Abstract
Organic-matter-hosted pores are fundamental pore spaces in shale reservoirs, which largely control the expulsion and storage of oil and gas. However, the strong heterogeneity of organic pores greatly increases the complexity of the pore network in shale reservoirs, which make shale reservoir evaluation challenging. The heterogeneity of organic pores in shale reservoirs has been one of the hottest topics of recent years. In this review, the heterogeneity of organic pores in shale reservoirs and their controlling factors are systematically summarized. The formation and evolution of organic pores in shale reservoirs are directly linked to hydrocarbon generation and expulsion, and the heterogeneity of organic pores is a result of various geological and geochemical factors. The development and heterogeneity of organic pores are basically controlled by the differences in kerogen types and maceral compositions of shale deposits, which are mainly attributed to the differences in hydrocarbon generation capacity of different maceral compositions. Thermal maturation of organic matter is responsible for the formation and evolutionary mechanisms of organic pores and their heterogeneities. With increasing maturity, the increasing trend of pore volume and porosity diminishes. The reduction in macropore volume first appears, and the collapse of macropores could lead to an increase in micropore and mesopore volumes. An important turning point for the thermal evolution of OM is 3.5% Ro. At an Ro greater than 3.5%, the chemical structure of OM is transformed from amorphous carbon to crystalline graphite, and the hydrocarbon generation capacity of the OM has been exhausted, thus, resulting in the destruction of OM-hosted pores. The TOC content and mineral compositions of shale reservoirs affect the development and preservation of organic pores, but enhanced TOC content and brittle minerals may work against the development and preservation of organic porosity. Geological factors, e.g., compaction, diagenesis, pore fluid pressure and tectonic deformation, can also affect the organic pore structure of shale reservoirs to some extent, and their differences can enhance the heterogeneity of organic pores. On the basis of the above-mentioned understandings, this review also puts forward and discusses the problems existing in the current study of organic pore and its heterogeneity of shale reservoirs, and points out further research directions.
1. Introduction
A pore in a shale reservoir is a reservoir space for shale oil and gas, and the porosity and pore structure directly affect the quantity and occurrence of retained oil and gas in shale reservoirs. The pores of shale reservoirs include inorganic and organic pores at various scales [], mainly nanoscale, which are different from the pores of tight oil and gas reservoirs. Pores of shale reservoirs, especially the organic matter (OM)-hosted nanopores, have been extensively studied by previous authors [,,]. In recent years, many methods and techniques have been applied to pore description and characterization in shale reservoirs, including direct observation methods (e.g., scanning electron microscopy (SEM) and nano-CT) [,,], fluid-injection methods (e.g., mercury intrusion porosimetry, N2 and CO2 adsorption, He pycnometry) [,,], and physical methods (e.g., nuclear magnetic resonance (NMR), small-angle neutron scattering) [,,]. Combined with the geochemical characteristics of shale (e.g., organic and inorganic compositions, OM maturity, and diagenesis), the results obtained from the above-mentioned methods can be used for the interpretation of the formation and evolution of pores as well as their controlling factors, thus, strongly supporting the evaluation, exploration and development of shale oil and gas [,,,].
Organic pores play an important role in the pore network system of shale reservoirs [,,]. As for highly-mature and over-mature shale gas reservoirs, organic pores are always the dominant pore type [,,,]. The characteristics of organic pores, including their development degree, become one of the most important factors affecting shale reservoir properties [,,,,].
Strong heterogeneity is another characteristic of pores of shale reservoirs, which leads to a high complexity of the pore system and increases the difficulty of shale reservoir evaluation and prediction. The pore heterogeneity of shale reservoirs is not only related to inorganic pores, but also linked to organic pores. SEM observations have revealed that the heterogeneity of organic pores was mainly manifested in the differences in pore quantity, morphology and distribution. The heterogeneity of organic pores can be found not only in different OM particles (e.g., different types of macerals), but also in different parts of the same OM macerals. Even in the same maceral, there may be obvious differences in the development degree of pores. These pore characteristics have been widely reported in shale reservoirs of different regions and ages [,,,,].
Organic pores of shale reservoirs can be divided into primary pores and secondary pores [,,]. Primary organic pores are mainly found in kerogen, and are usually observed in immature and low-maturity shale [,,]. However, secondary organic pores are formed during thermal degradation and are closely related to hydrocarbon generation and expulsion of shale [,,,], which are the dominant types of shale organic pores [,,,,]. In this study, OM-hosted pore generally refers to the OM secondary pore, if it is not specifically indicated.
The heterogeneity of organic pores is an important factor affecting the heterogeneity of pores in shale reservoirs. Therefore, the heterogeneity of organic pores in shale reservoirs may be influenced by the factors related to the formation, evolution and preservation of organic pores, e.g., the original textural characteristics of shale, the buried depth of shale, the organic porosity developed within solid bitumen and the mineral compositions. This study reviews the research progress and existing problems of the major influencing factors of the heterogeneity of organic pores in shale reservoirs. The major purpose of this paper is to enhance the understanding of the physical properties of shale reservoirs and shed light on opportunities for further research.
2. Pore Characteristics of Different Types of Kerogen and Macerals
OM in shale is basically composed of kerogen and bitumen. The difference between kerogen and bitumen in organic geochemistry is whether they are soluble within organic solvents []. As for organic petrology, bitumen is generally regarded as secondary maceral, because it is the secondary OM formed via kerogen transformation []. When the vitrinite reflectance (Ro) value is greater than 0.80%, bitumen becomes the dominant type of OM in shale []. With an increasing Ro value, the insoluble part of bitumen gradually increases [], which could be cracked into pyrobitumen. Mastalerz et al. (2018) defined the boundary of bitumen and pyrobitumen at the bitumen reflectance (BRo) of 1.5% []. Many authors have suggested that bitumen and pyrobitumen could be collectively referred to as solid bitumen (SB) [,,,]. The kerogen of high-quality shale deposits (kerogen type I and IIa) is mainly composed of amorphous OM. During the highly-mature to over-mature stage, some of amorphous OMs display granular structure, known as micrinite. In this study, they are collectively defined as amorphous OM. In addition, some identifiable macerals can be found in shale, such as vitrinite or vitrinite-like maceral (VLM), alginate, exinite, inertinite, and organic zooclasts (e.g., graptolite and chitinozoan). Due to different sources and properties of these OM particles, different types of OM are the basic factors controlling the development of organic pores and their heterogeneities in shale reservoirs [,,,,].
2.1. Pore Characteristics of Different Types of Kerogen
The kerogen of shale deposits can generally be divided into three or four types, i.e., type I, type II and type III, of which type II can be further subdivided into IIa (or II1) and IIb (or II2) []. The kerogen type of shale determines oil and gas generation potentials, thus, affecting the development of organic pores [,,]. Chalmers and Bustin (2007) found that organic pores were more likely to be developed in type I and II kerogens, while they were poorly developed in type III kerogen []. Chen et al. (2015) suggested that kerogen type exerted stronger influences on organic pores than maturity, within a certain range of Ro values []. The pore-forming ability of type III kerogen was found to be very poor during thermal evolution, which is related to its low hydrocarbon generation ability and higher potential of gaseous hydrocarbon generation [,,]. Yang et al. (2019) believed that type I kerogen had chemically unstable structures, whereas type III kerogen had chemically relatively inert structures; thus, organic pores could easily develop in type I kerogen while a large number of organic pores would be difficult to form within type III kerogen []. However, some authors have different understandings on the formation mechanism of pores in kerogen. Löhr et al. (2015) found that some organic pores in gas shale with an Ro value greater than 1.50% may be inherited from primary pores, which were not formed via thermal degradation []. Modica et al. (2012) suggested that the previously-existing hydrocarbons filling the pores of kerogen in shale would be converted into oil and then expelled during thermal maturation, and the remaining spaces would be organic pores within kerogen []. Although organic pores are easily developed in type I and II kerogens relative to type III kerogen, these pores are difficult to effectively identify due to the swelling effect during the oil generation stage. With a further increase in thermal evolution, the differences of pore development within different types of kerogen will be obvious.
The effect of kerogen type on organic porosity can obviously be displayed in shale deposits with different sedimentary facies. Organic pores are generally well developed in marine highly-mature to over-mature shale [,,], while they are poorly developed in the continental low-mature to medium-mature shale and marine–continental transitional medium-mature to highly-mature shale [,,,]. These characteristics may not only be related to maturity. More importantly, the kerogen of marine shale is generally classified as type I-IIa [,,], while the kerogen of continental shale and marine–continental transitional shale is basically classified as type III [,,,].
Optical observations revealed that amorphous OM in shale generally occurs as fine-grained and dispersed forms at several microns to several nanometers, which accounts for most OM components in highly-mature to over-mature shale. SEM observations revealed that amorphous OM can present in various forms, such as matrix, granular, and even spherical [,], and the pore characteristics can be greatly varied in amorphous OM particles. Overall, the pore development degree of amorphous OM in marine shale with type I-II kerogen is obviously higher than that of marine–continental transitional shale with type III kerogen (Figure 1a–e). Strong heterogeneity of pores usually occurs in amorphous OM, which can be observed not only in different OM particles (Figure 1f,g) but also in different parts of the same OM particles (Figure 1h). For example, spherical OM particles display different pore characteristics; the rim of the OM particle is porous, while its core seems to have no SEM-visible pores (Figure 1i).

Figure 1.
SEM photographs showing pore characteristics of fine-grained and dispersed OM particles in different types of highly-mature to over-mature shale: (a) Organic pores are developed, but pore size is small and the distribution of pores is uneven in Permian coal-bearing shale with type III kerogen in the southern North China Basin []. (b) Pores are not developed in the OM particles, while micro-cracks can be observed in Permian coal-bearing shale with type III kerogen in the Ordos Basin []. (c) The development degree of pores varies greatly in OM macerals with different sizes of Permian marine–continental transitional shale in the Northern Guizhou area. OM particles in the lower left corner are relatively porous, but pore size is small. Pores are poorly developed in the OM particles in the upper right corner []. (d,e) The porous OM particles can usually be observed in Wufeng–Longmaxi Formation shale from the Sichuan Basin, and pore size is relatively large []. (f) Pore characteristics visibly displayed in different OM particles of Woodford shale []. (g) The development degree and characteristics of pores are obviously different in different organic particles of Wufeng–Longmaxi Formation shale in the Sichuan Basin []. (h) Strong heterogeneity of pores occurred in the same OM particle of Lower Cambrian shale in the Chongqing area []. (i) Pores are unevenly developed in a spherical OM particle of the Wufeng Formation shale from Well PS1 in the Sichuan Basin, which displays porous characteristics in the rim but fewer pore characteristics in the core (unpublished data).
2.2. Pore Characteristics of Solid Bitumen
Compared with kerogen, solid bitumen (SB) contains a large volume of organic pores, mostly sponge-like and bubble-like [,,,,] (Figure 2a–c). In addition, these pores display complex structures. With the increase in size and connectivity of individual pores, some pores (e.g., sponge-like pores) may be replaced by irregularly shaped organic pores. These complex pores are considered to be formed via the interconnection of several previously-formed pores during thermal evolution [,] (Figure 2c). Milliken et al. (2012) suggested that organic pores of shale mainly occurred in the SB, rather than in kerogen []. Suárez-Ruiz et al. (2016) also found that nanopore volumes displayed a good positive correlation with the TOC content of SB-rich shale, while no correlation was exhibited in the kerogen-rich shale []. Loucks et al. (2009) revealed that an organic pore network occurred in shale reservoirs, and suggested that organic pores were easily developed in SB, thus, improving the quality of shale reservoirs []. Curtis et al. (2012) found SB networks in the Barnett, Haynesville and Horn River shale reservoirs [], which laid a foundation for the formation of organic pore networks.
