process, the low temperature fluid exchanges heat with the LHTES unit, and the other side wall is also regarded as adiabatic.
Figure 1.
Two-dimensional model and operating modes of LHTES unit.
Table 1.
Thermal parameters of PCM and aluminum.
2.2. Mathematical Modeling
The enthalpy-porosity method [35,36] is employed to model the melting and solidification process of PCM. The mush region between the solid and liquid is regarded as a porous region with porosity equal to the liquid fraction. Therefore, the liquid phase fraction from 0 to 1 represents the melting process of the PCM. In addition, the following assumptions are made for the phase change process:
- The PCMs is pure and homogeneous.
- The liquid phase of the PCMs is a Newtonian and incompressible fluid.
- The volume change due to liquid-solid phase change is negligible.
- The natural convection in the liquid phase is laminar and two-dimensional.
Afterward, the governing equations are employed in this work as below:
- (a)
- Continuity equation
- (b)
- Momentum equation
- (c)
- Energy equation
It is worth noting that in this work, the latent enthalpy of PCM is independent of pressure since the pressure of the solid-liquid phase transition is negligible [37,38].
The source term in the momentum equation is defined as:
Amush is the mushy region constant and set to 105 in this work. ε is a small value and takes 0.0001 here to prevent the division by zero. γ represents the liquid fraction in the mushy region and is defined as:
At the start of melting, the solid PCM and container are set to room temperature of T0 = 298 K. The temperature of HHTF TH = 348 K, which is derived from the hot water temperature of most industries [39]. At the start of solidification, the temperature of CHTF TC = 290 K, which is the groundwater temperature. For the simultaneous heat storage and release process, the two side walls are maintained at temperatures of 348 K and 290 K, respectively. Moreover, for all inner boundaries between the wall and PCMs, a coupled boundary condition is used in this work.
The numerical model is solved using the melting and solidification model in ANSYS Fluent 14.0. The convective terms in the momentum and energy equations are discretized using a second-order upwind interpolation scheme. The SIMPLEC algorithm is used to couple velocity and pressure. The under-relaxations of 0.2, 0.3, 0.9 and 1.0 are taken for the momentum, pressure, liquid fraction, and energy, respectively. The maximum number of iteration steps per time step is 20 steps, the convergence criteria for velocity and continuity are set to 10−3, and the convergence criteria for energy equations are set to 10−6.
In addition, entropy generation analysis is also proposed, and the local entropy generation can be derived from the transport equation for entropy written for an infinitesimal volume [40]:
where Ds/Dt is the substantial derivative of specific entropy, is the entropy-flux vector and sp is the local entropy generation rate. In the present work, entropy generation can be split into two main contributions:
where sh is the thermal entropy caused by heat transfer, sμ is the frictional entropy caused by fluid flow, which can be expressed as:
where is the heat flux, Δ is the strain tensor and τ is the stress tensor. The heat flux is obtained by the means of Fourier’s law:
where strain and stress tensor for a Newtonian incompressible fluid are expressed in the following way:
The global entropy generation over the entire LHTES unit can be immediately obtained by means of integration:
The equation for entropy generation has been implemented Fluent through user defined functions (UDF). The local temperature and velocity gradient at each time step is calculated to obtain the local entropy generation by Equation (15). The global entropy generation at each moment is obtained by performing integration.
Finally, the solution independence from grid size and time step size was examined by comparing the variations in a liquid fraction over various grid sizes and time-step sizes. The results of the liquid fraction are shown in Figure 2, and the liquid fraction is defined as:
Figure 2.
Verification of independence for the grid size and time-step size. (a) Grid size independence; (b) Time-step size independence.
After the comparison, the cell of 17,539 and a time step of 0.05 s are chosen in this work.
To verify the accuracy of the simulation, two test cases are compared with existing data in the literature [35,41], as shown in Figure 3. Figure 3a shows the comparison between the simulation results and the melting experiment of Cao [35]. In this work, the paraffin wax is encapsulated in a shell-tube LHTES unit with an initial temperature of 25 °C and the heat source maintained at 75 °C. The liquid-solid interfaces are monitored to identify the melting process. Figure 3b shows the comparison with the average temperature of PCM in Wu’s solidification experiment [41]. In this experiment, the initial temperature of the PCM was 63 °C, and the HTF temperature was 17 °C, which was pumped by the thermostatic water bath with a volume flow rate of 1.5 L/min. As expected, the maximum error is 6.4% and 6.1%, respectively. The possible reason for the deviation is that the surface of the heat source/cold source cannot be heated/cooled to a given temperature immediately in the actual experiment. Overall, the numerical results are in a good agreement with the experiments.
Figure 3.
Verification of model for the melting and solidification. (a) Verification of liquid-solid interfaces for melting; (b) Verification of average temperature for solidification.
3. Results
3.1. Comparison of No-Fin Cases with Two Operating Modes
Firstly, the no-fin cases are discussed as a basic issue before revealing the effect of the fin configuration on the triple-tube LHTES unit. The heat storage, release and simultaneous storage and release processes of the two operating modes are considered and compared.
3.1.1. Heat Storage Process
Figure 4 shows the liquid-solid interface, temperature distribution and velocity vector (left part) and local entropy generation distribution (right part) of the melting process for the two operating modes. Figure 5 shows the melting rate and liquid fraction. At 500 s, due to the huge temperature gradient, the melting rate is the highest, and there is no obvious natural convection in liquid PCM. Therefore, this stage is called the thermal conduction stage (stage I). At this stage, the melting rate of mode 2 is greater than that of mode 1 due to the larger heat transfer area. As the melting progresses, Benard convection begins to develop in the liquid PCM. At 3000 s, for mode 1, with the action of natural convection, the PCM in the upper part of the LHTES unit melts first. For mode 2, the natural convection induced along the side wall is generated in liquid region, which results in faster melting of the PCM in the upper part. Correspondingly, the melting rate of mode 2 is higher than that of mode 1 at stage II. Therefore, for mode 2, the shortening of the melting time comes from the increase of the heating area at stage I on the one hand and the stronger natural convection in the liquid at stage II on the other hand.
