Performance Analysis of Ultra-Scale Downwind Wind Turbine Based on Rotor Cone Angle Control
Abstract
1. Introduction
2. Reference Wind Turbine and Simulation Tool
2.1. Reference Wind Turbine
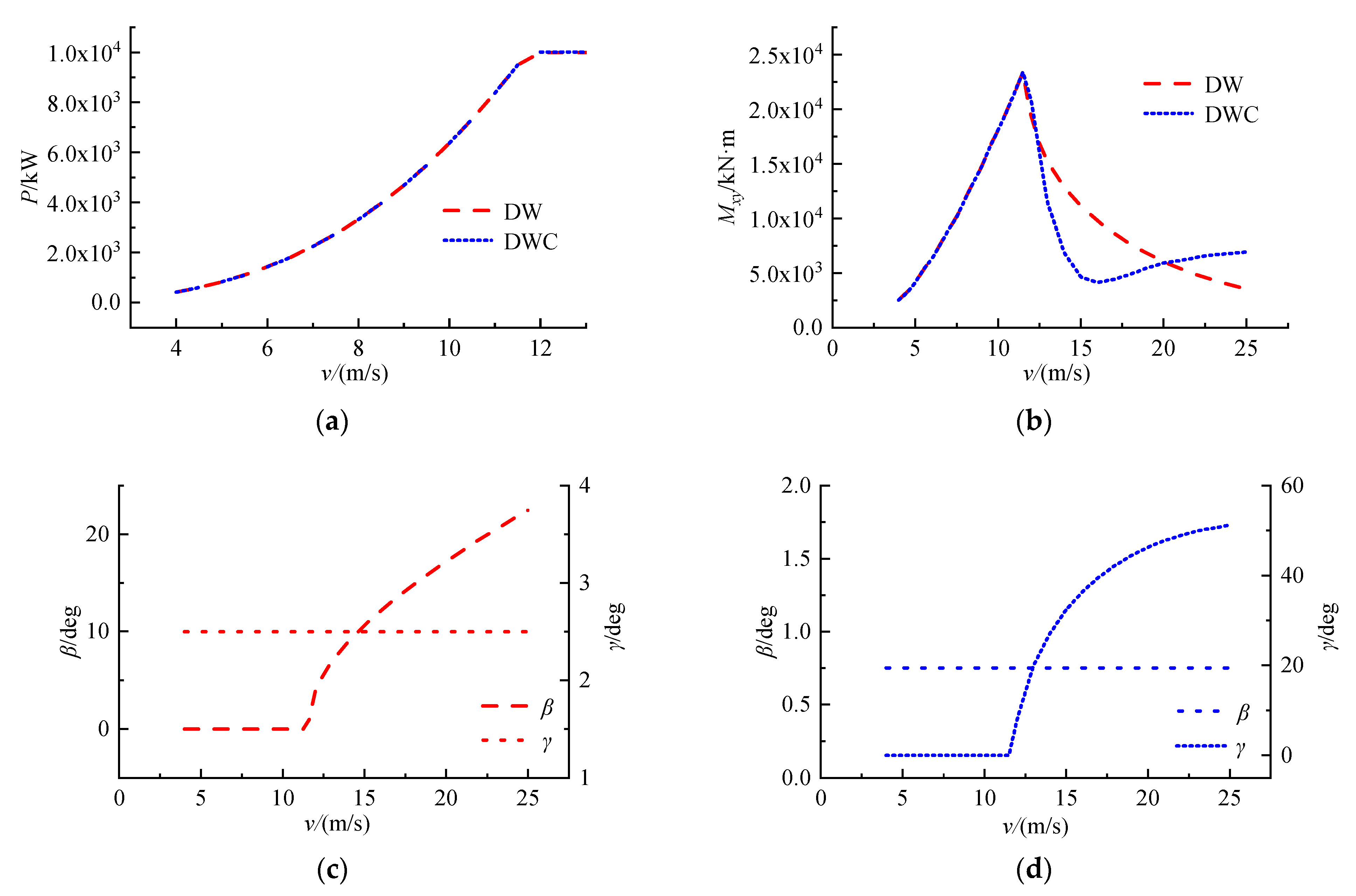
- DW: downwind rotor with the same aerodynamic shape and structural parameters as UW’s blade and the same control strategy as UW’s rotor.