Compared with the North American marine shale, the South China marine shale displays relatively high degrees of thermal maturation, and the majority of shale reservoirs are at the highly-mature to over-mature stage. In recent years, the Wufeng–Longmaxi Formation shale reservoirs in the Sichuan Basin have been widely studied, and porous SB can usually be observed (Figure 2a–c), leading to the formation of an organic pore network in shale [,,,]. Xie et al. (2021) found that the amount of SB in the Wufeng–Longmaxi Formation shale in the Sichuan Basin can indirectly indicate the enrichment degree of shale gas [].

Figure 2.
SEM photographs showing pore characteristics of solid bitumen. (Explanation: SB = solid bitumen.) (a,b) Nanopores are widely developed in the SB of the Longmaxi Formation shale from Well QJ-1 in the Northern Guizhou area (unpublished data). (c) Pores in the SB of Longmaxi Formation shale from the Sichuan Basin show complex morphologies []. (d) Pores are poorly developed in the SB of Lower Cambrian shale from Well HY-1 (unpublished data). (e) Pores are poorly developed in the SB of Niutitang Formation shale from Well CY-2 in the southeastern Chongqing area []. (f) No SEM-visible pores can be observed in the SB of New Albany shale [].
However, pores are poorly developed in some SB particles [,,,,] (Figure 2d–f), indicating that organic-matter-hosted pores may not only be controlled by maturity. Even at the highly-mature to over-mature stage, pores could not be observed in some SB particles. Wei et al. (2015) found that organic pores were poorly developed in smaller volumes of SB of the Wufeng–Longmaxi Formation shale in the Sichuan Basin []. Wang et al. (2020) found that pores were rarely developed in some SB particles of the Niutitang Formation shale in the southeastern Chongqing area []. Liu et al. (2019) found that micro-cracks were generally developed on the margins or cores of non-porous SB in the Lower Cambrian shale in the upper Yangtze area. They believed that the lack of pores in the SB may have resulted from the escape of trapped gas via micro-cracks, leading to the collapse of the organic pores []. However, micro-cracks had not developed in the margins or cores of each non-porous SB (Figure 2d,e), indicating that the absence of OM-hosted pores is sometimes not related to micro-cracks.
On the other hand, the occurrence of SB in shale may reduce the porosity of kerogen. Löhr et al. (2015) suggested that SB filling in primary pores of kerogen could occupy the pore spaces of kerogen []. Furmann et al. (2016) also found that liquid petroleum generated simultaneously with bitumen could block organic pores, and suggested that the number of organic pores formed at the “oil window” stage should be much larger than the number of SEM-visible organic pores []. Such an explanation could account for the truth that organic pores were more developed at the “gas window” stage than at the “oil window” stage [].
In summary, although SB is usually regarded as the most porous maceral, pore characteristics of SB particles in different shale formations are still different.
2.3. Pore Characteristics of Different Macerals
Compared with SB, other macerals (e.g., alginite, inertinite, graptolite and vitrinite-like maceral) of marine shale display more complex morphologies and origins of their pores [,,,,]. Hu et al. (2020) found that the residual alginate particles in the Longmaxi Formation shale usually had two occurrence forms. Type I alginate displays lenticular or nearly circular shapes, and type II alginate exhibits granular or aggregated shapes. Elliptical or elongated organic pores are developed in the former, which are distributed along the long axis of minerals, probably reflecting the original biological structures (Figure 3a). Secondary pores with strong heterogeneity are developed in the latter (Figure 3b) []. Jiao et al. (2019) also suggested that the pore morphology of the alginite of the Wufeng–Longmaxi Formation shale was complex, which may be related to the inherited primary pores []. Liu et al. (2017) found that organic pores had rarely developed in the alginite of New Albany immature shale in the Illinois basin (Figure 3c). However, the shale had evolved in the “oil window”, and secondary organic pores had developed in the alginite (Figure 3d). The researchers believed that the formation of these secondary organic pores seemed to be related to the catalysis of surrounding minerals [].
The pore-forming ability of inertinite is very poor during thermal evolution [,]. Even at very high thermal maturity, pores could not be found in inertinite (Figure 3e) []. Li et al. (2020) performed a comparison study of pore structure parameters of the isolated kerogen samples from Lower Silurian and Upper Permian shale deposits in the Yangtze area, and found that the volume and specific surface area of organic pores of the former were six, and three and a half times higher, than those of the latter, respectively. Such a difference may be induced from the occurrence of vitrinite and inertinite with very stable chemical structures in the Upper Permian shale, thus, resulting in a weak ability of organic pore formation []. Although secondary pores never developed in the inertinite, primary pores inherited from plant tissues could be preserved [,,,] (Figure 3f). Therefore, in addition to hydrocarbon generation potential, the properties and structure of the original OM are the additional factors controlling the development of organic pores in shale reservoirs [].
The OM of the graptolite in shale deposits also shows the heterogeneity of pores. It is generally believed that SEM-visible pores rarely developed in graptolite [,,,]. However, few organic pores can be found in graptolite. Teng et al. (2022) found that organic pores failed to be observed in non-granular graptolite of the Longmaxi Formation shale, but nanoscale organic pores could be found in the granular graptolite (Figure 3g,h) []. Ma et al. (2016) found that pore characteristics of different tissues of graptolite were very different. There were basically no pores in the graptolite periderm perpendicular to bedding, but nanoscale pores were observed in the swirling cortical fibers at the edge of the periderm wall of the graptolite (Figure 3i,j) []. Tenger et al. (2017) conducted a comparison study of pore characteristics of different types of macerals in the Wufeng–Longmaxi Formation shale of Well JY1 in the Sichuan Basin. They found that a small volume of micropores could be developed in the graptolite, but the development degree was relatively poor, lower than in SB and amorphous OM []. Graptolite is a type of hydrogen-poor maceral which has weak hydrocarbon generation capacity. Organic pores may not originate from graptolite itself, but may be inherited from primary pores. Due to the occurrence of lipids in the graptolite, graptolite has certain hydrocarbon potentials, and organic pores could be formed during hydrocarbon generation [,].
The formation of pores in vitrinite during thermal evolution is dependent on the type and maturity of the vitrinite. In the low-mature to medium-mature shale, pores, in general, rarely develop in vitrinite [,] (Figure 3k), but micro-cracks can be observed [] (Figure 3l). In the highly-mature to over-mature shale, smaller pores can be observed in vitrinite, which show uneven distribution (Figure 3m). Xu et al. (2022) found that organic pores had not developed in the structured vitrinite of the Triassic shale in the Sichuan Basin, but a small amount of round-elliptic organic pores could be observed on the surface of unstructured vitrinite []. Similar to vitrinite, vitrinite-like maceral in marine shale displays no pore characteristics (Figure 3n,o). The poor pore-forming ability of vitrinite and vitrinite-like maceral during thermal evolution should be related to its low hydrocarbon generation potential and gas-prone nature.
In summary, the difference of maceral types in shale is the basic factor controlling the heterogeneity of organic pores, and the difference of pore characteristics in different macerals may be the result of the interaction of primary pores and secondary pores. However, the identification of different types of macerals is still challenging under SEM conditions [,,,]. In particular, the identification of macerals will be difficult in the highly-mature to over-mature shale. Moreover, the heterogeneity of organic pores caused by the difference of macerals will be more obvious.

Figure 3.
SEM photographs showing pores characteristics of different types of macerals. (Explanation: AOM = amorphous organic matter; SB = solid bitumen; Q = quartz; VLP = vitrinite-like particle.) (a) The pores in the alginite of Longmaxi Formation shale in the Sichuan Basin show an orientated distribution []. (b) Secondary pores were developed in the alginite of Longmaxi Formation shale in the Sichuan Basin, and displayed the characteristics of heterogeneity []. (c) No SEM-visible pores in the alginite of New Albany immature shale []. (d) A large number of secondary pores were developed in the alginite of New Albany shale at the “oil window” stage []. (e) Pores were lacking in the inertinite of New Albany shale at the highly-mature stage []. (f) Honeycomb primary pores were developed in the inertinite of New Albany shale in Daviess County, which were filled with authigenic quartz []. (g) Graptolite in Longmaxi Formation shale of the Sichuan Basin []. (h) Close-up of the area delimited by the dashed red rectangle in (g) showing the scattered pores []. (i) Swirling cortical fibers in the graptolite of Longmaxi Formation shale []. (j) Nanoscale pores were developed between the laminated cortical fibers in Longmaxi Formation shale []. (k) Pores were widely developed in the SB, while they were rarely developed in the vitrinite of Lower Jurassic Ziliujing Formation shale in the northeastern Sichuan Basin []. (l) Micro-cracks were developed in the vitrinite of Middle–Upper Permian shale in the Lower Yangtze region []. (m) Nanopores were developed in the vitrinite of Lower Permian shale in the Ordos Basin []. (n) Vitrinite-like maceral in Longmaxi Formation shale of the Sichuan Basin []. (o) Close-up of the area delimited by the dashed red rectangle in (n) showing no pores in the vitrinite-like maceral []. Part (h) and (o) are the close-up views of the red dashed areas in figures (g) and (n), respectively.
3. Effect of Thermal Evolution on Organic Pore Heterogeneity
In recent years, a large number of studies have been carried out on the correlations between porosity/organic porosity and maturity of shale reservoirs. It is widely accepted that the development and evolution of pores (especially organic pores) were influenced by the degree of thermal evolution and were closely related to the hydrocarbon generation process [,,,]. Jarvie et al. (2007) found that the porosity of the Barnett shale at the “oil window” stage was positively correlated with maturity and the amount of hydrocarbon generation []. Cander (2012) also showed that organic porosity of shale increased with the increase in burial depth at the “oil window”–wet gas stage [], and the formation of secondary organic pores mainly accounted for the increase in porosity []. Wang et al. (2020) conducted a comparative study of the Triassic Yanchang Formation, Lower Silurian Longmaxi Formation and Lower Cambrian Niutitang Formation shale reservoirs, and showed that the development of organic pores was mainly influenced by maturity. As for shale with low maturity (Ro < 1.5%), organic pores were poorly developed. For the shale with high-maturity to over-maturity (3.0% < Ro < 4.0%), organic pores would be destroyed, thus, leading to decreased porosity. The stable development of organic pores can be only guaranteed in shale reservoirs at suitable maturity (1.5% < Ro < 3.0%) []. Chen and Xiao (2014) proposed three stages for the evolution of organic pores, i.e., pore formation stage (0.6% < Ro < 2.0%), pore development stage (2.0% < Ro < 3.5%) and pore destruction stage (Ro > 3.5%) []. Ding et al. (2019) proposed four stages for the evolution of organic pores, i.e., no pore formation stage (Ro < 0.7%), pore formation stage (0.70% ≤ Ro < 1.3%), pore development stage (1.3% ≤ Ro < 3.5%) and pore destruction stage (Ro ≥ 3.5%) []. Wang et al. (2020) established a conceptual model for organic porosity evolution of the shale reservoirs, and suggested that organic porosity first increased, and then decreased, during thermal evolution. The turning point corresponding to Ro value was about 3.0% []. Although different authors had different opinions on the stages of organic pore evolution, the trend was very similar. The organic pore of the shale was formed at the beginning of hydrocarbon generation, and ceased at the end of hydrocarbon generation. During the stage of the “oil window”, a large amount of liquid hydrocarbons were generated from the kerogen, which could be expelled from the kerogen due to hydrocarbon-generation pressurization, thus, resulting in the formation of organic pores within the kerogen []. With the increasing thermal maturity, the retained liquid hydrocarbons were cracked into solid bitumen and hydrocarbon gases, and the quantity of organic pores rapidly increased []. With the further increase in maturity, the organic porosity of shale reservoirs would decrease, and the chemical structure of the OM was destroyed to some extent. The decrease in organic porosity of shale reservoirs at the over-mature stage could be explained by the following two aspects: first, that OM begins to be carbonized, resulting in the destruction of pore structure; second, that strong compaction leads to the collapse of the organic pores [,,,].
