An MILP-Based Distributed Energy Management for Coordination of Networked Microgrids
Abstract
:1. Introduction
- An MILP-based distributed energy management through approximating the augmented Lagrange term in ADMM with a piecewise linearization technique is proposed for the coordination of networked microgrids. Comparing with ADMM, the proposed MILP-based distributed energy management is more efficient. Unlike ADMM, the proposed MILP-based distributed energy management could be solved by open-source MILP solvers.
- The effectiveness and efficiency of the proposed MILP-based distributed energy management system are validated through comparing with the case study results of both centralized optimization and ADMM-based distributed energy management.
2. Modeling
2.1. Microgrid
2.2. Networked Microgrids
3. Centralized Energy Management
4. Distributed Energy Management
4.1. ADMM-Based Method
| Algorithm 1 ADMM-based distributed energy management for networked microgrids. |
|
initialization . MCs dispatch their internal resources randomly and then send their calculated PCC power to DMS. DMS initializes price curves and then determines the power injection at the substation. repeat DMS updates the primal residual at each bus phase and sends the two signals and to corresponding MCs. MCs update the schedules of DGs and ESSs by solving the MCs subproblem. DMS updates the power injection at the substation by solving the DMS subproblem. MCs send the updated PCC power to DMS; then, DMS updates and . . until |
4.2. MILP-Based Method
5. Case Studies
5.1. Test System
5.2. Comparing Costs and Solution Time of Different Cases
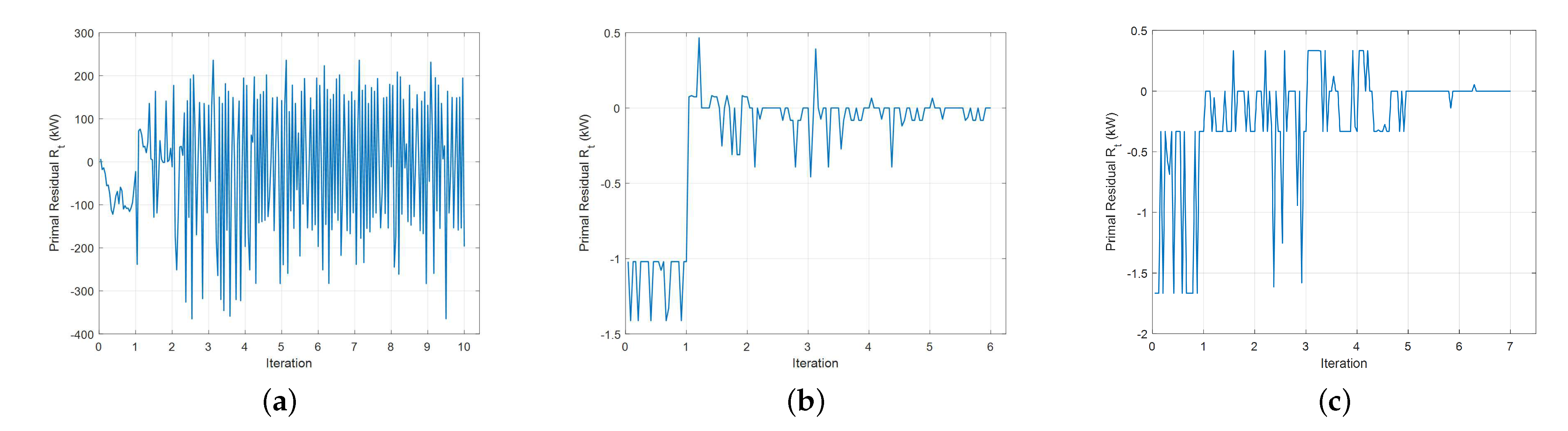
5.3. Convergence of Distributed Energy Management
5.4. Solutions of MILP-Based Distributed Energy Management
6. Conclusions
Author Contributions
Funding
Data Availability Statement
Acknowledgments
Conflicts of Interest
Nomenclature
| m | Index of microgrids, running from 1 to . |
| g | Index of distributed generators (DGs) in microgrid m, running from 1 to . |
| l | Index of loads in microgrid m, running from 1 to . |
| b | Index of batteries in microgrid m, running from 1 to . |
| w | Index of wind turbines in microgrid m, running from 1 to . |
| v | Index of PV in microgrid m, running from 1 to . |
| i | Index of linear pieces of piecewise linearization, running from 1 to . |
| t | Index of time periods, running from 1 to . |
| k | Index of iterations. |
1 if unit g in microgrid m is scheduled on during period t and 0 otherwise. | |
1 if battery b in microgrid m is scheduled for charging/discharging during period t and 0 otherwise. |
Power output scheduled from the i-th linear piece of energy offer by DG g in microgrid m during period t. | |
Power injection of DG g in microgrid m during period t. | |
Power injection at point of common coupling (PCC) of microgrid m during period t. | |
Charging/discharging power of battery b in microgrid m during period t. | |
State of charge (SOC) of battery b in microgrid m during period t. | |
Power output of wind turbine w in microgrid m during period t. | |
Power output of PV panel v in microgrid m during period t. | |
Load shedding of load l in microgrid m during period t. | |
Lagrange multiplier of power balance equation during period t. | |
Generation–load mismatch during period t. | |
Power injection at the substation bus during period t. | |
