Design of a Bidirectional CL3C Full-Bridge Resonant Converter for Battery Energy Storage Systems
Abstract
:1. Introduction
2. Circuit Framework and Operating Principles
2.1. Circuit Framework
2.2. Transfer Function of the Proposed Bidirectional CL3C Resonant Converter
2.3. Circuit Characteristics and Operating Principles of the Proposed Converter
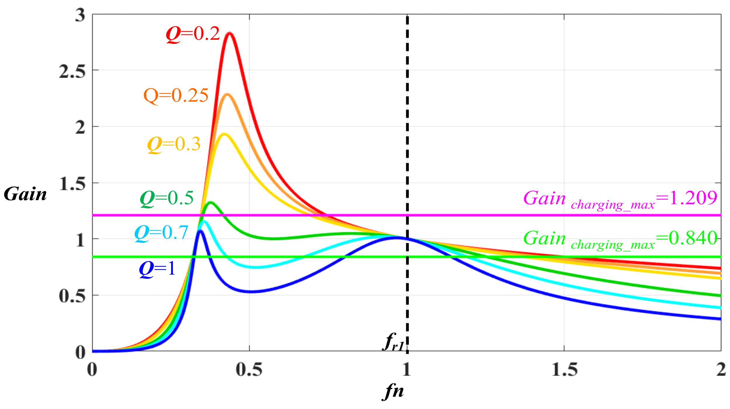
- For Region 1, the resonant impedance is inductive, and the AC square-wave voltage of the transformer exceeds the resonant current, enabling the power switch to achieve ZVS;
- For Region 2, the resonant impedance is inductive, and the AC square-wave voltage of the transformer exceeds the resonant current, allowing the power switch to achieve ZVS and the rectifier diode at the rectifier side to achieve ZCS;
- For Region 3, the resonant impedance is capacitive, and the power switch cannot achieve ZVS. Large variations in the voltage gain were observed in this region. Consequently, operation in this region should be avoided.
3. Circuit Design
3.1. Design Focuses
3.1.1. Ability to Adjust the Voltage According to the Battery Conditions
3.1.2. Ability to Achieve a High Charging Efficiency
3.2. Circuit Design Procedure
4. Digital Feedback Control
4.1. Control of the Charging Mode
4.2. Control of the Discharging Mode
5. Experimental Results
5.1. Key Waveforms, CC–CV Curves, and Charging Efficiency of the Fabricated Converter in the Charging Mode
5.2. Key Waveforms, CC–CV Curves, and Charging Efficiency of the Fabricated Converter in the Discharging Mode
5.3. Analysis of the Voltage–Current Stresses for Power Switches and the Power Losses Distribution of the Proposed Converter
6. Conclusions
Author Contributions
Funding
Conflicts of Interest
References
- Habib, S.; Khan, M.M.; Abbas, F.; Ali, A.; Faiz, M.T.; Ehsan, F.; Tang, H. Contemporary trends in power electronics converters for charging solutions of electric vehicles. CSEE J. Power Energy Syst. 2020, 6, 911–929. [Google Scholar]
- Ryu, M.; Jung, D.; Baek, J.; Kim, H. An optimized design of bi-directional dual active bridge converter for low voltage battery charger. J. Power Electron. 2014, 14, 177–183. [Google Scholar] [CrossRef]
- Zhao, B.; Song, Q.; Liu, W.; Sun, Y. Overview of Dual-Active-Bridge Isolated Bidirectional DC–DC Converter for High-Frequency-Link Power-Conversion System. IEEE Trans. Power Electron. 2013, 29, 4091–4106. [Google Scholar] [CrossRef]
- Bai, H.; Mi, C. Eliminate Reactive Power and Increase System Efficiency of Isolated Bidirectional Dual-Active-Bridge DC-DC Converters Using Novel DualPhase-Shift Control. IEEE Trans. Power Electron. 2008, 23, 2905–2914. [Google Scholar] [CrossRef]