It is well accepted that the chemical structure of kerogen changes continuously during thermal evolution [,,,] (Table 1). With the increase in thermal maturity, the kerogen tends to have a stable and orderly chemical structure (i.e., graphitization), which is characterized by the gradual dropping of aliphatic chains and the increase in aromaticity [,,,]. Although the aromaticity of the OM has been suggested to increase with increasing Ro values, the detailed reasons still remain controversial [,,,]. Some authors have suggested that the condensation of aromatic rings resulted in the increase in aromaticity [,,]. However, Hou et al. (2020) pointed out that the increase in aromaticity might be induced from the aromatization or dehydrogenation of hydroaromatic structures []. Hou et al. (2019) found that an important turning point of the OM evolution occurred at Ro = 3.5%, which could be interpreted as the critical point of the OM chemical structure from amorphous carbon to crystalline graphite []. With the increasing degree of graphitization, the hydrocarbon generation capacity of shale decreased rapidly [,]. Moreover, the graphitization would lead to chemical structure rearrangement of the OM []. In addition, the development of organic pores is closely related to the chemical composition and spatial arrangement of the OM [,,]. Although oxygen-containing functional groups played a positive role in the development of micropores [], the aliphatic compounds played an overwhelming role in the formation of micropores [,]. Liu et al. (2018) found that the evolution of organic micropores was controlled by the variation of OM chemical compositions at different thermal maturities. At the Ro ranging from 0.5% to 1.4%, micropore volume was mainly controlled by the aliphatic parts of the chemical structure, which decreased with a decrease in aliphatic parts. At the Ro ranging from 1.4% to 4.0%, micropore volume was controlled by the number of aromatic rings, which increased with the increasing content of aromatic carbon []. In addition, Zhang et al. (2022) proposed that the development of mesopores was related to chemical compositions of the OM and their spatial arrangement. Moreover, the variation of chemical compositions could influence the heterogeneity of the pore surfaces and structures via the alteration of surface chemical properties and pore geometry, while the variation of spatial arrangement could only alter the distribution of pore spaces, thus, influencing the heterogeneity of pore structures []. As for the aromatic compounds, it was found that with the increase in thermal maturity, the proportion of aromatic fringes below 2 × 2 decreased, while that of aromatic fringes above 3 × 3 increased; such a change was not conducive to the development of micropores. The separation and tortuosity of aromatic fringes were closely related to the Langmuir volume and pressure parameters []. Overall, the thermal evolution of OM can alter the chemical compositions (e.g., aliphatic compounds, oxygen containing groups and aromatic compounds) and structures (e.g., length, spacing and orientation of aromatic fringes) of the OM, thus, influencing the structure of OM-hosted pores and the adsorption capacity of methane.

Table 1.
Relationships between thermal evolution, chemical composition, chemical structure and pore evolution of OM in source rocks (modified from [,,,,,]).
The relationships between organic pore structure parameters and maturity are shown in Figure 4, based on previous works [,,,,,,,,,,,,,]. The organic micropore volume of shale samples showed an increasing trend at Ro values < 2.5% with increasing maturity, but decreased at Ro value > 2.5%. It is noteworthy that the type of kerogen affects the correlation between maturity and organic micropore volume (Figure 4a), showing that micropores were poorly developed in type III kerogen. The evolution of organic non-microporous volume was different from that of organic microporous volume. The organic mesopore volume reached a maximum value at Ro = 3.2–3.5%, then decreased sharply with further increase in Ro (Figure 4b). However, the turning point of organic macropore volume corresponded to a lower maturity (Ro = 1.5–1.8%) (Figure 4c), probably indicating that thermal evolution exerted a more obvious effect on large-scaled pores. At the highly- and over-mature stages, macropores are probably converted to micropores and mesopores due to the collapse of larger pores, resulting in an increase in micropore and mesopore volumes. In addition to the kerogen type, some outliers may be induced from rigid matrix minerals []. For example, high quartz content is conducive to the preservation of macropores (Figure 4c). At Ro < 3.0%, there is a positive correlation between organic porosity and Ro values, but such an increasing trend would be diminished at Ro exceeding 3.0% (Figure 4d).

Figure 4.
Pore structure and porosity evolution of organic pores with increasing thermal maturity in shale. (a) Micropore volume. (b) Mesopore volume. (c) Macropore volume. (d) Organic porosity of shale samples. Data are from [,,,,,,,,,,,,,].
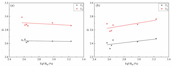
The fractal dimension of low pressure N2 adsorption data is widely used to quantitatively characterize the heterogeneity of pores in shale reservoirs. This method has been widely applied in whole-rock shale samples [,,,]. Some authors have also studied the heterogeneity of organic pores in shale reservoirs [,,,]. For example, Wang et al. (2021) isolated the kerogen fraction of Wufeng–Longmaxi Formation shale with various maturities (EqVRo = 2.61–3.23%) and measured pore structure parameters of bulk shale samples and corresponding kerogen fractions. They found that the fractal dimensions D1 (representing the roughness of pore surface) and D2 (representing the irregularity of pore structure) of kerogen fractions were significantly lower than those of bulk shale samples, which increased with the increase in the EqVRo value (Figure 5) []. This seems to reveal that the heterogeneity of pore structure in the mineral matrix of shale samples is stronger than that in the OM, but the OM also shows obvious heterogeneity of pores.

Figure 5.
Cross-plots of EqVRo value versus fractal dimension (D1, D2) of (a) bulk shale and (b) the isolated kerogen fraction of Wufeng–Longmaxi Formation shale samples (data are from []).
In summary, the heterogeneity of organic pores in shale reservoirs will increase with increasing maturity. The study of the evolution of organic pores needs to comprehensively consider the influences of TOC, OM type, diagenesis and other factors.
4. Effect of TOC on Organic Pore Heterogeneity
TOC content is one of major factors influencing the development of organic pores, since it directly reflects the amount of OM in shale. However, the effect of TOC on the heterogeneity of organic pores remains controversial. Curtis et al. (2012) studied four shale formations (Barnett, Haynesville, Horn River and Kimmeridge shale) and found that organic pores were barely developed in the Kimmeridge shale with the highest TOC content (TOC = 51.4%), while organic pores were widely developed in the Barnett and Horn River shale samples with lower TOC content []. Milliken et al. (2013) found that the TOC content of Marcellus shale had a positive correlation with porosity when the TOC content was less than 5.6%. However, TOC content was negatively correlated with porosity when the TOC content was greater than 5.6%. They believed that TOC could not always control and predict the development of organic pores, but that TOC is a major factor controlling the development of organic pores within a specified TOC range []. Similarly, Wood et al. (2015) also found that shale samples with a porosity greater than 7.5% all had low TOC content (<1.0 wt.%) [], which was attributed to the strong sealing capacity of shale formations. With increasing TOC content, the gas adsorption capacity of shale samples increased and the effective pore throat narrowed, leading to a reduction in permeability and, thus, the increased sealing capacity of shale formations. During the primary migration, only a small amount of liquid hydrocarbons was expelled and a large amount of liquid hydrocarbons retained in the shale formations as the fillings within the mineral-matrix pores []. Although OM-hosted pores are the most important part of the pore system of shale reservoirs, SB sometimes blocks the larger pores, and plays a detrimental role in reservoir quality []. Yang et al. (2018) found a positive correlation between pore structure parameters and TOC content of Lower Cambrian Qiongzhusi Formation shale in the southern Sichuan Basin, and a large volume of micropores had developed in shale samples with higher TOC content. Thus, they suggested that TOC content was still a major factor controlling the pore structure of shale []. Tenger et al. (2021) found a positive correlation between TOC content and organic porosity of Lower Cambrian Niutitang Formation shale at a TOC content of less than 6%. However, a negative correlation was observed at a TOC content greater than 6%. They explained that high OM content would increase the plasticity of shale, thus, reducing its compaction-resistant ability [].
We collected the data of TOC, organic porosity and organic pore structure parameters of shale reservoirs from previous works [,,,,,,,,,,,,,,,], and the associated cross-plots are shown in Figure 6. When the TOC content of the shale samples exceeded 10%, the organic micropore volume decreased obviously (Figure 6a). When the TOC content of the shale samples exceeded 5–7%, the organic mesopore and macropore volumes decreased significantly (Figure 6b,c). Thus, it can be inferred that organic pores occurred in the low-TOC shale samples in the forms of micropore, mesopore and macropore. However, the mesopore and macropore of the high-TOC shale samples (TOC > 5–7%) would be compacted, resulting in the predominance of micropore in the OM. Thus, the difference and heterogeneity of organic pores in shale can be deduced from the TOC variations. In addition, organic porosity also displays a strong heterogeneity even in the same shale formation. For example, the TOC content of Longmaxi Formation shale mainly varied from 1 to 5%, but the organic porosity of shale samples with similar TOC content was extremely varied, ranging from 10 to 32% (Figure 6d). Such a difference may have resulted from the differences of OM types, mineral compositions, maturity and tectonic activity in different shale formations or in the same shale formation from different regions.

Figure 6.
Cross-plots of TOC content versus (a) micropore volume, (b) mesopore volume, (c) macropore volume, and (d) organic porosity of shale samples. Pore structure parameters were measured from the kerogen fraction of shale samples. Data are from [,,,,,,,,,,,,,,,].
5. Effect of Mineral Compositions on Organic Pore Heterogeneity
Inorganic minerals in shale, such as quartz, clays, carbonates and pyrite, may have exerted a certain impact on the development and preservation of organic pores, thus, affecting the heterogeneity of organic pores. In general, brittle minerals, such as quartz, have a constructive effect on the formation and preservation of organic pores, while clay minerals with strong plasticity cannot provide conditions for the stable preservation of organic pores (Figure 7a). Organic pores are often poorly developed in clay-rich shale samples with high maturity. Li (2017) studied the Lower Cambrian and Lower Silurian shale reservoirs in south China, and found that different covariations between porosity and mineral compositions, due to the varied compaction-resistant abilities of different minerals. For example, the content of brittle minerals such as quartz and feldspar was positively correlated with porosity, while the content of clay minerals was negatively correlated with porosity []. In addition to the weak plasticity of quartz minerals, the aggregate of amorphous microquartz grains plays an important role in the preservation of organic pores (Figure 7b,c) [,,]. Gao et al. (2022) found that a rigid framework of microquartz aggregates had formed in deeply-buried shale of the Wufeng–Longmaxi Formation, and clay minerals within the SB showed directional distribution, revealing the effective compaction-resistant ability (Figure 7d) []. However, the pore preservation capacity of quartz of different origins was also different. The biogenic quartz was more effective in preserving porosity than the quartz of other origins (e.g., quartz formed from the transformation of smectite to illite) [,]. Biogenic silica could preserve porosity during the deposition of siliceous oozes to very early diagenesis []. Moreover, Liu et al. (2019) found that a stable structure could be formed in the mineral–organic aggregations and pyrite framboids of Lower Cambrian shale, which had strong compaction-resistant ability and played a positive role in the preservation of organic pores. They also believed that preservation conditions had a greater influence on the preservation of organic pores than maturity [].