Vector of generation–load mismatch in subproblems. | |
Generation–load mismatch during period t in subproblems. | |
Value of the i-th segment of the piecewise linearization of the quadratic function of . |
Marginal cost of the i-th linear piece of energy offer by DG g during period t. | |
Purchasing price of power from distribution substation during period t. | |
Degradation cost of battery b in microgrid m during period t. | |
Curtailment cost of load l in microgrid m during period t. | |
Curtailment cost of PV v in microgrid m during period t. | |
Curtailment cost of wind turbine w in microgrid m during period t. | |
Maximum power limits from the i-th piece of energy offer by DG g in microgrid m. | |
Minimum/maximum power of DG i in microgrid m. | |
Maximum output power of PV v in microgrid m during period t. | |
Maximum output power of wind turbine w in microgrid m during period t. | |
Maximum input/output power of microgrid m at PCC. | |
Maximum exchanged power at the substation bus during period t. | |
Maximum charging/discharging power of battery b in microgrid m. | |
Minimum/maximum SOC of battery b in microgrid m during period t. | |
Battery charging/discharging efficiency factor. | |
Forecasted power consumption for load l in microgrid m during period t. | |
Maximum percentage of allowed shedding of load l in microgrid m during period t. | |
Operating cost of DG g in microgrid m at the point of . | |
Penalty parameter of augmented Lagrange function. | |
Time duration of each period. | |
Maximum allowed generation–load mismatch for convergence. | |
Upper limit of the i-th segment of the piecewise linearization of the quadratic function of . | |
Slope of i-th segment of the piecewise linearization of the quadratic function of . |
References
- Khan, M.Z.; Mu, C.; Habib, S.; Alhosaini, W.; Ahmed, E.M. An Enhanced Distributed Voltage Regulation Scheme for Radial Feeder in Islanded Microgrid. Energies 2021, 14, 6092. [Google Scholar] [CrossRef]
- Park, B.; Zhang, Y.; Olama, M.; Kuruganti, T. Model-free control for frequency response support inmicrogrids utilizing wind turbines. Electr. Power Syst. Res. 2021, 194, 107080. [Google Scholar] [CrossRef]
- Liu, R.; Wang, S.; Liu, G.; Wen, S.; Zhang, J.; Ma, Y. An Improved Virtual Inertia Control Strategy for Low Voltage AC Microgrids with Hybrid Energy Storage Systems. Energies 2022, 15, 442. [Google Scholar] [CrossRef]
- Nematollahi, A.F.; Shahinzadeh, H.; Nafisi, H.; Vahidi, B.; Amirat, Y.; Benbouzid, M. Sizing and Sitting of DERs in Active Distribution Networks Incorporating Load Prevailing Uncertainties Using Probabilistic Approaches. Appl. Sci. 2021, 11, 4156. [Google Scholar] [CrossRef]
- Cagnano, A.; De Tuglie, E.; Mancarella, P. Microgrids: Overview and guidelines for practical implementations and operation. Appl. Energy 2020, 258, 114039. [Google Scholar] [CrossRef]
- Bagherzadeh, L.; Shahinzadeh, H.; Shayeghi, H.; Gharehpetian, G.B. A short-term energy management of microgrids considering renewable energy resources, micro-compressed air energy storage and DRPs. Int. J. Renew. Energy Res. 2019, 9, 1712–1723. [Google Scholar]
- Liu, G.; Jiang, T.; Ollis, T.B.; Li, X.; Li, F.; Tomsovic, K. Resilient distribution system leveraging distributed generation and microgrids: A review. IET Energy Syst. Integr. 2020, 2, 289–304. [Google Scholar] [CrossRef]