Figure 4.
Heat storage processes for the no-fin cases of two modes.
Figure 5.
Melting rate and liquid fraction for two modes of no-fin case in heat storage process.
At 6000 s, for mode 1, the natural convection is suppressed, and the melting rate begins to decrease significantly. It should be noted that the high-temperature liquid PCM is in contact with the response wall (outer tube) at 6000 s, resulting in an increase in the response wall temperature. The un-melted solid PCM is heated by the response wall, and the melting rate begins to increase, as shown in Figure 5a. Therefore, this stage is named the additional heat conduct stage (stage IV). Interestingly, the additional heat conduction effect of mode 2 occurs on the inner tube, and the expansion of the heat transfer area is not obvious, so the improvement of the additional conduction effect in the end of melting is weak. Overall, mode 2 has a stronger promotion effect on melting due to the advantage in stage I and II. Finally, the two modes are completely melted within 14,700 s and 5400 s, respectively.
Figure 6 shows the evolution of the frictional entropy and thermal entropy for the melting process with different modes. At the start of melting, the friction entropy is zero since there is no flow in the liquid. With the generation of natural convection, the friction entropy gradually increases. And the friction entropy of mode 2 is higher than that of mode 1 due to the stronger natural convection. Furthermore, the thermal entropy reaches a maximum at the onset of melting due to the huge temperature gradient. Notably, the thermal entropy is 6 orders of magnitude higher than the frictional entropy, which is due to the slow flow of natural convection. With the decrease of convective heat transfer intensity, both heat transfer entropy and friction entropy decrease sharply and are close to zero at the end of melting.
Figure 6.
Entropy generation composition and evolution in melting process.
3.1.2. Heat Release Process
Figure 7 and Figure 8 show the heat release process for the no-fin cases of two modes. It is worth noting that in this work, solidification is carried out after melting. Therefore, thermal stratification [42] at the end of melting is considered. At the start of solidification, the liquid temperature of mode 1 is more uniform due to the lager area of the cold wall. In addition, the thermal resistance continues to increase and the solidification rate continuous decrease of mode 1 with the thickening of the solid layer. It is worth noting that the solidification rate of mode 2 increased slowly from 0 s to 10,000 s, as shown in Figure 8. This is because the liquid-solid interface extends outward, and the liquid-solid interface increases with the progress of solidification when the inner tube is the cold source. However, the short-term increase in solidification rate does not improve the overall solidification process significantly. Finally, the total solidification time of mode 1 and mode 2 is 27,000 s and 60,000 s, respectively.
Figure 7.
Heat release processes for the no-fin cases of two modes.
Figure 8.
Solidification rate and liquid fraction for two modes of no-fin case.
Figure 9 shows the frictional entropy and thermal entropy of the solidification process. At the start of the solidification, the decrease of the cold wall temperature leads to natural convection in the liquid PCM, and the frictional entropy is the highest. For the liquid region away from the cold wall, the entropy generation is still zero because no temperature change occurs, as shown in Figure 7. In addition, the local entropy is mainly generates in the upper part of the cold wall due to the large temperature gradient. As the thermal resistance increases continuously, the heat transfer mechanism changes to heat conduction, and both the frictional entropy and the heat transfer entropy decrease sharply and are close to zero.
Figure 9.
Entropy generation composition and evolution in solidification process.
3.1.3. Simultaneous Heat Storage and Release Process
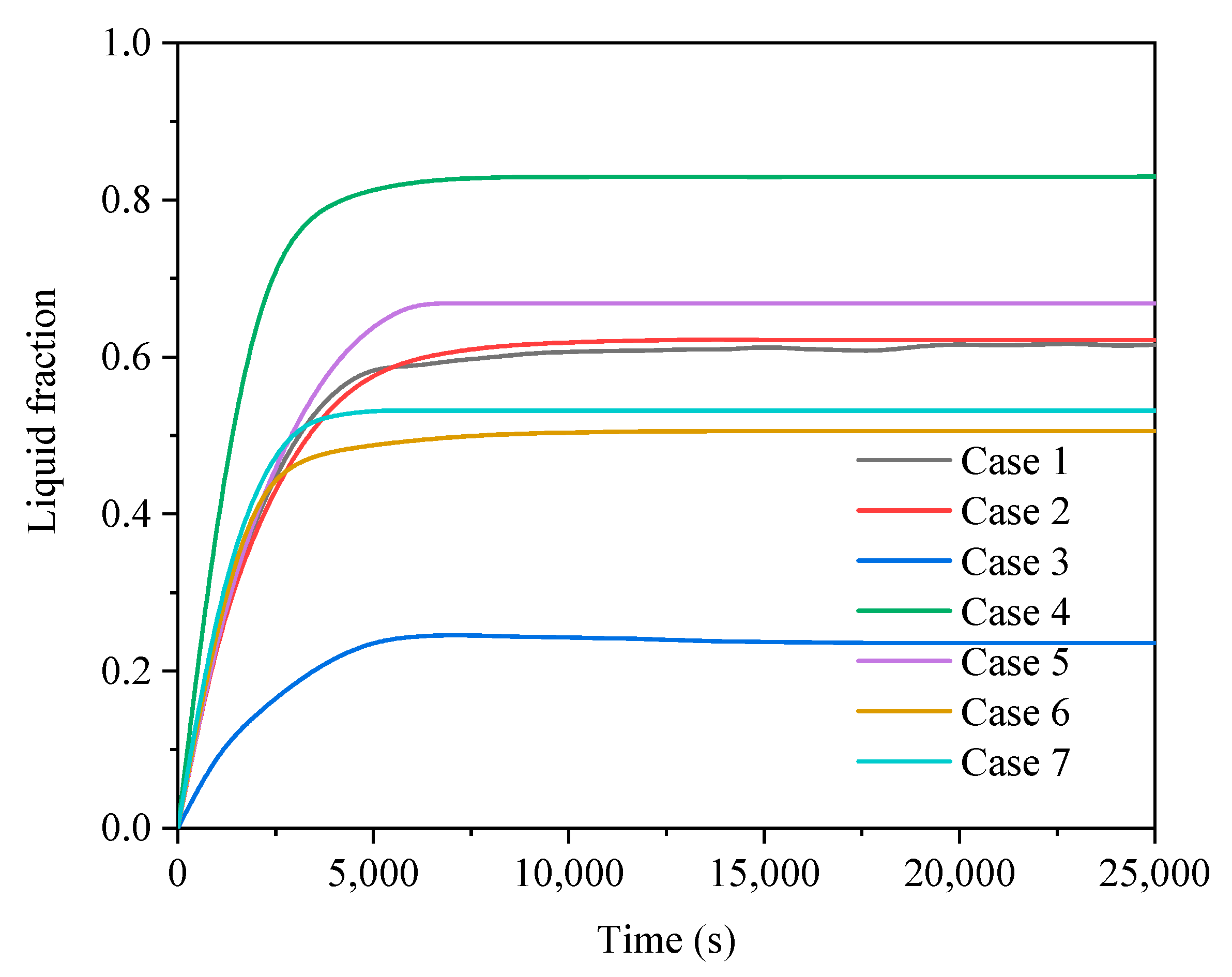