Figure 7.
SEM photographs showing different mineral compositions and pore characteristics of OM. Samples were from Wufeng–Longmaxi Formation shale in Well PS-1. Points delineated by red stars were analyzed by EDS. (Explanation: SB = solid bitumen; Q = quartz; K-F = K-feldspar.) (a) Compaction induced the deformation of clay minerals and the collapse of pores, while quartz may work against compaction, and organic pores were largely preserved []. (b) Microquartz aggregate consisting of euhedal microquartz crystals; the SB within the microquartz aggregate was porous []. (c) The SB between microquartz aggregates was porous []. (d) The SB between the microquartz grains was porous, and some clay minerals (probably illite) displayed an oriented distribution in the SB, indicating that the rigid framework formed by microquartz grains worked against the compaction []. The four photographs are from [].
Since the formation of organic pores is closely related to the hydrocarbon generation process, some minerals play a catalytic role in hydrocarbon generation to some extent, and have exerted a certain impact on the development of organic pores [,,]. For example, it is widely accepted that clay minerals have a catalytic effect on the hydrocarbon generation of OM [,], and organic pores are especially well developed in the clay-mineral–organic aggregations [,,,,]. On the other hand, authigenic quartz could be formed via the conversion of montmorillonite to illite, which may play a positive role in the preservation of organic pores [,]. Ma et al. (2017) believed that some elements of inorganic minerals would migrate during the thermal evolution of shale and could be introduced into the OM margins, thus, forming stable clay coatings. Pores are poorly developed on the OM margins, while pores are widely developed in the core of OM particles, thus, displaying pore heterogeneity [].
In fact, the relationship between the content of inorganic minerals and organic porosity is very complex. In particular, such a relationship displays an unclear trend based on robust data under the conditions of the occurrence of other factors controlling organic porosity [,,,,,,,,]. The relationships between the content of major minerals (quartz and clay) of shale samples and pore structure parameters of OM are shown in Figure 8. Complex relationships can be observed to have occurred between quartz content and the organic pore volume of shale samples (Figure 8). When the quartz content is low (<40–50%), organic mesopore volume displays an increasing trend with the increasing content of quartz, whereas organic micropore volume shows a decreasing trend. However, a negative correlation between pore volume and quartz content is displayed when the quartz content exceeds 50% (Figure 8a,b). Such relationships could be caused by the following two aspects. The first is that micropores and mesopores connect to each other and combine into macropores due to the influence of thermal evolution, tectonic deformation and other factors. Moreover, the high quartz content avoids the collapse of larger pores, which is favorable for the preservation of macropores (Figure 4c). Secondly, organic pores may be extruded to a certain extent due to the high quartz content, and the high quartz content may also cause the blocking of primary pores, resulting in a decrease in pore volume. These evidence indicate that moderate quartz content is favorable for the preservation of larger pores. The volume of organic micropores and mesopores display a decreasing trend with the increasing content of clay minerals (Figure 8c,d). Increased content of clay minerals lead to poor preservation conditions of organic pores, probably due to the strong plasticity of clay minerals. In short, the effect of minerals on the development and heterogeneity of organic pores seems to be complex.

Figure 8.
Cross-plots of (a) quartz content versus micropore volume, (b) clay content versus micropore volume, (c) quartz content versus mesopore volume, and (d) clay content versus mesopore volume of shale samples. Data from [,,,,,,,,].
The effect of mineral compositions on the development of organic pore and its heterogeneity is obviously exhibited in different shale lithofacies. Liu (2019) found that organic pores were widely developed in siliceous shale of the Upper Permian Dalong Formation in the western Hubei area, while organic pores were poorly developed in mixed shale that contained a higher content of carbonates. A large number of organic pores were blocked in the mixed shale, and organic pores displayed flat shapes due to compaction []. Yang et al. (2018) also found that organic pores were developed in siliceous shale of the Lower Cambrian Qiongzhusi Formation in the southern Sichuan Basin, while organic pores were poorly developed in argillaceous/siliceous mixed shale. However, organic pores were rarely developed in carbonate-rich shale or clay-rich shale samples [].
6. Other Factors Influencing Organic Pore Heterogeneity
In addition to the OM itself, some geological factors could also influence the development of organic pores, leading to the heterogeneity of organic pores. Diagenesis has exerted a certain influence on the quantity, morphology, preservation condition and connectivity of organic pores []. Compaction is one of most important factors controlling the variation of the porosity and pore structure of shale reservoirs. Since the property, morphology and habitat of the OM in shale reservoirs are different, compaction could lead to the heterogeneity of organic pores (Figure 7a) [,]. However, it must be noted that the effect of compaction on the development of organic pores may be synchronous with the processes of hydrocarbon generation and expulsion, so these factors should be taken into consideration comprehensively. However, the effect of the compaction on the development of organic pores would be more significant when the burial depth of shale exceeds the lower limit of hydrocarbon generation. It is generally believed that the decrease in porosity in shale reservoirs mainly accounts for the collapse of pores due to compaction at the over-mature stage [,,].
The fluid pressure of shale reservoirs plays a critical role in the preservation of organic pores. The hydrocarbon generation of OM is the main mechanism for the development of organic pores in shale. With increasing amounts of generated hydrocarbon, the fluid pressure increases inside organic pores, and plays an important role in supporting organic pores. Thus, the compaction-resistant ability of organic pores is increased, and they could be well developed and preserved. The study of the Lower Silurian Longmaxi Formation shale in the Sichuan Basin found that fluid overpressure played a constructive role in the preservation of organic pores [,,] and favored the preservation of the shapes of circular organic pores []. Guo et al. (2020) suggested that deep and ultra-deep shale gas reservoirs in the Sichuan Basin generally had the characteristics of high fluid pressure and high porosity, and reservoir fluid overpressure was the key factor controlling the development of high porosity in high-quality shale under deep burial conditions []. Cao et al. (2017) also found that an undercompacted zone in the matured continental shale formation of the Xihu Sag could be formed due to abnormal overpressure, and can protect the residual primary organic pores of shale [].
In the strongly-deformed zones, the heterogeneity of organic pores may mainly result from tectonic activities. The deformation of shale would occur due to tectonic stresses, which would also influence the pore characteristics of the shale. In general, stable tectonic conditions favor the preservation of organic pores, while tectonic deformation is not conducive to the preservation of pores [,]. Ma et al. (2020) studied two successions of the Lower Cambrian shale in the Chongqing area, which had a similar sedimentary environment and thermal maturity. They found that organic pores of shales in the tectonic non-deformed zone were relatively developed, and the specific surface area and pore volume of non-micropores of non-deformed shale samples were higher than those of deformed shale samples []. However, the effect of tectonic stress on the micropores of the deformed shale samples was little []. Therefore, tectonic activity leads to the variation of organic pore structure parameters. Li (2017) studied Lower Paleozoic marine shale in the tectonic compression zone of the Yangtze area, and found that strong compression could lead to poor development of organic pores in shale, resulting in lower porosity, pore volume, specific surface area and methane adsorption capacity []. In addition, tectonic activity may also enhance OM plasticity, thus, resulting in the destruction and even collapse of organic pores during burial [,]. Yao et al. (2020) found that a large amount of micro-cracks were formed within the OM of shale due to multiple extension and compression effects in the Linqing Sag, resulting in the heterogeneity of organic pores []. On the other hand, micro-cracks may be formed in shale samples in a tectonic deformation zone. These micro-cracks may lead not only to the increase in reservoir spaces to some extent, but also the leakage of hydrocarbon gases, thus, resulting in a reduction in the fluid pressure coefficient and the compression of organic pores. Therefore, tectonism will not only alter the pore structure characteristics of organic pores and enhance its heterogeneity, but also exert an important impact on the gas content of shale.
7. Conclusions
Organic pores of shale display strong heterogeneity, which are not only controlled by the properties of shale itself, including TOC content, maturity, kerogen types, maceral compositions and mineral compositions, but are also influenced by geological factors, such as fluid pressure, compaction and tectonic deformation. These factors have exerted different controls on the heterogeneity of organic pores in shale, leading to differences in the quantity, distribution and pore structure of organic pores. The kerogen type and maceral compositions of shale are the basic factors influencing the development of organic pores and their heterogeneity. With increasing maturity, organic pores have experienced an evolutionary process from pore formation, to pore development, to pore destruction. A critical point for the destruction of organic pores is 3.5% Ro. When the Ro value exceeds 3.5%, the OM is graphitized and its hydrocarbon generation capacity is almost exhausted. A complex relationship between TOC and organic porosity or pore structure parameters of organic pores would be displayed. In the high-TOC shale deposits, the correlation between TOC and organic pore structure parameters may be poor, or have even disappeared due to compaction, thus, showing obvious heterogeneity. The effect of different types of minerals in shale on the development of organic pores is significantly different. Brittle minerals play a constructive role in the preservation of organic pores. However, clay minerals have a certain catalytic effect on hydrocarbon generation and may have a positive effect on the formation of organic pores, but they are generally not conducive to the preservation of organic pores. In the different shale lithofacies, organic pores show obvious strong heterogeneity due to the variations of mineral compositions. Fluid pressure has great significance for the preservation of organic pores. Diagenesis, especially diagenetic compaction and strong compression caused by tectonic deformation, can alter the pore structure of shale to some extent, enhancing the heterogeneity of organic pores.
The heterogeneity of organic pores in shale has resulted from various factors. However, the major factors controlling heterogeneity still remain unclear, and the formation mechanism of organic pores and its influencing factors should be further studied. There are still some unsolved problems. For example, the formation and evolutionary mechanism of pores in some macerals remain unclear, and, moreover, the identification of different types of macerals is still challenging in highly-mature shale. At the over-mature stage, the development and preservation processes of organic pores in shale are highly complex. The reverse relationship between organic porosity/organic pore structure parameters and TOC content and its mechanism, still need to be studied. Minerals have dual effects on the development of organic pores and their heterogeneity, and the associated mechanisms still need to be explored. These scientific issues are also important research directions for shale reservoir evaluation, in the future.
Author Contributions
Conceptualization, Y.Z., P.G. and X.X.; methodology, Y.Z.; software, Y.Z.; validation, Y.X. and W.L.; formal analysis, Y.Z.; investigation, Y.Z.; resources, X.X. and Q.Z.; data curation, Y.Z.; writing—original draft preparation, Y.Z.; writing—review and editing, P.G. and X.X.; visualization, Y.Z.; supervision, X.X.; project administration, X.X.; funding acquisition, X.X. All authors have read and agreed to the published version of the manuscript.
Funding
This research was funded by the National Natural Science Foundation of China, grant numbers U1810201, 42030804, 41502161 and U19B6003-03-01; and the Science and Technology Department of Shanxi Province, China, grant number 20201101003.
Institutional Review Board Statement
Not applicable.
Informed Consent Statement
Not applicable.
Data Availability Statement
Not applicable.
Conflicts of Interest
The authors declare no conflict of interest.