- Hirsch, A.; Parag, Y.; Guerrero, J. Microgrids: A review of technologies, key drivers, and outstanding issues. Renew. Sustain. Energy Rev. 2018, 90, 402–411. [Google Scholar] [CrossRef]
- Chen, B.; Wang, J.; Lu, X.; Chen, C.; Zhao, S. Networked Microgrids for Grid Resilience, Robustness, and Efficiency: A Review. IEEE Trans. Smart Grid 2021, 12, 18–32. [Google Scholar] [CrossRef]
- Zou, H.; Mao, S.; Wang, Y.; Zhang, F.; Chen, X.; Cheng, L. A Survey of Energy Management in Interconnected Multi-Microgrids. IEEE Access 2019, 7, 72158–72169. [Google Scholar] [CrossRef]
- Islam, M.; Yang, F.; Amin, M. Control and optimisation of networked microgrids: A review. IET Renew Power Gener. 2021, 15, 1133–1148. [Google Scholar] [CrossRef]
- Xie, H.; Wang, W.; Wang, W.; Tian, L. Optimal Dispatching Strategy of Active Distribution Network for Promoting Local Consumption of Renewable Energy. Front. Energy Res. 2022, 10, 826141. [Google Scholar] [CrossRef]
- Wang, Z.; Chen, B.; Wang, J.; Begovic, M.; Chen, C. Coordinated Energy Management of Networked Microgrids in Distribution Systems. IEEE Trans. Smart Grid 2015, 6, 45–53. [Google Scholar] [CrossRef]
- Hussain, A.; Bui, V.H.; Kim, H.M. A Resilient and Privacy- Preserving Energy Management Strategy for Networked Microgrids. IEEE Trans. Smart Grid 2018, 9, 2127–2139. [Google Scholar] [CrossRef]
- Huang, Y.; Ju, Y.; Ma, K.; Short, M.; Chen, T.; Zhang, R.; Lin, Y. Three-phase optimal power flow for networked microgrids based on semidefinite programming convex relaxation. Appl. Energy 2021, 305, 117771. [Google Scholar] [CrossRef]
- Haghifam, S.; Najafi-Ghalelou, A.; Zare, K.; Shafiekhah, M.; Arefi, A. Stochastic bi-level coordination of active distribution network and renewable-based microgrid considering eco-friendly Compressed Air Energy Storage system and Intelligent Parking Lot. J. Clean. Prod. 2021, 278, 122808. [Google Scholar] [CrossRef]
- Liu, G.; Ollis, T.B.; Ferrari, M.F.; Sundararajan, A.; Tomsovic, K. Robust Scheduling of Networked Microgrids for Economics and Resilience Improvement. Energies 2022, 15, 2249. [Google Scholar] [CrossRef]
- Choobineh, M.; Mohagheghi, S. Robust Optimal Energy Pricing and Dispatch for a Multi-Microgrid Industrial Park Operating Based on Just-In-Time Strategy. IEEE Trans. Ind. Appl. 2019, 55, 3321–3330. [Google Scholar] [CrossRef]
- Long, Y.; Li, Y.; Wang, Y. Low-carbon economic dispatch considering integrated demand response and multistep carbon trading for multi-energy microgrid. Sci. Rep. 2022, 12, 6218. [Google Scholar] [CrossRef]
- Warner, J.D.; Masaud, T.M. Decentralized Peer-to-Peer Energy Trading Model for Networked Microgrids. In Proceedings of the 2021 IEEE Conference on Technologies for Sustainability (SusTech), Virtual, 22–24 April 2021; pp. 1–6. [Google Scholar]
- Anoh, K.; Maharjan, S.; Ikpehai, A.; Zhang, Y.; Adebisi, B. Energy peer-to-peer trading in virtual microgrids in smart grids: A game-theoretic approach. IEEE Trans. Smart Grid 2020, 11, 1264–1275. [Google Scholar] [CrossRef]
- Rahbar, K.; Chai, C.; Zhang, R. Energy cooperation optimization in microgrids with renewable energy integration. IEEE Trans. Smart Grid 2018, 9, 1482–1493. [Google Scholar] [CrossRef]
- Malekpour, A.R.; Pahwa, A. Stochastic networked microgrid energy management with correlated wind generators. IEEE Trans. Power Syst. 2017, 32, 3671–3693. [Google Scholar] [CrossRef]