- DWC: same rotor as the DW, but replacing pitch control with rotor cone angle control.
- DW6: applying DW’s control strategy. The blade length and chord length are increased by 6%. The mass and stiffness distributions of the blade are redesigned separately to make the weight of the DW6 blades equal to those in UW cases.
- DW6IC: same rotor as the DW6, but replacing pitch control with improved rotor cone angle control, which is described in Section 3.4.
2.2. Simulation Tool
3. Results and Discussion
3.1. Comparison of Downwind and Upwind Rotors
3.2. Comparison of Baseline Upwind Rotor and Downwind Rotor with Extended Blades
3.3. Comparison of Downwind Rotors with Rotor Cone Angle Control and with Pitch Control
3.4. Comparison of Downwind Rotors with Normal and Improved Rotor Cone Angle Control
3.5. Discussion
4. Conclusions
- The downwind rotor has great advantages in reducing the blade root load and the downwind blade can be longer and less stiffness because of the relaxed tower clearance constraint. The DW reduces the peak load of the blade root by 22.54% at the expense of annual energy production loss of 1.57%. The DW6 achieves 14.82% reduction in the peak load of the blade root and a 1.67% increase in annual energy production than UW under the same blade weight via extending the length of the blade and redesigning the mass and stiffness distributions of the blade.
- The DWT has better performance by replacing pitch control with rotor cone angle control. The DWC with rotor cone angle controller has the same aerodynamic performance as the DW. However, it has greater reduction rate of blade root load at over-rated wind speed. It reaches the minimum blade root load at a wind speed of 16 m/s. Compared with the UW, the DW6IC with improved rotor cone angle control reduces the peak load of the blade root by 22.54%, and the annual energy production increases by 1.12%, which is more suitable for offshore wind farms with high wind speed.
Author Contributions
Funding
Conflicts of Interest
References
- Koh, J.H.; Ng, E.Y.K. Downwind offshore wind turbines: Opportunities, trends and technical challenges. Renew. Sustain. Energy Rev. 2016, 54, 797–808. [Google Scholar] [CrossRef]
- Bortolotti, P.; Ivanov, H.; Johnson, N.; Barter, G.E.; Veers, P.; Namura, N. Challenges, opportunities, and a research roadmap for downwind wind turbines. Wind Energy 2022, 25, 354–367. [Google Scholar] [CrossRef]
- Reiso, M.; Hagen, T.R.; Muskulus, M. A calibration method for downwind wake models accounting for the unsteady behaviour of the wind turbine tower shadow behind monopile and truss towers. J. Wind Eng. Ind. Aerodyn. 2013, 121, 29–38. [Google Scholar] [CrossRef]
- Dose, B.; Rahimi, H.; Herráez, I.; Stoevesandt, B.; Peinke, J. Fluid-structure coupled computations of the NREL 5 MW wind turbine by means of CFD. Renew. Energy 2018, 129, 591–605. [Google Scholar] [CrossRef]
- Dose, B.; Rahimi, H.; Stoevesandt, B.; Peinke, J. Fluid-structure coupled investigations of the NREL 5 MW wind turbine for two downwind configurations. Renew. Energy 2020, 146, 1113–1123. [Google Scholar] [CrossRef]
- Ning, A.; Petch, D. Integrated design of downwind land-based wind turbines using analytic gradients. Wind Energy 2016, 19, 2137–2152. [Google Scholar] [CrossRef]