References
- Loucks, R.G.; Reed, R.M.; Ruppel, S.C.; Jarvie, D.M. Morphology, Genesis, and Distribution of Nanometer-Scale Pores in Siliceous Mudstones of the Mississippian Barnett Shale. J. Sediment. Res. 2009, 79, 848–861. [Google Scholar] [CrossRef]
- Sun, J.; Xiao, X.; Cheng, P.; Tian, H. Formation and evolution of nanopores in shales and its impact on retained oil during oil generation and expulsion based on pyrolysis experiments. J. Pet. Sci. Eng. 2019, 176, 509–520. [Google Scholar] [CrossRef]
- Zhang, C.; Yao, Y.; Dong, Y. Heterogeneous development of micro- and meso-pores in shale kerogen: New insights from chemical structure analysis. J. Nat. Gas Sci. Eng. 2022, 102, 104552. [Google Scholar] [CrossRef]
- Liang, Z.; Jiang, Z.; Li, Z.; Song, Y.; Gao, F.; Liu, X.; Xiang, S. Nanopores Structure and Multifractal Characterization of Bulk Shale and Isolated Kerogen—An Application in Songliao Basin, China. Energy Fuels 2021, 35, 5818–5842. [Google Scholar] [CrossRef]
- Loucks, R.G.; Reed, R.M.; Ruppel, S.C.; Hammes, U. Spectrum of pore types and networks in mudrocks and a descriptive classification for matrix-related mudrock pores. AAPG Bull. 2012, 96, 1071–1098. [Google Scholar] [CrossRef]
- Sun, J.; Xiao, X.; Wei, Q.; Cheng, P.; Tian, H.; Wu, Y. Gas in place and its controlling factors of the shallow Longmaxi shale in the Xishui area, Guizhou, China. J. Nat. Gas Sci. Eng. 2020, 77, 103272. [Google Scholar] [CrossRef]
- Gou, Q.; Xu, S.; Hao, F.; Yang, F.; Zhang, B.; Shu, Z.; Zhang, A.; Wang, Y.; Lu, Y.; Cheng, X.; et al. Full-scale pores and micro-fractures characterization using FE-SEM, gas adsorption, nano-CT and micro-CT: A case study of the Silurian Longmaxi Formation shale in the Fuling area, Sichuan Basin, China. Fuel 2019, 253, 167–179. [Google Scholar] [CrossRef]
- Zhang, Q.; Xiong, X.; Pang, Z.; Liu, R.; Liang, F.; Liang, P.; Guo, W.; Zhang, J. Composition effects on pore structure of transitional shale: A case study of the upper Carboniferous Taiyuan Formation in the eastern uplift of the Liaohe Depression, China. Mar. Pet. Geol. 2019, 110, 638–649. [Google Scholar] [CrossRef]
- Yang, R.; He, S.; Yi, J.; Hu, Q. Nano-scale pore structure and fractal dimension of organic-rich Wufeng-Longmaxi shale from Jiaoshiba area, Sichuan Basin: Investigations using FE-SEM, gas adsorption and helium pycnometry. Mar. Pet. Geol. 2016, 70, 27–45. [Google Scholar] [CrossRef]
- Giesche, H. Mercury Porosimetry: A General (Practical) Overview. Part. Part. Syst. Charact. 2006, 23, 9–19. [Google Scholar] [CrossRef]
- Mastalerz, M.; He, L.; Melnichenko, Y.B.; Rupp, J.A. Porosity of Coal and Shale: Insights from Gas Adsorption and SANS/USANS Techniques. Energy Fuels 2012, 26, 5109–5120. [Google Scholar] [CrossRef]
- Zhao, P.; Wang, X.; Cai, J.; Luo, M.; Zhang, J.; Liu, Y.; Rabiei, M.; Li, C. Multifractal analysis of pore structure of Middle Bakken formation using low temperature N2 adsorption and NMR measurements. J. Pet. Sci. Eng. 2019, 176, 312–320. [Google Scholar] [CrossRef]
- Radlinski, A.P.; Blach, T.; Vu, P.; Ji, Y.; Campo, L.D.; Gilbert, E.P.; Regenauer-Lieb, K.; Mastalerz, M. Pore accessibility and trapping of methane in Marcellus Shale. Int. J. Coal Geol. 2021, 248, 103850. [Google Scholar] [CrossRef]
- Yu, K.; Ju, Y.; Shao, C. Structure characteristics and evolution mechanism of nanopore in transitional coal-bearing shale. J. Pet. Sci. Eng. 2020, 184, 106545. [Google Scholar] [CrossRef]
- Cao, Q.; Zhou, W.; Deng, H.; Chen, W. Classification and controlling factors of organic pores in continental shale gas reservoirs based on laboratory experimental results. J. Nat. Gas Sci. Eng. 2015, 27, 1381–1388. [Google Scholar] [CrossRef]
- Li, Z.; Jiang, Z.; Yu, H.; Liang, Z. Organic Matter Pore Characterization of the Wufeng-Longmaxi Shales from the Fuling Gas Field, Sichuan Basin: Evidence from Organic Matter Isolation and Low-Pressure CO2 and N2 Adsorption. Energies 2019, 12, 1207. [Google Scholar] [CrossRef]
- Fathy, D.; Wagreich, M.; Sami, M. Geochemical Evidence for Photic Zone Euxinia During Greenhouse Climate in the Tethys Sea, Egypt. In Advances in Geophysics, Tectonics and Petroleum Geosciences; Springer International Publishing: Cham, Switzerland, 2022; pp. 373–374. [Google Scholar]
- Milner, M.; Mclin, R.; Petriello, J. Imaging Texture and Porosity in Mudstones and Shales: Comparison of Secondary and Ion-Milled Backscatter SEM Methods. In Proceedings of the Canadian Unconventional Resources and International Petroleum Conference, Calgary, AB, Canada, 19–21 October 2010. [Google Scholar]
- Cao, T.; Song, Z. Effects of Organic Matter Properties on Organic Pore Development and Reservoir. Spec. Oil Gas Reserv. 2016, 23, 7–13, (In Chinese with English abstract). [Google Scholar]
- Hu, G.; Pang, Q.; Jiao, K.; Hu, C.; Liao, Z. Development of organic pores in the Longmaxi Formation overmature shales: Combined effects of thermal maturity and organic matter composition. Mar. Pet. Geol. 2020, 116, 104314. [Google Scholar] [CrossRef]
- Chen, Z.; Song, Y.; Jiang, Z.; Liu, S.; Li, Z.; Shi, D.; Yang, W.; Yang, Y.; Song, J.; Gao, F.; et al. Identification of organic matter components and organic pore characteristics of marine shale: A case study of Wufeng-Longmaxi shale in southern Sichuan Basin, China. Mar. Pet. Geol. 2019, 109, 56–69. [Google Scholar] [CrossRef]
- Liu, B.; Teng, J.; Mastalerz, M.; Schieber, J.; Schimmelmann, A.; Bish, D. Compositional Control on Shale Pore Structure Characteristics across a Maturation Gradient: Insights from the Devonian New Albany Shale and Marcellus Shale in the Eastern United States. Energy Fuels 2021, 35, 7913–7929. [Google Scholar] [CrossRef]
- Chalmers, G.; Bustin, R.M.; Powers, I. A pore by any other name would be as small: The importance of meso- and microporosity in shale gas capacity. In Proceedings of the AAPG Annual Convention and Exhibition, Denver, CO, USA, 7–10 June 2009. [Google Scholar]
- Schieber, J. Common Themes in the Formation and Preservation of Intrinsic Porosity in Shales and Mudstones—Illustrated With Examples Across the Phanerozoic. In Proceedings of the SPE Unconventional Gas Conference, Pittsburgh, PA, USA, 23–25 February 2010. [Google Scholar]
- Sondergeld, C.H.; Ambrose, R.J.; Rai, C.S.; Moncrieff, J. Micro-Structural Studies of Gas Shales. In Proceedings of the SPE Unconventional Gas Conference, Pittsburgh, PA, USA, 23–25 February 2010. [Google Scholar]
- Curtis, M.E.; Ambrose, R.J.; Sondergeld, C.H.; Rai, C.S. Transmission and Scanning Electron Microscopy Investigation of Pore Connectivity of Gas Shales on the Nanoscale. In Proceedings of the North American Unconventional Gas Conference and Exhibition, The Woodlands, TX, USA, 14–16 June 2011. [Google Scholar]
- Curtis, M.E.; Cardott, B.J.; Sondergeld, C.H.; Rai, C.S. Development of organic porosity in the Woodford Shale with increasing thermal maturity. Int. J. Coal Geol. 2012, 103, 26–31. [Google Scholar] [CrossRef]
- Tian, H.; Pan, L.; Zhang, T.; Xiao, X.; Meng, Z.; Huang, B. Pore characterization of organic-rich Lower Cambrian shales in Qiannan Depression of Guizhou Province, Southwestern China. Mar. Pet. Geol. 2015, 62, 28–43. [Google Scholar] [CrossRef]
- Milliken, K.L.; Rudnicki, M.; Awwiller, D.N.; Zhang, T. Organic matter–hosted pore system, Marcellus Formation (Devonian), Pennsylvania. AAPG Bull. 2013, 97, 177–200. [Google Scholar] [CrossRef]
- Löhr, S.C.; Baruch, E.T.; Hall, P.A.; Kennedy, M.J. Is organic pore development in gas shales influenced by the primary porosity and structure of thermally immature organic matter? Org. Geochem. 2015, 87, 119–132. [Google Scholar] [CrossRef]
- Teng, J.; Liu, B.; Mastalerz, M.; Schieber, J. Origin of organic matter and organic pores in the overmature Ordovician-Silurian Wufeng-Longmaxi Shale of the Sichuan Basin, China. Int. J. Coal Geol. 2022, 253, 103970. [Google Scholar] [CrossRef]
- Liu, B. Organic matter in shales: Types, thermal evolution, and organic pores. Earth Sci. 2022, in press (In Chinese with English abstract). [Google Scholar] [CrossRef]
- Katz, B.J.; Arango, I. Organic porosity: A geochemist’s view of the current state of understanding. Org. Geochem. 2018, 123, 1–16. [Google Scholar] [CrossRef]
- Ko, L.T.; Loucks, R.G.; Ruppel, S.C.; Zhang, T.; Peng, S. Origin and characterization of Eagle Ford pore networks in the south Texas Upper Cretaceous shelf. AAPG Bull. 2017, 101, 387–418. [Google Scholar] [CrossRef]
- Fishman, N.S.; Egenhoff, S.O.; Boehlke, A.R.; Lowers, H.A. Petrology and diagenetic history of the upper shale member of the Late Devonian–Early Mississippian Bakken Formation, Williston Basin, North Dakota. Geol. Soc. Am. Spec. Pap. 2015, 515, 125–151. [Google Scholar]
- Jarvie, D.M.; Hill, R.J.; Ruble, T.E.; Pollastro, R.M. Unconventional shale-gas systems: The Mississippian Barnett Shale of north-central Texas as one model for thermogenic shale-gas assessment. AAPG Bull. 2007, 91, 475–499. [Google Scholar] [CrossRef]
- Bernard, S.; Horsfield, B.; Schulz, H.-M.; Wirth, R.; Schreiber, A.; Sherwood, N. Geochemical evolution of organic-rich shales with increasing maturity: A STXM and TEM study of the Posidonia Shale (Lower Toarcian, northern Germany). Mar. Pet. Geol. 2012, 31, 70–89. [Google Scholar] [CrossRef]