- La Bella, A.; Falsone, A.; Ioli, D.; Prandini, M.; Scattolini, R. A mixed-integer distributed approach to prosumers aggregation for providing balancing services. Int. J. Electr. Power Energy Syst. 2021, 133, 107228. [Google Scholar] [CrossRef]
- Liu, G.; Ollis, B.; Xiao, B.; Zhang, X.; Tomsovic, K. Distributed Energy management for Community Microgrids Considering Phase balancing and peak Shaving. IET Gener. Transm. Distrib. 2019, 13, 1612–1620. [Google Scholar] [CrossRef]
- Feng, C.; Wen, F.; Zhang, L.; Xu, C.; Salam, M.A.; You, S. Decentralized Energy Management of Networked Microgrid Based on Alternating-Direction Multiplier Method. Energies 2018, 11, 2555. [Google Scholar] [CrossRef]
- Zhou, X.; Ai, Q. An integrated two-level distributed dispatch for interconnected microgrids considering unit commitment and transmission loss. J. Renew. Sust. Energ. 2019, 11, 025504. [Google Scholar] [CrossRef]
- Liu, T.; Tan, X.; Sun, B.; Wu, Y.; Tsang, D. Energy management of cooperative microgrids: A distributed optimization approach. Int. J. Electr. Power Energy Syst. 2018, 96, 335–346. [Google Scholar] [CrossRef]
- Liu, G.; Jiang, T.; Ollis, T.B.; Zhang, X.; Tomsovic, K. Distributed energy management for community microgrids considering network operational constraints and building thermal dynamics. Appl. Energy 2019, 239, 83–95. [Google Scholar] [CrossRef]
- La Bella, A.; Farina, M.; Sandroni, C.; Scattolini, R. Design of aggregators for the day-ahead management of microgrids providing active andreactive power services. IEEE Trans. Control Syst Technol. 2020, 28, 2616–2624. [Google Scholar] [CrossRef]
- Velasquez, M.A.; Torres-Perez, O.; Quijano, N.; Cadena, A. Hierarchical dispatch of multiple microgrids using nodal price: An approach from consensus and replicator dynamics. J. Mod. Power Syst. Clean Energy 2019, 7, 1573–1584. [Google Scholar] [CrossRef]
- The ILOG CPLEX Website. 2022. Available online: http://www-01.ibm.com/software/commerce/optimization/cplex-optimizer/index.html (accessed on 18 September 2022).
- Gurobi Optimizer. 2022. Available online: https://www.gurobi.com/products/gurobi-optimizer/ (accessed on 18 September 2022).
- CBC User Guide. 2022. Available online: https://www.coin-or.org/Cbc/cbcuserguide.html (accessed on 18 September 2022).
- Hanifi, S.; Liu, X.; Lin, Z.; Lotfian, S. A Critical Review of Wind Power Forecasting Methods—Past, Present and Future. Energies 2020, 13, 3764. [Google Scholar] [CrossRef]
- Sundararajan, A.; Ollis, B. Regression and Generalized Additive Model to Enhance the Performance of Photovoltaic Power Ensemble Predictors. IEEE Access 2021, 9, 111899–111914. [Google Scholar] [CrossRef]
- Liu, G.; Ollis, T.B.; Xiao, B.; Zhang, X.; Tomsovic, K. Community Microgrid Scheduling Considering Network Operational Constraints and Building Thermal Dynamics. Energies 2017, 13, 1554. [Google Scholar] [CrossRef]
- Boyd, S.; Parikh, N.; Chu, E.; Peleato, B.; Eckstein, E. Distributed Optimization and Statistical Learning via the Alternating Direction Method of Multipliers. Found. Trends Mach. Learn. 2011, 3, 1–122. [Google Scholar] [CrossRef]
- Mitchell, J.E. Branch-and-Cut Algorithms for Combinatorial Optimization Problems; Oxford University Press: Oxford, UK, 2002; pp. 1–19. [Google Scholar]
- Xiao, B.; Starke, M.; Liu, G.; Ollis, B.; Irminger, P.; Dimitrovski, A.; Prabakar, K.; Dowling, K.; Xu, Y. Development of hardware-in-the-loop microgrid testbed. In Proceedings of the IEEE Energy Conversion Congress & Exposition (ECCE 2015), Montreal, QC, Canada, 20–24 September 2015; pp. 1196–1202. [Google Scholar]