- Bortolotti, P.; Bottasso, C.L.; Croce, A.; Sartori, L. Integration of multiple passive load mitigation technologies by automated design optimization-The case study of a medium-size onshore wind turbine. Wind Energy 2019, 22, 65–79. [Google Scholar] [CrossRef]
- Chetan, M.; Yao, S.L.; Griffith, D.T. Multi-fidelity digital twin structural model for a sub-scale downwind wind turbine rotor blade. Wind Energy 2021, 24, 1368–1387. [Google Scholar] [CrossRef]
- Xu, B.; Li, Z.; Zhu, Z.; Cai, X.; Wang, T.; Zhao, Z. The parametric modeling and two-objective optimal design of a downwind blade. Front. Energy Res. 2021, 9, 708230. [Google Scholar] [CrossRef]
- Namura, N.; Shinozaki, Y. Design optimization of 10 MW downwind turbines with flexible blades and comparison with upwind turbines. J. Phys. Conf. Ser. 2020, 1618, 042021. [Google Scholar] [CrossRef]
- Frau, E.; Kress, C.; Chokani, N.; Abhari, R.S. Comparison of performance and unsteady loads of multimegawatt downwind and upwind turbines. J. Sol. Energy Eng. 2015, 137, 041004. [Google Scholar] [CrossRef]
- Kress, C.; Chokani, N.; Abhari, R.S. Downwind wind turbine yaw stability and performance. Renew. Energy 2015, 83, 1157–1165. [Google Scholar] [CrossRef]
- Kress, C.; Chokani, N.; Abhari, R.S. Design considerations of rotor cone angle for downwind wind turbines. J. Eng. Gas Turbines Power 2016, 138, 052602. [Google Scholar] [CrossRef]
- Kress, C.; Chokani, N.; Abhari, R.S. Passive minimization of load fluctuations on downwind turbines. Renew. Energy 2016, 89, 543–551. [Google Scholar] [CrossRef]
- Kress, C.; Chokani, N.; Abhari, R.S.; Hashimoto, T.; Watanabe, M.; Sano, T.; Saeki, M. Impact of flow inclination on downwind turbine loads and power. J. Phys. Conf. Ser. 2016, 753, 022011. [Google Scholar] [CrossRef]
- Larwood, S.; Chow, R. Reconsidering downwind operation by analysis of the National Renewable Energy Laboratorys Phase VI data. Wind Eng. 2019, 43, 133–146. [Google Scholar] [CrossRef]
- Anderson, B.; Branlard, E.; Vijayakumar, G.; Johnson, N. Investigation of the nacelle blockage effect for a downwind turbine. J. Phys. Conf. Ser. 2020, 1618, 062062. [Google Scholar] [CrossRef]
- Wang, Z.Y.; Tian, W.; Hu, H. A comparative study on the aeromechanic performances of upwind and downwind horizontal-axis wind turbines. Energy Convers. Manag. 2018, 163, 100–110. [Google Scholar] [CrossRef]
- Rasmussen, F.; Petersen, J.T.; Vølund, P.; Leconte, P.; Szechenyi, E.; Westergaard, C. Soft Rotor Design for Flexible Turbines: Final Report; Risø National Laboratory: Roskilde, Denmark, 1998. [Google Scholar]
- Ichter, B.; Steele, A.; Loth, E.; Moriarty, P.; Selig, M. A morphing downwind-aligned rotor concept based on a 13-MW wind turbine. Wind Energy 2016, 19, 625–637. [Google Scholar] [CrossRef]
- Loth, E.; Steele, A.; Qin, C.; Ichter, B.; Selig, M.S.; Moriarty, P. Downwind pre-aligned rotors for extreme-scale wind turbines. Wind Energy 2017, 20, 1241–1259. [Google Scholar] [CrossRef]
- Noyes, C.; Loth, E.; Martin, D.; Johnson, K.; Ananda, G.; Selig, M. Extreme-scale load-aligning rotor: To hinge or not to hinge? Appl. Energy 2020, 257, 113985. [Google Scholar] [CrossRef]
- Noyes, C.; Qin, C.; Loth, E. Pre-aligned downwind rotor for a 13.2 MW wind turbine. Renew. Energy 2018, 116, 749–754. [Google Scholar] [CrossRef]
- Qin, C.C.; Loth, E.; Zalkind, D.S.; Pao, L.Y.; Yao, S.; Griffith, D.T.; Selig, M.S.; Damiani, R. Downwind coning concept rotor for a 25 MW offshore wind turbine. Renew. Energy 2020, 156, 314–327. [Google Scholar] [CrossRef]