- Liu, B.; Schieber, J.; Mastalerz, M. Combined SEM and reflected light petrography of organic matter in the New Albany Shale (Devonian-Mississippian) in the Illinois Basin: A perspective on organic pore development with thermal maturation. Int. J. Coal Geol. 2017, 184, 57–72. [Google Scholar] [CrossRef]
- Wang, L.; Cao, H. A possible mechanism of organic pores evolution in shale: A case from Dalong Formation, Lower Yangtze area. Nat. Gas Geosci. 2016, 27, 520–523, (In Chinese with English abstract). [Google Scholar]
- Wei, S.; He, S.; Pan, Z.; Zhai, G.; Dong, T.; Guo, X.; Yang, R.; Han, Y.; Yang, W. Characteristics and evolution of pyrobitumen-hosted pores of the overmature Lower Cambrian Shuijingtuo Shale in the south of Huangling anticline, Yichang area, China: Evidence from FE-SEM petrography. Mar. Pet. Geol. 2020, 116, 104303. [Google Scholar] [CrossRef]
- Li, Y.; Chen, S.; Yin, X.; He, Q.; Su, K.; Xiao, Z.; Qiu, W.; He, X. Research Status, Geological Significance and Development Trend of Solid Bitumen in Reservoirs. J. Jilin Univ. (Earth Sci. Ed. ) 2020, 50, 732–746, (In Chinese with English abstract). [Google Scholar]
- Yang, X.; Liu, C.; Liu, W.; Ren, H. Characteristics of and factors influencing organic pores in the Lower Silurian Longmaxi Formation, Fushun-Yongchuan area, Sichuan Basin. Oil Gas Geol. 2021, 42, 1321–1333, (In Chinese with English abstract). [Google Scholar]
- Loucks, R.G.; Ruppel, S.C.; Wang, X.; Ko, L.; Peng, S.; Zhang, T.; Rowe, H.D.; Smith, P. Pore types, pore-network analysis, and pore quantification of the lacustrine shale-hydrocarbon system in the Late Triassic Yanchang Formation in the southeastern Ordos Basin, China. Interpretation 2017, 5, SF63–SF79. [Google Scholar] [CrossRef]
- Mastalerz, M.; Drobniak, A.; Stankiewicz, A.B. Origin, properties, and implications of solid bitumen in source-rock reservoirs: A review. Int. J. Coal Geol. 2018, 195, 14–36. [Google Scholar] [CrossRef]
- Hackley, P.C.; Cardott, B.J. Application of organic petrography in North American shale petroleum systems: A review. Int. J. Coal Geol. 2016, 163, 8–51. [Google Scholar] [CrossRef]
- Delle Piane, C.; Ansari, H.; Li, Z.; Mata, J.; Rickard, W.; Pini, R.; Dewhurst, D.N.; Sherwood, N. Influence of organic matter type on porosity development in the Wufeng-Longmaxi Shale: A combined microscopy, neutron scattering and physisorption approach. Int. J. Coal Geol. 2022, 249, 103880. [Google Scholar] [CrossRef]
- Landis, C.R.; Castaño, J.R. Maturation and bulk chemical properties of a suite of solid hydrocarbons. Org. Geochem. 1995, 22, 137–149. [Google Scholar] [CrossRef]
- Xu, L.; Yang, W.; Jiang, Z.; Chen, D.; Wang, Y.; Lu, J.; Zhao, M.; Li, L. Evolution and genesis of organic pores in Triassic Xujiahe Formation shale, Western Sichuan Depression, Sichuan Basin. Oil Gas Geol. 2022, 43, 325–340, (In Chinese with English abstract). [Google Scholar]
- Wang, M.; Xiao, X.; Wei, Q.; Zhou, Q. Thermal Maturation of Solid Bitumen in Shale as Revealed by Raman Spectroscopy. Nat. Gas Geosci. 2015, 26, 1712–1718, (In Chinese with English abstract). [Google Scholar]
- Zhang, W.; Hu, W.; Borjigin, T.; Zhu, F. Pore characteristics of different organic matter in black shale: A case study of the Wufeng-Longmaxi Formation in the Southeast Sichuan Basin, China. Mar. Pet. Geol. 2020, 111, 33–43. [Google Scholar] [CrossRef]
- Cardott, B.J.; Curtis, M.E. Identification and nanoporosity of macerals in coal by scanning electron microscopy. Int. J. Coal Geol. 2018, 190, 205–217. [Google Scholar] [CrossRef]
- Chen, Z.; Wang, T.; Liu, Q.; Zhang, S.; Zhang, L. Quantitative evaluation of potential organic-matter porosity and hydrocarbon generation and expulsion from mudstone in continental lake basins: A case study of Dongying sag, eastern China. Mar. Pet. Geol. 2015, 66, 906–924. [Google Scholar] [CrossRef]
- Fishman, N.S.; Hackley, P.C.; Lowers, H.A.; Hill, R.J.; Egenhoff, S.O.; Eberl, D.D.; Blum, A.E. The nature of porosity in organic-rich mudstones of the Upper Jurassic Kimmeridge Clay Formation, North Sea, offshore United Kingdom. Int. J. Coal Geol. 2012, 103, 32–50. [Google Scholar] [CrossRef]
- Cao, Q. Identification of microcomponents and types of kerogen under transmitted light. Pet. Explor. Dev. 1985, 5, 14–23, 81–88, (In Chinese with English abstract). [Google Scholar]
- Hou, Y.; He, S.; Wang, J.; Harris, N.B.; Cheng, C.; Li, Y. Preliminary study on the pore characterization of lacustrine shale reservoirs using low pressure nitrogen adsorption and field emission scanning electron microscopy methods: A case study of the Upper Jurassic Emuerhe Formation, Mohe basin, northeastern China. Can. J. Earth Sci. 2015, 52, 294–306. [Google Scholar]
- Chalmers, G.R.L.; Bustin, R.M. The organic matter distribution and methane capacity of the Lower Cretaceous strata of Northeastern British Columbia, Canada. Int. J. Coal Geol. 2007, 70, 223–239. [Google Scholar] [CrossRef]
- Ardakani, O.H.; Sanei, H.; Ghanizadeh, A.; Lavoie, D.; Chen, Z.; Clarkson, C.R. Do all fractions of organic matter contribute equally in shale porosity? A case study from Upper Ordovician Utica Shale, southern Quebec, Canada. Mar. Pet. Geol. 2018, 92, 794–808. [Google Scholar] [CrossRef]
- Zhang, J.; He, S.; Yan, X.; Hou, Y.; Chen, X. Structural characteristics and thermal evolution of nanoporosity in shales. J. China Univ. Pet. 2017, 41, 11–24, (In Chinese with English abstract). [Google Scholar]
- Teng, J.; Mastalerz, M.; Hampton, L. Maceral controls on porosity characteristics of lithotypes of Pennsylvanian high volatile bituminous coal: Example from the Illinois Basin. Int. J. Coal Geol. 2017, 172, 80–94. [Google Scholar] [CrossRef]
- Yang, C.; Xiong, Y.; Zhang, J. Developmental differences of secondary organic pores among marine, lacustrine, and transitional shale in China. Geochimica 2019, 48, 544–554, (In Chinese with English abstract). [Google Scholar]
- Modica, C.J.; Lapierre, S.G. Estimation of kerogen porosity in source rocks as a function of thermal transformation: Example from the Mowry Shale in the Powder River Basin of Wyoming. AAPG Bull. 2012, 96, 87–108. [Google Scholar] [CrossRef]
- Sun, M.; Yu, B.; Hu, Q.; Chen, S.; Xia, W.; Ye, R. Nanoscale pore characteristics of the Lower Cambrian Niutitang Formation Shale: A case study from Well Yuke #1 in the Southeast of Chongqing, China. Int. J. Coal Geol. 2016, 154–155, 16–29. [Google Scholar]
- Song, Y.; Gao, F.; Tang, X.; Chen, L.; Wang, X. Influencing factors of pore structure differences between marine and terrestrial shale reservoirs. Acta Pet. Sin. 2020, 41, 1501–1512, (In Chinese with English abstract). [Google Scholar]
- Tang, X.; Zhang, J.; Wang, X.; Yu, B.; Ding, W.; Xiong, J.; Yang, Y.; Wang, L.; Yang, C. Shale characteristics in the southeastern Ordos Basin, China: Implications for hydrocarbon accumulation conditions and the potential of continental shales. Int. J. Coal Geol. 2014, 128–129, 32–46. [Google Scholar] [CrossRef]
- Reed, R.; Loucks, R. Low-thermal-maturity (<0.7% VR) mudrock pore systems: Mississippian Barnett Shale, southern Fort Worth Basin. GCAGS J. 2015, 4, 15–28. [Google Scholar]
- Cai, G.; Jiang, Y.; Li, X.; Sun, S.; Fu, Y.; Gu, Y.; Wang, Z.; Ji, C. Comparison of characteristics of transitional and marine organic-rich shale reservoirs. Acta Sedimentol. Sin. 2022, 40, 1030–1042, (In Chinese with English abstract). [Google Scholar]
- Li, Q.; Xu, S. Research status and Prospects of Marine-continental Transitional Shale Reservoirs. Geol. Bull. China 2022, 41, 1417–1429, (In Chinese with English abstract). [Google Scholar]
- Sun, C.; Tang, S.; Wei, J. The differences of reservoir features between southern marine shale gas and northern coal-bearing shale gas in China. China Min. Mag. 2017, 26, 166–170, (In Chinese with English abstract). [Google Scholar]
- Xiao, X.; Wang, M.; Wei, Q.; Tian, H.; Pan, L.; Li, T. Evaluation of Lower Paleozoic Shale with Shale Gas Prospect in South China. Nat. Gas Geosci. 2015, 26, 1433–1445, (In Chinese with English abstract). [Google Scholar]
- Zhang, J.; Li, X.; Wang, Y.; Fu, Q.; Cai, Y.; Niu, H. Accumulation conditions and reservoir characteristics of marine-terrigenous facies coal measures shale gas from Longtan Formation in South Sichuan Basin. J. China Coal Soc. 2015, 40, 1871–1878, (In Chinese with English abstract). [Google Scholar]
- Chen, X.; Wu, P.; Gao, J.; Hu, W.; Ding, W.; Li, Y.; Liu, X.; Ma, L.; Liu, C.; Kong, W.; et al. Geochemical characteristics of marine-continental transitional facies shale and shale gas in Linxing area. Coal Geol. Explor. 2021, 49, 12–23, (In Chinese with English abstract). [Google Scholar]
- Feng, D. Geological characteristics and exploration direction of continental shale gas in Jurassic Daanzhai Member, Sichuan Basin. Pet. Geol. Exp. 2022, 44, 219–230, (In Chinese with English abstract). [Google Scholar]
- Qi, Y.; Ju, Y.; Huang, C.; Zhu, H.; Bao, Y.; Wu, J.; Meng, S.; Chen, W. Influences of organic matter and kaolinite on pore structures of transitional organic-rich mudstone with an emphasis on S2 controlling specific surface area. Fuel 2019, 237, 860–873. [Google Scholar] [CrossRef]
- Loucks, R.G.; Reed, R.M. Scanning-Electron-Microscope Petrographic Evidence for Distinguishing Organic-Matter Pores Associated with Depositional Organic Matter versus Migrated Organic Matter in Mudrock. GCAGS J. 2014, 3, 51–60. [Google Scholar]