- Liu, G.; Xu, Y.; Tomsovic, K. Bidding Strategy for Microgrid in Day-Ahead Market Based on Hybrid Stochastic/Robust Optimization. IEEE Trans. Smart Grid 2016, 7, 227–237. [Google Scholar] [CrossRef]










| Algorithms | Convergence for Convex Problem | Convergence for Non-Convex Problem | Optimization Model | References |
|---|---|---|---|---|
| Stackelberg Game | Yes | Mostly No | MILP/MIQP | [20,21] |
| Consensus Algorithm | Yes | No | MILP | [31] |
| Dual Decomposition | Mostly Yes | No | MILP | [22,23,24] |
| ADMM | Yes | Mostly Yes | MIQP | [25,26,27,28,29,30] |
| Proposed MILP-Based Approach | Yes | Mostly Yes | MILP | This Paper |
| DG Type | (kW) | (kW) | Start-Up Cost ($) | Cost at ($/h) | ($/kWh) | ($/kWh) | ($/kWh) |
|---|---|---|---|---|---|---|---|
| Microturbine 1 | 10 | 30 | 1 | 3.39 | 0.2172 | 0.2644 | 0.3016 |
| Microturbine 2 | 10 | 30 | 1 | 2.31 | 0.1324 | 0.1552 | 0.1880 |
| Diesel 3 | 10 | 30 | 1.5 | 2.68 | 0.1284 | 0.1412 | 0.1541 |
| Battery Type | Power Capacity (kW) | Energy Capacity (kWh) | (%) | (%) |
|---|---|---|---|---|
| Lithium ion | 10 | 20 | 95 | 25 |
| Degradation Cost ($/kWh) | Charging Efficiency (%) | Discharging Efficiency (%) | Initial SOC (%) | End SOC (%) |
| 0.02 | 0.95 | 0.95 | 50 | 50 |
| Hour | (ct/kWh) | Hour | (ct/kWh) | Hour | (ct/kWh) |
|---|---|---|---|---|---|
| 1 | 8.65 | 9 | 12.0 | 17 | 16.42 |
| 2 | 8.11 | 10 | 9.19 | 18 | 9.83 |
| 3 | 8.25 | 11 | 12.3 | 19 | 8.63 |
| 4 | 8.10 | 12 | 20.7 | 20 | 8.87 |
| 5 | 8.14 | 13 | 26.82 | 21 | 8.35 |
| 6 | 8.13 | 14 | 27.35 | 22 | 16.44 |
| 7 | 8.34 | 15 | 13.81 | 23 | 16.19 |
| 8 | 9.35 | 16 | 17.31 | 24 | 8.87 |
| Cases | Total Operating Costs ($) | Solution Time (Seconds) | |
|---|---|---|---|
| Grid-connected | Centralized | 190.37 | 2.81 |
| ADMM-based Distributed | 190.78 | 57.36 | |
| MILP-based Distributed | 190.65 | 54.92 | |
| Islanded | Centralized | 377.41 | 2.43 |
| ADMM-based Distributed | 378.25 | 48.77 | |
| MILP-based Distributed | 378.07 | 40.85 | |
Publisher’s Note: MDPI stays neutral with regard to jurisdictional claims in published maps and institutional affiliations. |
© 2022 by the authors. Licensee MDPI, Basel, Switzerland. This article is an open access article distributed under the terms and conditions of the Creative Commons Attribution (CC BY) license (https://creativecommons.org/licenses/by/4.0/).
Share and Cite
Liu, G.; Ferrari, M.F.; Ollis, T.B.; Tomsovic, K. An MILP-Based Distributed Energy Management for Coordination of Networked Microgrids. Energies 2022, 15, 6971. https://doi.org/10.3390/en15196971
Liu G, Ferrari MF, Ollis TB, Tomsovic K. An MILP-Based Distributed Energy Management for Coordination of Networked Microgrids. Energies. 2022; 15(19):6971. https://doi.org/10.3390/en15196971
Chicago/Turabian StyleLiu, Guodong, Maximiliano F. Ferrari, Thomas B. Ollis, and Kevin Tomsovic. 2022. "An MILP-Based Distributed Energy Management for Coordination of Networked Microgrids" Energies 15, no. 19: 6971. https://doi.org/10.3390/en15196971
APA StyleLiu, G., Ferrari, M. F., Ollis, T. B., & Tomsovic, K. (2022). An MILP-Based Distributed Energy Management for Coordination of Networked Microgrids. Energies, 15(19), 6971. https://doi.org/10.3390/en15196971