- Zhao, B.; Song, Q.; Liu, W. Efficiency Characterization and Optimization of Isolated Bidirectional DC–DC Converter Based on Dual-Phase-Shift Control for DC Distribution Application. IEEE Trans. Power Electron. 2012, 28, 1711–1727. [Google Scholar] [CrossRef]
- Li, H.; Zhang, Z.; Wang, S.; Tang, J.; Ren, X.; Chen, Q. A 300-kHz 6.6-kW SiC Bidirectional LLC Onboard Charger. IEEE Trans. Ind. Electron. 2020, 67, 1435–1445. [Google Scholar] [CrossRef]
- Awasthi, A.; Bagawade, S.; Kumar, A.; Jain, P. An Exact Time Domain Analysis of DCM Boost Mode LLC Resonant Con-verter for PV applications. In Proceedings of the IECON 2018—44th Annual Conference of the IEEE Industrial Electronics Society, Busan, Korea, 21–23 October 2018; pp. 1005–1010. [Google Scholar]
- Liu, Y.; Du, G.; Wang, X.; Lei, Y. Analysis and Design of High-Efficiency Bidirectional GaN-Based CLLC Resonant Con-verter. Energies 2019, 12, 3859. [Google Scholar] [CrossRef] [Green Version]
- Chen, W.; Wang, S.; Hong, X.; Lu, Z.; Ye, S. Fully soft-switched bidirectional resonant dc-dc converter with a new CLLC tank. In Proceedings of the 2010 Twenty-Fifth Annual IEEE Applied Power Electronics Conference and Exposition (APEC), Palm Springs, CA, USA, 21–25 February 2010; pp. 1238–1242. [Google Scholar]
- Liu, C.; Sen, B.; Wang, J.; Gould, C.; Colombage, K. A CLLC Resonant Converter Based Bidirectional EV Charger with Maximum Efficiency Tracking. In Proceedings of the 8th IET International Conference on Power Electronics, Machines and Drives (PEMD 2016), Glasgow, UK, 19–21 April 2016. [Google Scholar] [CrossRef]
- Chang, H.-T.; Liang, T.-J.; Yang, W.-C. Design and Implementation of Bidirectional DC-DC CLLLC Resonant Converter. In Proceedings of the 2018 IEEE Energy Conversion Congress and Exposition (ECCE), Portland, OR, USA, 23–27 September 2018; pp. 2712–2719. [Google Scholar] [CrossRef]
- Zahid, Z.U.; Dalala, Z.M.; Chen, R.; Chen, B.; Lai, J. Design of Bidirectional DC–DC Resonant Converter for Vehicle-to-Grid (V2G) Applications. IEEE Trans. Transp. Electrif. 2015, 1, 232–244. [Google Scholar] [CrossRef]
- Song, J.; Yang, D.; Zhang, C.; Duan, B. Hybrid Control Method for CLLLC Resonant Converter with Low Output Voltage Ripple. IFAC-PapersOnLine 2018, 51, 31. [Google Scholar] [CrossRef]
- Huang, H. Designing an LLC Resonant Half-Bridge Power Converter; Texas Instruments: Dallas, TX, USA, 2010. [Google Scholar]
- Rafiq, U.; Murtaza, A.; Sher, H.; Gandini, D. Design and Analysis of a Novel High-Gain DC-DC Boost Converter with Low Component Count. Electronics 2021, 10, 1761. [Google Scholar] [CrossRef]


























| Parameter | Value |
|---|---|
| DC grid voltage, VDC | 400 V |
| Battery voltage, VBat bank | 280~403 V |
| Maximum conversion power. P | 2000 W |
| Maximum conversion current, I | 5 A |