Figure 10 shows the liquid-solid interfaces, temperature distribution, velocity vector and local entropy generation during the simultaneous heat storage and release process of the two modes. From 0 s–5000 s, the liquid-solid interface and temperature distribution are not significantly different from the melting process. Then, for mode 1, natural convection greatly affects the upper half of PCM due to the upward movement of the hot PCM, while the lower half melts extremely slowly. For mode 2, natural convection in the liquid phase region results in only a very thin layer of solid-phase PCM maintained on the inner tube wall. After 15,000 s, the liquid-solid interfaces of two modes no longer change. Therefore, the steady-state is assumed to be reached. From the local entropy generation distribution, it can be found that the entropy is mainly generated on the liquid-solid interface, especially the position where the solid layer is thin. Obviously, mode 2 has a higher liquid fraction than mode 1 for no-fin case, as shown in Figure 11. Overall, mode 2 has a better thermal performance in the simultaneous storage and release process.
Figure 10.
Simultaneous heat storage and release processes for the no-fin cases of two modes.
Figure 11.
Melting rate and liquid fraction for two modes of no-fin case in simultaneous storage and release process.
For the continuous storage and release process, the total period of mode 1 is shorter as it is more effective for shortening the solidification time. While the mode 2 has a higher liquid fraction due to a lager heating area and less heat transfer hysteresis region during the simultaneous storage and release process. Therefore, different operating modes exhibit different degrees of disadvantage in the continuous and simultaneous energy storage and release processes, which results in a decrease in thermal performance of the LHTES unit in practical applications. Based on the above issues, various fin configurations are designed to enhance the thermal performance of the LHTES unit. The details of the fin parameters will be introduced later.
3.2. Comparison of Finned Cases in Different Operating Modes
Figure 12 shows the fin configurations discussed in this work. It is worth noting that in this work, the fin and the tube are integrated, therefore, only the thermal resistance of the fin is considered. As shown in Figure 12, the configuration A is that four fins with a length of 30 mm are arranged on the inner and outer wall, respectively. The fins on the inner tube are installed vertically and horizontally. The included angle of the fins on the same wall is 90°, and the fins of the inner and outer walls are staggered. The fin B is the configuration of which the fin configuration A is rotated 45° along the axis. Figure 12c shows the configuration C where all fins are installed on the outer wall. For comparison, all fins in configuration D are installed on the inner tube, and the angle between adjacent fins is 45°. Configuration E is a model with four fins on the upper part of the outer tube and four fins on the lower part of the inner tube; configuration F is obtained by rotating configuration E by 180°. In addition, configuration G has eight fins on the inner and outer walls, respectively, the fin length is 15 mm, and the fins between the inner and outer tubes are arranged in line. In addition, all the above fin thicknesses are fixed at 2 mm. And all thefin configurations and operating modes are summarized in Table 2.
Figure 12.
Fin configurations based on triple-tube LHTES unit.
Table 2.
Finned cases under different operating modes.
3.2.1. Heat Storage Process
In this part, the heat storage process with various fin configurations and operating modes are discussed. Figure 13 shows the liquid-solid interfaces, temperature distribution and velocity vector for cases 1–7 (mode 1). Figure 14 shows the liquid fraction and melting rate. According to the conclusions in the previous part, there are three main factors that affect the melting process: 1. the contact area between the heat wall and the PCM in the heat conduction stage, 2. the natural convection intensity in the natural convection enhancement stage, 3. the additional heat conduction induced by the response wall in the final stage. As shown in Figure 14, the melting rate at 1000 s is closely related to the number of fins installed on the inner tube. For the case where the inner tube fin area is the same (cases 1, 2, 5, 6 and 7), the melting rate is almost the same due to the same area of fins. It is worth noting that case 7 seems to melt slightly faster than the other cases at this stage. The reason for this phenomenon is the short fins in case 7 result in lower fin thermal resistance, higher average fin temperature and stronger heat transfer at this time.
Figure 13.
Heat storage processes for Case 1–7 (mode 1).
Figure 14.
Liquid fraction and melting rate for cases 1–7 (mode 1).