- Kuang, L.; Dong, D.; He, W.; Wen, S.; Sun, S.; Li, S.; Qiu, Z.; Liao, X.; Li, Y.; Wu, J.; et al. Geological characteristics and development potential of transitional shale gas in the east margin of the Ordos Basin, NW China. Pet. Explor. Dev. 2020, 47, 471–482. [Google Scholar] [CrossRef]
- He, Q.; Dong, T.; He, S.; Zhai, G. Methane adsorption capacity of marine-continental transitional facies shales: The case study of the Upper Permian Longtan Formation, northern Guizhou Province, Southwest China. J. Pet. Sci. Eng. 2019, 183, 106406. [Google Scholar] [CrossRef]
- Zhou, H.; Chen, L.; Li, X.; Chen, X.; Wang, W.; Yang, L.; Guo, M. Difference analysis of shale reservoirs of Wufeng Formation and Longmaxi Formation in Changning area, southern Sichuan. Fault-Block Oil Gas Field 2021, 28, 289–294, (In Chinese with English abstract). [Google Scholar]
- Bernard, S.; Wirth, R.; Schreiber, A.; Schulz, H.-M.; Horsfield, B. Formation of nanoporous pyrobitumen residues during maturation of the Barnett Shale (Fort Worth Basin). Int. J. Coal Geol. 2012, 103, 3–11. [Google Scholar] [CrossRef]
- Mathia, E.J.a.; Bowen, L.b.; Thomas, K.M.c.; Aplin, A.C.d. Evolution of porosity and pore types in organic-rich, calcareous, Lower Toarcian Posidonia Shale. Mar. Pet. Geol. 2016, 75, 117–139. [Google Scholar] [CrossRef]
- Milliken, K.L.; Esch, W.L.; Reed, R.M.; Zhang, T. Grain assemblages and strong diagenetic overprinting in siliceous mudrocks, Barnett Shale (Mississippian), Fort Worth Basin, Texas. AAPG Bull. 2012, 96, 1553–1578. [Google Scholar] [CrossRef]
- Suárez-Ruiz, I.; Juliao, T.; Suárez-García, F.; Marquez, R.; Ruiz, B. Porosity development and the influence of pore size on the CH4 adsorption capacity of a shale oil reservoir (Upper Cretaceous) from Colombia. Role of solid bitumen. Int. J. Coal Geol. 2016, 159, 1–17. [Google Scholar] [CrossRef]
- Liu, B.; Schieber, J.; Mastalerz, M. Petrographic and micro-FTIR study of organic matter in the Upper Devonian New Albany Shale during thermal maturation: Implications for kerogen transformation. In Mudstone Diagenesis: Research Perspectives for Shale hydrocarbon Reservoirs, Seals, and Source Rocks; Camp, W.K., Milliken, K.L., Taylor, K., Fishman, N., Hackley, P.C., Macquaker, J.H.S., Eds.; The American Association of Petroleum Geologists: Tulsa, OK, USA, 2019; Volume 120, pp. 165–188. [Google Scholar]
- Borjigin, T.; Lu, L.; Yu, L.; Zhang, W.; Pan, A.; Shen, B.; Wang, Y.; Yang, Y.; Gao, Z. Formation, preservation and connectivity control of organic pores in shale. Pet. Explor. Dev. 2021, 48, 687–699, (In Chinese with English abstract). [Google Scholar] [CrossRef]
- Xie, G.; Liu, S.; Jiao, K.; Deng, B.; Ye, Y.; Sun, W.; Li, Z.; Liu, W.; Luo, C.; Li, Z. Organic pores in deep shale controlled by macerals:Classification and pore characteristics of organic matter components in Wufeng Formation-Longmaxi Formation of the Sichuan Basin. Nat. Gas Ind. 2021, 41, 23–34, (In Chinese with English abstract). [Google Scholar]
- Wang, P.; Jin, C.; Zang, X.; Tian, Q.; Liu, G.; Cui, W. Development characteristics and evolution of organic matter pores of marine shale in southeastern Chongqing. Lithol. Reserv. 2020, 32, 46–53, (In Chinese with English abstract). [Google Scholar]
- Liu, B.; Mastalerz, M.; Schieber, J. SEM petrography of dispersed organic matter in black shales: A review. Earth-Sci. Rev. 2022, 224, 103874. [Google Scholar] [CrossRef]
- Han, J.; Chen, B.; Zhao, X.; Zheng, C.; Zhang, J. Development characteristics and influential factors of organic pores in the Permian shale in the Lower Yangtze Region. Nat. Gas Ind. 2017, 37, 17–26, (In Chinese with English abstract). [Google Scholar]
- Wu, Z.; He, S.; Han, Y.; Zhai, G.; He, X.; Zhou, Z. Effect of Organic Matter Type and Maturity on Organic Matter Pore Formation of Transitional Facies Shales: A Case Study on Upper Permian Longtan and Dalong Shales in Middle Yangtze Region, China. J. Earth Sci. 2020, 31, 368–384. [Google Scholar] [CrossRef]
- Gao, F.; Song, Y.; Liang, Z.; Li, Z.; Yuan, Y.; Zhang, Y.; Chen, L.; Guo, W. Development characteristics of organic pore in the continental shale and its genetic mechanism: A case study of Shahezi Formation shale in the Changling fault depression of Songliao Basin. Acta Pet. Sin. 2019, 40, 1030–1044, (In Chinese with English abstract). [Google Scholar]
- Wei, Z. Difference of organic pores in organic matter: A case from graptolite shales of Wufeng Formation-Longmaxi Formation in Sichuan Basin, China. J. Chengdu Univ. Technol. (Sci. Technol. Ed. ) 2015, 42, 361–365, (In Chinese with English abstract). [Google Scholar]
- Liu, Z.; Bian, R.; Gao, B.; Wang, P.; Wang, R.; Jin, Z.; Du, W. Organic matter pore types and development characteristics of Lower Cambrian shale in Upper Yangtze area. Glob. Geol. 2019, 38, 999–1011, (In Chinese with English abstract). [Google Scholar]
- Furmann, A.; Mastalerz, M.; Bish, D.; Schimmelmann, A.; Pedersen, P.K. Porosity and pore size distribution in mudrocks from the Belle Fourche and Second White Specks Formations in Alberta, Canada. AAPG Bull. 2016, 100, 1265–1288. [Google Scholar] [CrossRef]
- Xiao, X.; Wei, Q.; Gai, H.; Li, T.; Wang, M.; Pan, L.; Chen, J.; Tian, H. Main controlling factors and enrichment area evaluation of shale gas of the Lower Paleozoic marine strata in south China. Pet. Sci. 2015, 12, 573–586. [Google Scholar] [CrossRef]
- Nie, H.; Jin, Z.; Zhang, J. Characteristics of three organic matter pore types in the Wufeng-Longmaxi Shale of the Sichuan Basin, Southwest China. Sci. Rep. 2018, 8, 7014. [Google Scholar] [CrossRef]
- Guo, H.; He, R.; Jia, W.; Peng, P.a.; Lei, Y.; Luo, X.; Wang, X.; Zhang, L.; Jiang, C. Pore characteristics of lacustrine shale within the oil window in the Upper Triassic Yanchang Formation, southeastern Ordos Basin, China. Mar. Pet. Geol. 2018, 91, 279–296. [Google Scholar] [CrossRef]
- Gao, F.; Song, Y.; Li, Z.; Xiong, F.; Chen, L.; Zhang, Y.; Liang, Z.; Zhang, X.; Chen, Z.; Joachim, M. Lithofacies and reservoir characteristics of the Lower Cretaceous continental Shahezi Shale in the Changling Fault Depression of Songliao Basin, NE China. Mar. Pet. Geol. 2018, 98, 401–421. [Google Scholar] [CrossRef]
- Jiao, K.; Xie, G.; Pei, W.; Liu, S.; Liu, X.; Kang, Y.; Deng, B.; Pang, Q.; Liu, W.; Luo, C. The Control Factors and Geological Implications of the Nanopore Morphology of the Lower Paleozoic Black Shales in the Sichuan Basin, China. Geol. J. China Univ. 2019, 25, 847–859, (In Chinese with English abstract). [Google Scholar]
- Li, X.; Jiang, Z.; Jiang, S.; Li, Z.; Song, Y.; Jiang, H.; Qiu, H.; Cao, X.; Miao, Y. Various controlling factors of matrix-related pores from differing depositional shales of the Yangtze Block in south China: Insight from organic matter isolation and fractal analysis. Mar. Pet. Geol. 2020, 111, 720–734. [Google Scholar] [CrossRef]
- Zargari, S.; Canter, K.L.; Prasad, M. Porosity evolution in oil-prone source rocks. Fuel 2015, 153, 110–117. [Google Scholar] [CrossRef]
- Zhang, H.; Zhu, Y.; Wang, Y.; Kang, W.; Chen, S. Comparison of organic matter occurrence and organic nanopore structure within marine and terrestrial shale. J. Nat. Gas Sci. Eng. 2016, 32, 356–363. [Google Scholar] [CrossRef]
- Yang, Y.; Bao, F. Borjigin, T.; Pan, A.; Shen, B. Characteristics of organic matter-hosted pores in Lower Silurian Longmaxi shale with different maturities, Sichuan Basin. Pet. Geol. Exp. 2020, 42, 387–397, (In Chinese with English abstract). [Google Scholar]
- İnan, S.; Al Badairy, H.; İnan, T.; Al Zahrani, A. Formation and occurrence of organic matter-hosted porosity in shales. Int. J. Coal Geol. 2018, 199, 39–51. [Google Scholar] [CrossRef]
- Ma, Y.; Zhong, N.; Cheng, L.; Pan, Z.; Dai, N.; Zhang, Y.; Yang, L. Pore structure of the graptolite-derived OM in the Longmaxi Shale, southeastern Upper Yangtze Region, China. Mar. Pet. Geol. 2016, 72, 1–11. [Google Scholar] [CrossRef]
- Borjigin, T.; Shen, B.; Yu, L.; Yang, Y.; Zhang, W.; Tao, C.; Xi, B.; Zhang, Q.; Bao, F.; Qin, J. Mechanisms of shale gas generation and accumulation in the Ordovician Wufeng-Longmaxi Formation, Sichuan Basin, SW China. Pet. Explor. Dev. 2017, 44, 69–78. [Google Scholar] [CrossRef]
- Shen, B.; Yang, Y.; Borjigin, T.; Qin, J.; Pan, A. Characteristics and hydrocarbon significance of organic matter in shale from the Jiaoshiba structure, Sichuan Basin:A case study of the Wufeng-Longmaxi formations in well Jiaoye1. Pet. Geol. Exp. 2016, 38, 480–488, 495, (In Chinese with English abstract). [Google Scholar]
- Deng, E.; Yan, Z.; Jiang, B.; Wang, R. Reservoir characteristics of marine-continental shale gas in Upper Permian Longtan Formation, western Guizhou province. Pet. Geol. Exp. 2020, 42, 467–476, (In Chinese with English abstract). [Google Scholar]
- Liu, Z.; Hu, Z.; Liu, G.; Liu, Z.; Liu, H.; Hao, J.; Wang, P.; Li, P. Pore characteristics and controlling factors of continental shale reservoirs in the Lower Jurassic Ziliujing Formation, northeastern Sichuan Basin. Oil Gas Geol. 2021, 42, 136–145, (In Chinese with English abstract). [Google Scholar]
- Cao, T.; Deng, M.; Luo, H.; Liu, H.; Liu, G.; Hursthouse, A.S. Characteristics of organic pores in Middle and Upper Permian shale in the Lower Yangtze region. Pet. Geol. Exp. 2018, 40, 315–322, 396, (In Chinese with English abstract). [Google Scholar]
- Bernard, S.; Beyssac, O.; Benzerara, K.; Findling, N.; Tzvetkov, G.; Brown, G.E. XANES, Raman and XRD study of anthracene-based cokes and saccharose-based chars submitted to high-temperature pyrolysis. Carbon 2010, 48, 2506–2516. [Google Scholar] [CrossRef]