- Hoghooghi, H.; Chokani, N.; Abhari, R.S. Effectiveness of individual pitch control on a 5 MW downwind turbine. Renew. Energy 2019, 139, 435–446. [Google Scholar] [CrossRef]
- Hoghooghi, H.; Chokani, N.; Abhari, R.S. Enhanced yaw stability of downwind turbines. J. Phys. Conf. Ser. 2019, 1356, 012020. [Google Scholar] [CrossRef]
- Bak, C.; Zahle, F.; Bitsche, R.; Kim, T.; Yde, A.; Henriksen, L.C.; Hansen, M.H.; Blasques, J.P.A.A.; Gaunaa, M.; Natarajan, A. Description of the DTU 10 MW Reference Wind Turbine; DTU Wind Energy Report-I-0092; Technical University of Denmark Wind Energy: Roskilde, Denmark, 2013. [Google Scholar]
- Bortolotti, P.; Kapila, A.; Bottasso, C.L. Comparison between upwind and downwind designs of a 10 MW wind turbine rotor. Wind Energy Sci. 2019, 4, 115–125. [Google Scholar] [CrossRef]
- Jonkman, J.M.; Buhl, M. FAST User’s Guide; National Renewable Energy Laboratory: Golden, CO, USA, 2005. [Google Scholar]






| Param. * | Value | Param. | Value |
|---|---|---|---|
| Prated (MW) | 10 | B | 3 |
| Drotor (m) | 178.3 | Rhub (m) | 2.8 |
| γ (°) | 2.5 | T (°) | 5 |
| Vrated (m/s) | 11.4 | Ωrated (rpm) | 9.6 |
| Vin (m/s) | 4 | Vout (m/s) | 25 |
| Param. | Value | Param. | Value |
|---|---|---|---|
| Weibull scale parameter | 11.60 | Average wind velocity (m/s) | 10.10 |
| Weibull shape parameter | 2.11 | Average wind power density (W/m2) | 1125 |
| Model Comparison | Performance Analysis * | Objective |
|---|---|---|
| UW vs. DW | P/Mxy/RtArea/β | Influence of the downwind rotor on the wind turbines |
| UW vs. DW6 | P/Mxy/RtArea/Def | Performance of DWT with extended blades |
| DW vs. DWC | P/Mxy/β/γ | Feasibility of downwind rotor cone angle control |
| DWC vs. DW6IC | P/Mxy/RtArea/γ | Performance of DWT improved downwind rotor cone angle control |
| AEP (kW·h) | ∆AEP (%) | Max-Mxy (kN·m) | ∆Max-Mxy (%) | |
|---|---|---|---|---|
| UW | 5.05 × 107 | - | 3.02 × 104 | - |
| DW | 4.98 × 107 | −1.57% | 2.34 × 104 | −22.54% |
| DW6 | 5.14 × 107 | 1.67% | 2.57 × 104 | −14.82% |
| DWC | 4.98 × 107 | −1.57% | 2.34 × 104 | −22.54% |
| DW6IC | 5.11 × 107 | 1.12% | 2.34 × 104 | −22.54% |
Publisher’s Note: MDPI stays neutral with regard to jurisdictional claims in published maps and institutional affiliations. |
© 2022 by the authors. Licensee MDPI, Basel, Switzerland. This article is an open access article distributed under the terms and conditions of the Creative Commons Attribution (CC BY) license (https://creativecommons.org/licenses/by/4.0/).
Share and Cite
Li, Z.; Xu, B.; Shen, X.; Xiao, H.; Hu, Z.; Cai, X. Performance Analysis of Ultra-Scale Downwind Wind Turbine Based on Rotor Cone Angle Control. Energies 2022, 15, 6830. https://doi.org/10.3390/en15186830
Li Z, Xu B, Shen X, Xiao H, Hu Z, Cai X. Performance Analysis of Ultra-Scale Downwind Wind Turbine Based on Rotor Cone Angle Control. Energies. 2022; 15(18):6830. https://doi.org/10.3390/en15186830
Chicago/Turabian StyleLi, Zhen, Bofeng Xu, Xiang Shen, Hang Xiao, Zhiqiang Hu, and Xin Cai. 2022. "Performance Analysis of Ultra-Scale Downwind Wind Turbine Based on Rotor Cone Angle Control" Energies 15, no. 18: 6830. https://doi.org/10.3390/en15186830
APA StyleLi, Z., Xu, B., Shen, X., Xiao, H., Hu, Z., & Cai, X. (2022). Performance Analysis of Ultra-Scale Downwind Wind Turbine Based on Rotor Cone Angle Control. Energies, 15(18), 6830. https://doi.org/10.3390/en15186830