As melting progressing, at 2000 s, the velocity vector appears in the liquid region, implying the natural convection begins to dominate the melting. Then, the additional heat conduction effects from the response walls begins to appear, leading to an increase in the melting rate, as shown in Figure 14b. It is foreseeable that the staggered fins in cases 1 and 2 can make the response wall absorb the heat of the liquid PCM more effectively, thereby inducing the additional heat conduction effect in advance. For other cases, the additional heat conduction effect does not appear significantly at this time due to the long distance between the inner tube fins and outer tube fins (such as cases 5 and 6) and the poor heat penetration of the fins (case 7). In addition, for case 3, the development of natural convection is limited, and the response wall temperature does not rise to the melting point. For case 4, the melting rate still decreases due to the less remaining solid phase at this time although the additional heat conduction effect has acted on the solid region.
At the end of melting, the additional thermal conduction effect in most cases gradually weakens, and the melting rate starts to decrease. Overall, with the great advantage of the heat conduction stage, the melting time of case 4 is the shortest. Additionally, the staggered fins in cases 1 and 2 also exhibit an excellent thermal performance due to the additional thermal conductivity effect.
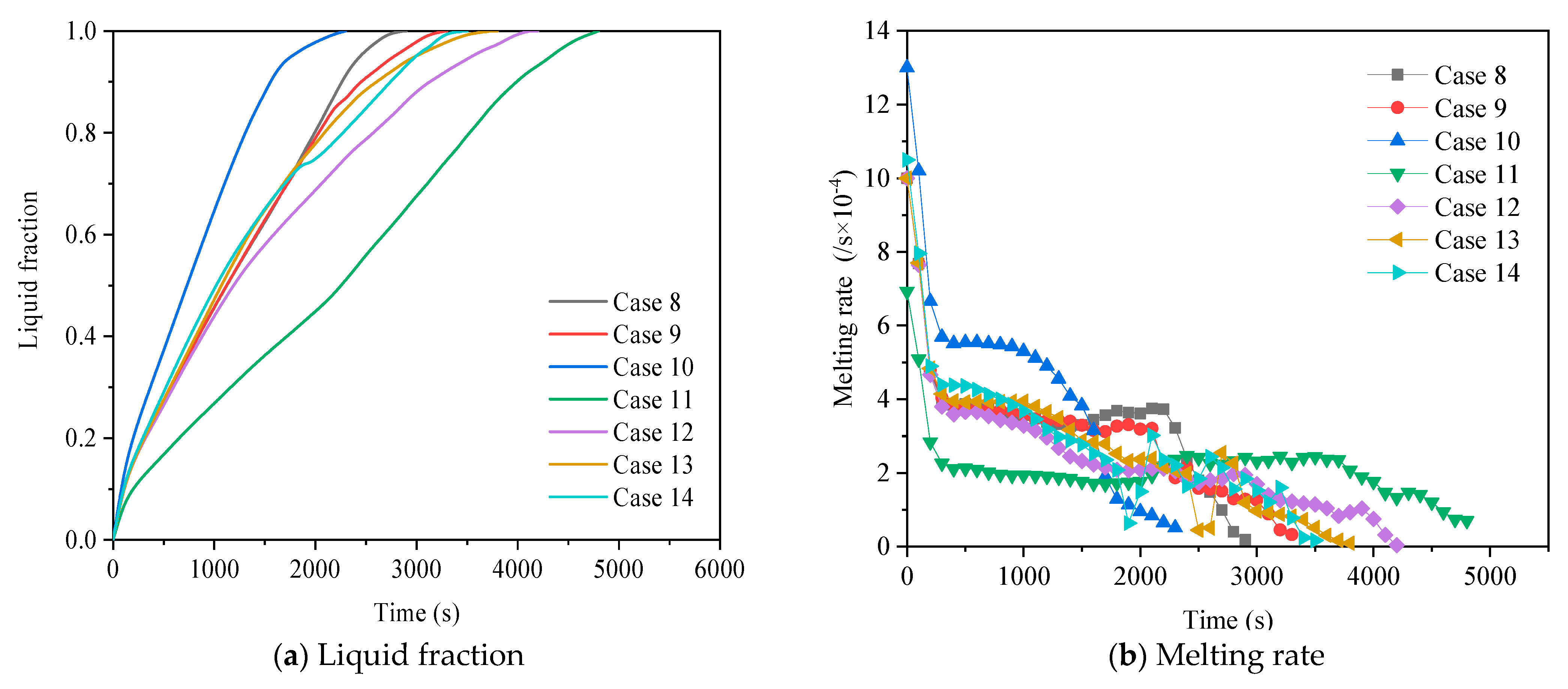
Figure 15 and Figure 16 show the liquid-solid interface, temperature distribution, velocity vector and liquid fraction of cases 8–14 in heat storage process under operating mode 2. Before 500 s, the liquid-solid interface evolves uniformly. For cases with same fin area on the outer tube, the fins thermal resistance in case 14 is lower, and the melting rate is higher in the initial stage. However, when the height of the liquid space exceeds the fin, the heat penetration of case 14 is poor, and the melting rate decreases subsequently. Also, it should be noted that the natural convection of mode 2 is stronger, so the melting of the no-fin case is more uniform, as shown in Figure 4. While the non-uniform fin configuration (cases 12 and 13) exacerbates the non-uniform melting, as shown in Figure 13. Therefore, configurations A, B, and C are the recommended arrangements for operating mode 2 during the storage process.
Figure 15.
Heat storage processes for case 8–14 (mode 2).
Figure 16.
Liquid fraction and melting rate for cases 8–14 (mode 2).