| Resonance frequency, fr | 100 kHz |
| Component Parameter | Value |
|---|---|
| Turns ratio of the transformer, N | 1.21 |
| Primary-side resonant capacitance, Cr1 | 60 nF |
| Secondary-side resonant capacitance, Cr2 | 81 nF |
| Magnetizing inductance, Lm | 166.5 μH |
| Primary-side resonant inductance, Lr1 | 38.55 μH |
| Secondary-side resonant inductance, Lr2 | 28.55 μH |
| DC grid capacitance, CDC | 540 μF |
| Battery capacitance, CBat bank | 540 μF |
| Power switches, S1–S8 | UJ3C065080K3S |
| DSP | TMS320F28335 |
| f (Hz) | S1~S4 (V) | DS1~DS4 (V) | S5~S8 (V) | DS5~DS8 (V) |
|---|---|---|---|---|
| 70k | 400 | 400 | 465 | 465 |
| 80k | 400 | 400 | 398 | 398 |
| 90k | 400 | 400 | 361 | 361 |
| 100k | 400 | 400 | 337 | 337 |
| 110k | 400 | 400 | 320 | 320 |
| 120k | 400 | 400 | 300 | 300 |
| 130k | 400 | 400 | 277 | 277 |
| 140k | 400 | 400 | 251 | 251 |
| 150k | 400 | 400 | 225 | 225 |
| f (Hz) | S1~S4 (A) | DS1~DS4 (A) | S5~S8 (A) | DS5~DS8 (A) | ||||
|---|---|---|---|---|---|---|---|---|
| Rms | Peak | Rms | Peak | Rms | Peak | Rms | Peak | |
| 70k | 5.4 | 10.5 | 1.61 | 9.2 | 0 | 0 | 4.8 | 11.6 |
| 80k | 4.6 | 9.3 | 1.23 | 6.9 | 0 | 0 | 4.5 | 10.0 |
| 90k | 4.2 | 8.5 | 1.12 | 5.9 | 0 | 0 | 4.2 | 9.1 |
| 100k | 4.0 | 8.1 | 1.08 | 5.3 | 0 | 0 | 4.0 | 8.3 |
| 110k | 3.9 | 7.8 | 0.95 | 5.5 | 0 | 0 | 3.8 | 7.7 |
| 120k | 3.8 | 7.9 | 1.10 | 6.4 | 0 | 0 | 3.8 | 7.4 |
| 130k | 3.8 | 8.1 | 1.31 | 7.4 | 0 | 0 | 3.9 | 7.4 |
| 140k | 3.7 | 8.4 | 1.52 | 8.0 | 0 | 0 | 3.9 | 7.4 |
| 150k | 3.6 | 8.7 | 1.72 | 8.2 | 0 | 0 | 3.9 | 7.7 |
Publisher’s Note: MDPI stays neutral with regard to jurisdictional claims in published maps and institutional affiliations. |
© 2022 by the authors. Licensee MDPI, Basel, Switzerland. This article is an open access article distributed under the terms and conditions of the Creative Commons Attribution (CC BY) license (https://creativecommons.org/licenses/by/4.0/).
Share and Cite
Yan, Y.-H.; Chang, Y.-N.; Peng, Z.-X. Design of a Bidirectional CL3C Full-Bridge Resonant Converter for Battery Energy Storage Systems. Energies 2022, 15, 412. https://doi.org/10.3390/en15020412
Yan Y-H, Chang Y-N, Peng Z-X. Design of a Bidirectional CL3C Full-Bridge Resonant Converter for Battery Energy Storage Systems. Energies. 2022; 15(2):412. https://doi.org/10.3390/en15020412
Chicago/Turabian StyleYan, Yih-Her, Yong-Nong Chang, and Zhi-Xuan Peng. 2022. "Design of a Bidirectional CL3C Full-Bridge Resonant Converter for Battery Energy Storage Systems" Energies 15, no. 2: 412. https://doi.org/10.3390/en15020412
APA StyleYan, Y.-H., Chang, Y.-N., & Peng, Z.-X. (2022). Design of a Bidirectional CL3C Full-Bridge Resonant Converter for Battery Energy Storage Systems. Energies, 15(2), 412. https://doi.org/10.3390/en15020412