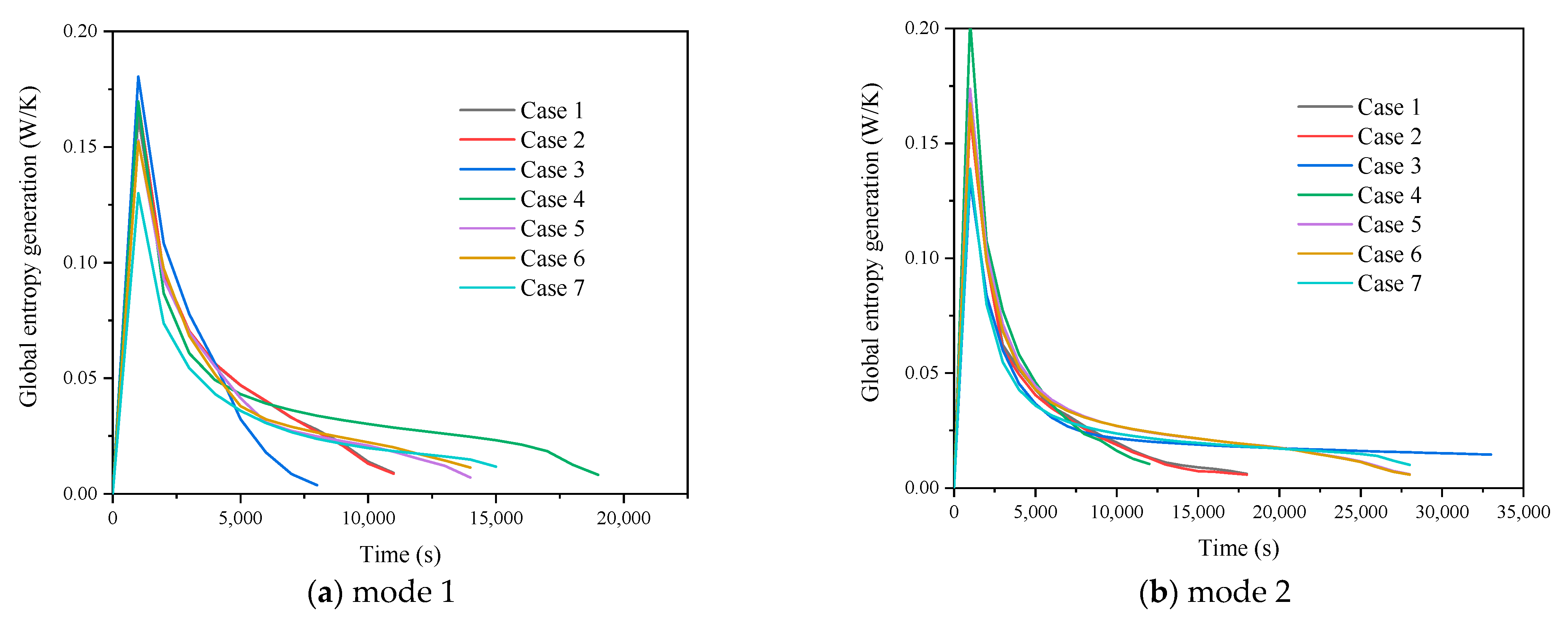
Figure 17 shows the global entropy generation for different operation modes and fins configurations. Since the fins effectively enhance the heat transfer, the global entropy generation after adding fins is greater than non-finned case. This is because the enhanced heat transfer results in greater thermal irreversibility and greater heat flux. As melting progresses, the temperature gradient decreases, resulting in a reduction in global entropy generation. The local entropy generation distribution is also investigated in order to better reveal the origin of irreversibility, as shown in Figure 13 and Figure 15. For mode 1, case 6 generates more entropy around 2000 s. At this time, the fins installed on the inner tube effectively promoted the heat transfer in the upper part, but a non-uniform temperature distribution is also generated in the LHTES unit, resulting in the increase of local entropy, as shown in Figure 13. While for mode 2, cases 13 and 14 show an increase in entropy around 2500 s, which is because the additional heat conduction effect induced by the inner tube leads to the presence of un-melted solid PCM above the inner tube. However, the liquid temperature in the upper part of the LHTES unit is high. The large temperature difference results in more local entropy generation at that location, as shown in Figure 15. Therefore, for the melting process, the design of the fins should tend to make the entropy generation more uniform, and avoid the increase of local entropy generation caused by the local large temperature gradient.
Figure 17.
Global entropy generation for cases 1–14 in melting process.
3.2.2. Heat Release Process
Figure 18 shows the liquid-solid interface, temperature distribution during the release process of cases 1–7, and Figure 19 shows the evolution of the liquid fraction. At the beginning of solidification, the evolution of the liquid-solid interfaces is closely related to the fin shape. Obviously, case 3 has the fastest solidification rate due to the largest cold wall area and stronger thermal penetration. The PCM completely solidifies within 6500 s. In sharp contrast, for case 4, the additional heat conduction effect appears to be more obvious at 10,000 s, but the solidification process is still the slowest. For the cases with the same fin number on the inner and outer walls (cases 1, 2, 5, 6, and 7), the more uniform fins of cases 1 and 2 lead to a more uniform temperature distribution. However, the non-uniform arrangement in cases 5 and 6 exacerbate the non-uniform temperature distribution, resulting in the formation of the heat transfer hysteresis zone. Finally, cases 1 and 2 are completely solidified within 11,000 s with more uniform temperature distribution and better heat penetration.
Figure 18.
Heat release processes for case 1–7 (mode 1).
Figure 19.
Liquid fraction for cases 1–7 in solidification (mode 1).
The solidification process and liquid fraction under mode 2 are shown in Figure 20 and Figure 21, respectively. According to our previous discussion, lager cold wall area and more uniform fins can effectively promote the solidification, while the additional heat conduction has a little effect on solidification. This is also verified in the cases of mode 2. case 11 reaches complete solidification in 12,000 s with the more fins number on the inner tube. And thetemperature distribution of cases 8 and 9 is more uniform, the PCM is completely solidified within 20,000 s.
Figure 20.
Heat release processes for case8–14 (mode 2).
Figure 21.
Liquid fraction for cases 8–14 in solidification (mode 2).
Figure 22 shows the global entropy generation for cases 1–14 in solidification process. Different from the melting process, the entropy in solidification is mainly concentrated around the fins, as shown in Figure 18 and Figure 20. The reason for this phenomenon is that the heat transfer in solidification is dominated by heat conduction, and the temperature gradient mainly exists in solid region. After 2500 s, the local entropy at the connection between the fin and the cold wall (fin root) decreases, while the entropy at the fin tip becomes obvious. This is because that the solid phase at the root of the fin gradually thickens and the temperature gradient decreases. It can be predicted that increasing the number of fins increases the entropy generation at the beginning of solidification, also increases the rate of energy release. In the later stage, the cases with more fins (case 3 in mode 1 and case 4 in mode 2) induce a more uniform temperature distribution with less entropy generation than the other cases. For the same volume of fins on the inner and outer tubes, the non-uniform fin configuration produces obvious local entropy at the cold source, especially around 10,000 s. In addition, in cases 7 and 14, the higher number of fins resulted in higher local entropy at the fin tips at 10,000 s. Therefore, for the solidification process, the design should tend to make the local entropy generation distribution as uniform as possible, the recommended configuration is evenly installed and the longer fins rather than more.
Figure 22.
Global entropy generation for cases 1–14 in solidification process.
3.2.3. Simultaneous Heat Storage and Release Process
Figure 23 shows the liquid-solid interface, temperature distribution, velocity vector and local entropy generation in the simultaneous storage and release process (mode 1). For the simultaneous storage and release process, the liquid fraction is related to the inner tube fins. As shown in Figure 24, the liquid fraction for case 4 is the highest due to the largest heat transfer area. For case 3, the liquid region continues to expand upward with the action of natural convection, and the melting at the bottom is extremely slow. Therefore, the liquid fraction and the entropy generation of case 3 is the lowest. For cases where the number of inner and outer tube fins is the same, the liquid fraction of case 5 with non-uniform fins is the highest. On the one hand, the natural convection caused by the buoyancy force effectively promotes the melting of the upper PCM; on the other hand, the heat conduction of lower PCM is improved by fins connected to the inner tube. Furthermore, the liquid fraction of case 6 is low due to the poor thermal penetration at the bottom of the LHTES unit.
Figure 23.
Simultaneous heat storage and release process for cases 1–7 (mode 1).
Figure 24.
Liquid fraction for cases 1–7 (mode 1).
Figure 25 shows the simultaneous storage and release process under mode 2, and Figure 26 shows the liquid fraction of cases 8–14. From the liquid fraction, it can be found that the overall thermal performance of mode 2 is better than that of mode 1 during simultaneous storage and release process due to the lager heating area and stronger natural convection. Specifically, the uniform heating effect of the fins in case 10 results in a thin layer of PCM maintained on the inner tube, entropy is generated around the inner tube, the liquid phase fraction is the highest, and the time required to reach the steady state is the shortest. In addition, the liquid fraction of case 8 is slightly higher than that of case 9, which is because a small part of the solid phase accumulated in the upper part of the inner tube in case 9. For cases 11, 12 and 13, the fins on the inner tube wall are more concentrated, and a large amount of solid PCM accumulates between the fins, so the liquid fraction is low than other cases.
Figure 25.
Simultaneous heat storage and release process for cases 8–14 (mode 2).
Figure 26.
Liquid fraction for cases 8–14 (mode 2).
3.3. Comprehensive Evaluation
In the previous discussion, the effects of various operating modes and fin configurations on heat storage, release and simultaneous storage and release processes are investigated respectively. What’s more, a comprehensive evaluation is required to obtain a recommended combination of operating modes and fin configurations, as shown in Table 3. The total time of various fin configurations under different operating modes, and the maximum liquid fraction under the simultaneous storage and release process is listed respectively. In addition, the heat transfer rate for the simultaneous storage and release process is also considered, which is defined as the heat absorbed/released by the hot/cold wall per time when the maximum liquid fraction is reached.
Table 3.
Comprehensive evaluation for various cases (the improved thermal performances are highlighted in blod).
As shown in Table 3, the improved thermal performances are highlighted in blod. Overall, the total storage and release time for operating mode 1 is shorter. While the maximum liquid fraction during simultaneous storage and release process for mode 2 appears to be higher. Therefore, recommending a compromise combination seems to be a better choice. For operating mode 1, the configuration D has the best thermal performance. The total time is shortened by 45.7%, the maximum liquid fraction is increased by 68.2%, and the heat transfer rate is increased by 295%. For operating mode 2, the configurations A and B show excellent thermal performance. The total storage and release time is effectively shortened by 66.6%. Taken together, the combination of operating mode 2 with staggered fin configuration A is recommended for the optimal thermal performance.
4. Discussion
In this paper, seven fin configurations were proposed to enhance the heat transfer of PCM in a triple-tube LHTES unit. The heat storage, release and simultaneous storage and release processes were investigated to reveal the promotion of fins and operating modes on thermal performance. Transient simulations were performed to reveal the liquid-solid interface, temperature distribution and velocity vector. In addition, the analysis of the local entropy and global entropy generation is also carried out. The main conclusions are as follows:
- (1)
- The composition of entropy showed that the frictional entropy could be ignored compared to the thermal entropy due to the lower velocity gradient in liquid PCM in LHTES systems.
- (2)
- Inserting fins would increase entropy generation. However, uniformly arranged and longer fins could effectively promote the uniformity of local entropy generation and reduce the of global entropy generation.
- (3)
- Based on the various evaluation parameters, the combination of fin configuration A and operating mode 2 shortens the total time by 66.6% and increases the heat transfer rate by 5.6%, shows the best thermal performance.
Author Contributions
Resources, data curation, writing and original draft, J.W.; conceptualization, methodology and writing, Y.Z.; software and visualization, Q.C. and K.S. All authors have read and agreed to the published version of the manuscript.
Funding
This study was supported by National Natural Science Foundation of China (No. 52076033, 51836001), Department of Science and Technology of Jilin Province (No. 20190103065JH), and Project of Key Laboratory of Thermal Management and Energy Utilization of Aircraft, Ministry of Industry and Information Technology (No. CEPE2020013).
Institutional Review Board Statement
Not applicable.
Informed Consent Statement
Not applicable.
Data Availability Statement
Not applicable.
Acknowledgments
The authors wish to acknowledge the support provided by the members of the Northeast Electric Power University.
Conflicts of Interest
The authors declare no conflict of interest.
References
- Dincer, I. Renewable energy and sustainable development: A crucial review. Renew. Sustain. Energy Rev. 2011, 4, 157–175. [Google Scholar] [CrossRef]
- Kiehbadroudinezhad, M.; Merabet, A.; Abo-Khalil, A.G. Intelligent and Optimized Microgrids for Future Supply Power from Renewable Energy Resources: A Review. Energies 2022, 15, 3359. [Google Scholar] [CrossRef]
- Javadi, F.S.; Metselaar, H.; Ganesan, P. Performance improvement of solar thermal systems integrated with phase change materials (PCM), a review. Sol. Energy 2020, 206, 330–352. [Google Scholar] [CrossRef]
- Dheep, G.R.; Sreekumar, A. Influence of nanomaterials on properties of latent heat solar thermal energy storage materials—A review. Energy Convers. Manag. 2014, 83, 133–148. [Google Scholar] [CrossRef]
- Soares, N.; Costa, J.J.; Gaspar, A.R.; Santos, P. Review of passive PCM latent heat thermal energy storage systems towards buildings’ energy efficiency. Energy Build. 2013, 59, 82–103. [Google Scholar] [CrossRef]
- Gadhave, P.; Pathan, F.; Kore, S. Comprehensive Review of Phase Change Material Based Latent Heat Thermal Energy Storage System. Int. J. Ambient Energy 2021, 1–26. [Google Scholar] [CrossRef]
- Mazhar, A.R.; Shukla, A.; Liu, S. Numerical analysis of rectangular fins in a PCM for low-grade heat harnessing. Int. J. Therm. Sci. 2020, 152, 106306. [Google Scholar] [CrossRef]
- Rk, A.; Ma, A.; Ja, B. Studies on optimum fins number in PCM-based heat sinks. Energy 2019, 171, 1088–1099. [Google Scholar]
- Abdelgaied, M.; Zakaria, Y.; Kabeel, A.E. Improving the tubular solar still performance using square and circular hollow fins with phase change materials. J. Energy Storage 2021, 38, 102564. [Google Scholar] [CrossRef]
- Zhao, C.; Opolot, M.; Liu, M. Numerical study of melting performance enhancement for PCM in an annular enclosure with internal-external fins and metal foams. Int. J. Heat Mass Trans. 2020, 150, 119348. [Google Scholar] [CrossRef]
- Huang, X.; Sun, C.; Chen, Z.; Han, Y. Experimental and numerical studies on melting process of phase change materials (PCMs) embedded in open-cells metal foams. Int. J. Therm. 2021, 170, 107151. [Google Scholar] [CrossRef]
- Nitsas, M.T.; Koronaki, I.P. Performance Analysis of nanoparticles-enhanced PCM: An Experimental Approach. Therm. Sci. Eng. Prog. 2021, 25, 100963. [Google Scholar] [CrossRef]
- Zhang, X.; Niu, J.; Wu, J.Y. Development and characterization of novel and stable silicon nanoparticles-embedded PCM-in-water emulsions for thermal energy storage. Appl. Energy 2019, 238, 1407–1416. [Google Scholar] [CrossRef]
- Sodhi, G.S.; Muthukumar, P. Compound charging and discharging enhancement in multi-PCM system using non-uniform fin distribution. Renew. Energy. 2021, 171, 299–314. [Google Scholar] [CrossRef]
- Mao, Q.; Li, Y. Experimental and numerical investigation on enhancing heat transfer performance of a phase change thermal storage tank. J. Energy Storage 2020, 31, 101725. [Google Scholar] [CrossRef]
- Fan, R.; Zheng, N.; Sun, Z. Evaluation of fin intensified phase change material systems for thermal management of Li-ion battery modules. Int. J. Heat Mass Trans. 2021, 166, 120753. [Google Scholar] [CrossRef]
- Kalapala, L.; Devanuri, J.K. Influence of fin parameters on melting and solidification characteristics of a conical shell and tube latent heat storage unit. J. Energy Resour. Technol. 2021, 144, 14. [Google Scholar] [CrossRef]
- Guo, J.; Liu, Z.; Yang, B. Melting assessment on the angled fin design for a novel latent heat thermal energy storage tube. Renew. Energy 2022, 183, 406–422. [Google Scholar] [CrossRef]
- Mahood, H.B.; Mahdi, M.S.; Monjezi, A.A.; Khadom, A.A.; Campbell, A.N. Numerical investigation on the effect of fin design on the melting of phase change material in a horizontal shell and tube thermal energy storage. J. Energy Storage 2020, 29, 101331. [Google Scholar] [CrossRef]
- Kazemi, M.; Hosseini, M.J.; Ranjbar, A.A. Improvement of Longitudinal Fins Configuration in Latent Heat Storage Systems. Renew. Energy 2017, 116, 447–457. [Google Scholar] [CrossRef]
- Kumar, R.; Verma, P. An experimental and numerical study on effect of longitudinal finned tube eccentric configuration on melting behaviour of lauric acid in a horizontal tube-in-shell storage unit. J. Energy Storage 2020, 30, 101396. [Google Scholar] [CrossRef]
- Yao, S.; Huang, X. Study on solidification performance of PCM by longitudinal triangular fins in a triplex-tube thermal energy storage system. Energy 2021, 227, 120507. [Google Scholar] [CrossRef]
- Abdulateef, A.M.; Mat, S.; Sopian, K. Experimental and computational study of melting phase-change material in a triplex tube heat exchanger with longitudinal/triangular fins. Sol. Energy 2017, 155, 142–153. [Google Scholar] [CrossRef]
- Mat, S.; Al-Abidi, A.A.; Sopian, K.; Sulaiman, M.Y.; Mohammad, A.T. Enhance heat transfer for PCM melting in triplex tube with internal–external fins. Energy Convers. Manag. 2013, 74, 223–236. [Google Scholar] [CrossRef]
- Sharifi, N.; Faghri, A.; Bergman, T.L. Simulation of heat pipe-assisted latent heat thermal energy storage with simultaneous charging and discharging. Int. J. Heat Mass Trans. 2015, 80, 170–179. [Google Scholar] [CrossRef] [Green Version]
- Fang, Y.; Qu, Z.G.; Zhang, J.F.; Xu, H.T.; Qi, G.L. Simultaneous charging and discharging performance for a latent thermal energy storage system with a microencapsulated phase change material. Appl Energy 2020, 275, 115353. [Google Scholar] [CrossRef]
- Mahdi, J.M.; Mohammed, H.I.; Talebizadehsardari, P.; Ghalambaz, M.; Majdi, H.S.; Yaïci, W.; Giddings, D. Simultaneous and consecutive charging and discharging of a PCM-based domestic air heater with metal foam. Appl. Therm. Eng. 2021, 197, 117408. [Google Scholar] [CrossRef]
- Omojaro, P.; Breitkopf, C. Investigating and Modeling of Simultaneous Charging and Discharging of a PCM Heat Exchanger. Energy Procedia 2014, 48, 413–422. [Google Scholar] [CrossRef] [Green Version]
- Joybari, M.M.; Haghighat, F.; Seddegh, S. Heat transfer enhancement of phase change materials by fins under simultaneous charging and discharging. Energ. Convers. Manag. 2017, 152, 136–156. [Google Scholar] [CrossRef]
- Mahdi, J.M.; Lohrasbi, S.; Ganji, D.D. Simultaneous energy storage and recovery in the triplex-tube heat exchanger with PCM, copper fins and Al2O3 nanoparticles. Energ. Convers. Manag. 2019, 180, 949–961. [Google Scholar] [CrossRef]
- Rathod, M.K.; Banerjee, J. Entropy generation assessment of shell and tube latent heat storage unit. Int. J. Exergy 2015, 16, 97–108. [Google Scholar] [CrossRef]
- Nguyen, T.K.; Sheikholeslami, M.; Shehzad, S.A.; Shafee, A.; Alghamdi, M. Solidification entropy generation via FEM through a porous storage unit with applying a magnetic field. Phys. Scr. 2019, 94, 095207. [Google Scholar] [CrossRef]
- Shahsavar, A.; Majidzadeh, A.H.; Mahani, R.B.; Talebizadehsardari, P. Entropy and thermal performance analysis of PCM melting and solidification mechanisms in a wavy channel triplex-tube heat exchanger. Renew. Energy 2021, 165, 52–72. [Google Scholar] [CrossRef]
- Wu, J.; Chen, Q.; Zhang, Y. A novel compensating fins configuration for improving the thermal performance of latent heat thermal energy storage unit. J. Energy Storage 2021, 44, 103328. [Google Scholar] [CrossRef]
- Cao, X.; Yuan, Y.; Xiang, B. Effect of natural convection on melting performance of eccentric horizontal shell and tube latent heat storage unit. Sustain. Cities Soc. 2018, 38, 571–581. [Google Scholar] [CrossRef]
- Nie, C.; Liu, J.; Deng, S. Effect of geometry modification on the thermal response of composite metal foam/phase change material for thermal energy storage. Int. J. Heat Mass Trans. 2021, 165, 120652. [Google Scholar] [CrossRef]
- Mallya, N.; Haussener, S. Buoyancy-driven melting and solidification heat transfer analysis in encapsulated phase change materials. Int. J. Heat Mass Trans. 2021, 164, 120525. [Google Scholar] [CrossRef]
- Oktariani, E.; Tahara, K.; Nakashima, K. Experimental Investigation on the Adsorption Process for Steam Generation Using a Zeolite–Water System. J. Chem. Eng. Jpn. 2012, 45, 355–362. [Google Scholar] [CrossRef]
- Bing, X.; Tahara, K.; Nakashima, K. Numerical simulation for steam generation process in a novel zeolite–water adsorption heat pump. J. Chem. Eng. Jpn. 2012, 45, 408–416. [Google Scholar]
- Guelpa, E.; Sciacovelli, A.; Verda, V. Entropy generation analysis for the design improvement of a latent heat storage system. Energy 2013, 53, 128–138. [Google Scholar] [CrossRef] [Green Version]
- Wu, S.; Huang, Y.; Zhang, C. Role of tree-shaped fins in charging performance of a latent heat storage unit. Int. J. Energy Res. 2020, 44, 4800–4811. [Google Scholar] [CrossRef]
- Wang, Z.; Zhang, H.; Dou, B.; Zhang, G.; Wu, W. Influence of inlet structure on thermal stratification in a heat storage tank with PCMs: CFD and experimental study. Appl. Eng. 2019, 162, 114151. [Google Scholar] [CrossRef]
Publisher’s Note: MDPI stays neutral with regard to jurisdictional claims in published maps and institutional affiliations. |
© 2022 by the authors. Licensee MDPI, Basel, Switzerland. This article is an open access article distributed under the terms and conditions of the Creative Commons Attribution (CC BY) license (https://creativecommons.org/licenses/by/4.0/).

