- Bernard, S.; Horsfield, B.; Schulz, H.-M.; Schreiber, A.; Wirth, R.; Anh Vu, T.T.; Perssen, F.; Könitzer, S.; Volk, H.; Sherwood, N.; et al. Multi-scale detection of organic and inorganic signatures provides insights into gas shale properties and evolution. Geochemistry 2010, 70, 119–133. [Google Scholar] [CrossRef]
- Kelemen, S.R.; Walters, C.C.; Kwiatek, P.J.; Freund, H.; Afeworki, M.; Sansone, M.; Lamberti, W.A.; Pottorf, R.J.; Machel, H.G.; Peters, K.E.; et al. Characterization of solid bitumens originating from thermal chemical alteration and thermochemical sulfate reduction. Geochim. Et Cosmochim. Acta 2010, 74, 5305–5332. [Google Scholar] [CrossRef]
- Mastalerz, M.; Schimmelmann, A.; Drobniak, A.; Chen, Y. Porosity of Devonian and Mississippian New Albany Shale across a maturation gradient: Insights from organic petrology, gas adsorption, and mercury intrusion. AAPG Bull. 2013, 97, 1621–1643. [Google Scholar] [CrossRef]
- Song, D.; Tuo, J.; Zhang, M.; Wu, C.; Su, L.; Li, J.; Zhang, Y.; Zhang, D. Hydrocarbon generation potential and evolution of pore characteristics of Mesoproterozoic shales in north China: Results from semi-closed pyrolysis experiments. J. Nat. Gas Sci. Eng. 2019, 62, 171–183. [Google Scholar] [CrossRef]
- Cander, H. Sweet spots in shale gas and liquids plays: Prediction of fluid composition and reservoir pressure. In Proceedings of the AAPG Annual Convention and Exhibition, Long Beach, CA, USA, 22–25 April 2012. [Google Scholar]
- Han, Y.; Horsfield, B.; Wirth, R.; Mahlstedt, N.; Bernard, S. Oil retention and porosity evolution in organic-rich shales. AAPG Bull. 2017, 101, 807–827. [Google Scholar] [CrossRef]
- Wang, P.; Zhang, C.; Li, X.; Zhang, K.; Yuan, Y.; Zang, X.; Cui, W.; Liu, S.; Jiang, Z. Organic matter pores structure and evolution in shales based on the he ion microscopy (HIM): A case study from the Triassic Yanchang, Lower Silurian Longmaxi and Lower Cambrian Niutitang shales in China. J. Nat. Gas Sci. Eng. 2020, 84, 103682. [Google Scholar] [CrossRef]
- Chen, J.; Xiao, X. Evolution of nanoporosity in organic-rich shales during thermal maturation. Fuel 2014, 129, 173–181. [Google Scholar] [CrossRef]
- Ding, J.; Zhang, J.; Yang, C.; Huo, Z.; Lang, Y. Formation Evolution and Influencing Factors of Organic Pores in Shale. J. Southwest Pet. Univ. (Sci. Technol. Ed. ) 2019, 41, 33–44, (In Chinese with English abstract). [Google Scholar]
- Wang, D.; Wang, Y.; Dong, D.; Wang, S.; Huang, J.; Huang, Y.; Wang, S.; Li, X. Quantitative characterization of reservoir space in the Lower Cambrian Qiongzhusi Shale, Southern Sichuan Basin. Nat. Gas Ind. 2013, 33, 1–10, (In Chinese with English abstract). [Google Scholar]
- Liu, Z.; Gao, B.; Hu, Z.; Du, W.; Nie, H.; Jiang, T. Reservoir characteristics and pores formation and evolution of high maturated organic rich shale: A case study of Lower Cambrian Jiumenchong Formation, southern Guizhou area. Acta Pet. Sin. 2017, 38, 1381–1389, (In Chinese with English abstract). [Google Scholar] [CrossRef] [PubMed]
- Ma, Y.; Ardakani, O.H.; Zhong, N.; Liu, H.; Huang, H.; Larter, S.; Zhang, C. Possible pore structure deformation effects on the shale gas enrichment: An example from the Lower Cambrian shales of the Eastern Upper Yangtze Platform, South China. Int. J. Coal Geol. 2020, 217, 103349. [Google Scholar] [CrossRef]
- Liu, Y.; Zhu, Y.; Liu, S.; Zhang, C. Evolution of Aromatic Clusters in Vitrinite-Rich Coal during Thermal Maturation by Using High-Resolution Transmission Electron Microscopy and Fourier Transform Infrared Measurements. Energy Fuels 2020, 34, 10781–10792. [Google Scholar] [CrossRef]
- Wang, X.; Zhu, Y.; Song, Y.; Mathews, J.P. Structure and partial ordering of terrestrial kerogen: Insight from high-resolution transmission electron microscopy. Fuel 2020, 281, 118759. [Google Scholar] [CrossRef]
- Zieger, L.; Littke, R.; Schwarzbauer, J. Chemical and structural changes in vitrinites and megaspores from Carboniferous coals during maturation. Int. J. Coal Geol. 2018, 185, 91–102. [Google Scholar] [CrossRef]
- Romero-Sarmiento, M.-F.; Rouzaud, J.-N.; Bernard, S.; Deldicque, D.; Thomas, M.; Littke, R. Evolution of Barnett Shale organic carbon structure and nanostructure with increasing maturation. Org. Geochem. 2014, 71, 7–16. [Google Scholar] [CrossRef]
- Hou, Y.; Zhang, K.; Wang, F.; He, S.; Dong, T.; Wang, C.; Qin, W.; Xiao, Y.; Tang, B.; Yu, R.; et al. Structural evolution of organic matter and implications for graphitization in over-mature marine shales, south China. Mar. Pet. Geol. 2019, 109, 304–316. [Google Scholar] [CrossRef]
- Hou, L.; Ma, W.; Luo, X.; Tao, S.; Guan, P.; Liu, J. Chemical structure changes of lacustrine Type-II kerogen under semi-open pyrolysis as investigated by solid-state 13C NMR and FT-IR spectroscopy. Mar. Pet. Geol. 2020, 116, 104348. [Google Scholar] [CrossRef]
- Duan, D.; Zhang, D.; Ma, X.; Yang, Y.; Ran, Y.; Mao, J. Chemical and structural characterization of thermally simulated kerogen and its relationship with microporosity. Mar. Pet. Geol. 2018, 89, 4–13. [Google Scholar] [CrossRef]
- Huang, Z.; Liang, T.; Zhan, Z.-W.; Zou, Y.-R.; Li, M.; Peng, P.a. Chemical structure evolution of kerogen during oil generation. Mar. Pet. Geol. 2018, 98, 422–436. [Google Scholar] [CrossRef]
- Liu, Y.; Zhu, Y.; Chen, S.; Wang, Y.; Song, Y. Evaluation of Spatial Alignment of Kerogen in Shale Using High-Resolution Transmission Electron Microscopy, Raman Spectroscopy, and Fourier Transform Infrared. Energy Fuels 2018, 32, 10616–10627. [Google Scholar] [CrossRef]
- Cao, X.; Chappell, M.A.; Schimmelmann, A.; Mastalerz, M.; Li, Y.; Hu, W.; Mao, J. Chemical structure changes in kerogen from bituminous coal in response to dike intrusions as investigated by advanced solid-state 13C NMR spectroscopy. Int. J. Coal Geol. 2013, 108, 53–64. [Google Scholar] [CrossRef]
- Wang, S.; Zhang, Z.; Dong, D.; Wang, Y.; Li, X.; Hu, J.; Huang, J.; Guan, Q. Microscopic pore structure and reasons making reservoir property weaker of Lower Cambrian Qiongzhusi shale, Sichuan Basin, China. Nat. Gas Geosci. 2016, 27, 1619–1628. [Google Scholar]
- Jiang, S.; Wang, Y.; Wang, S.; Peng, P.; Dong, D.; Wu, W.; Li, X.; Guan, Q. Distribution prediction of graphitized organic matter areas in the lower Cambrian Qiongzhusi shale in the Central Sichuan paleo-uplift and its surrounding areas in the Sichuan Basin. Nat. Gas Ind. 2018, 38, 19–27. [Google Scholar]
- Zhang, C.; Yao, Y.; Elsworth, D.; Liu, D.; Ju, Y.; Dong, Y.; Ye, S. Microstructure characterization of kerogen in mature shale: Molecular investigation of micropore development. J. Nat. Gas Sci. Eng. 2021, 95, 104239. [Google Scholar] [CrossRef]
- Liu, Y.; Zhu, Y.; Li, W.; Zhang, C.; Wang, Y. Ultra micropores in macromolecular structure of subbituminous coal vitrinite. Fuel 2017, 210, 298–306. [Google Scholar] [CrossRef]
- Amarasekera, G.; Scarlett, M.J.; Mainwaring, D.E. Micropore size distributions and specific interactions in coals. Fuel 1995, 74, 115–118. [Google Scholar] [CrossRef]
- Liu, Y.; Zhu, Y.; Liu, S.; Chen, S.; Li, W.; Wang, Y. Molecular structure controls on micropore evolution in coal vitrinite during coalification. Int. J. Coal Geol. 2018, 199, 19–30. [Google Scholar] [CrossRef]
- Wang, Z.; Wang, H.; Yang, Y.; Deng, Z.; Fu, X.; Pan, J.; Kang, J. Effect of the Coal Molecular Structure on the Micropore Volume and the Coalbed Methane Content. Energy Fuels 2021, 35, 19437–19447. [Google Scholar] [CrossRef]
- Zhang, Y.; Yu, B.; Pan, Z.; Hou, C.; Zuo, Q.; Sun, M. Effect of thermal maturity on shale pore structure: A combined study using extracted organic matter and bulk shale from Sichuan Basin, China. J. Nat. Gas Sci. Eng. 2020, 74, 103089. [Google Scholar] [CrossRef]
- Pommer, M.; Milliken, K. Pore types and pore-size distributions across thermal maturity, Eagle Ford Formation, southern Texas. AAPG Bull. 2015, 99, 1713–1744. [Google Scholar] [CrossRef]
- Liu, K.; Ostadhassan, M.; Zou, J.; Gentzis, T.; Rezaee, R.; Bubach, B.; Carvajal-Ortiz, H. Nanopore structures of isolated kerogen and bulk shale in Bakken Formation. Fuel 2018, 226, 441–453. [Google Scholar] [CrossRef]
- Han, H.; Pang, P.; Li, Z.; Shi, P.; Guo, C.; Liu, Y.; Chen, S.; Lu, J.; Gao, Y. Controls of organic and inorganic compositions on pore structure of lacustrine shales of Chang 7 member from Triassic Yanchang Formation in the Ordos Basin, China. Mar. Pet. Geol. 2019, 100, 270–284. [Google Scholar] [CrossRef]
- Rexer, T.F.; Mathia, E.J.; Aplin, A.C.; Thomas, K.M. High-pressure methane adsorption and characterization of pores in Posidonia shales and isolated kerogens. Energy Fuels 2014, 28, 2886–2901. [Google Scholar] [CrossRef]
- Ji, W.; Song, Y.; Rui, Z.; Meng, M.; Huang, H. Pore characterization of isolated organic matter from high matured gas shale reservoir. Int. J. Coal Geol. 2017, 174, 31–40. [Google Scholar] [CrossRef]
- Wang, Y.; Liu, L.; Cheng, H. Gas Adsorption Characterization of Pore Structure of Organic-rich Shale: Insights into Contribution of Organic Matter to Shale Pore Network. Nat. Resour. Res. 2021, 30, 2377–2395. [Google Scholar] [CrossRef]
- Gao, F.; Wang, C.; Song, Y.; Wan, C.; Xiong, F.; Li, Z.; Moortgat, J. Quantitative Characterization of Organic Pore Structure from Gas Adsorption in Lower Cretaceous Lacustrine Shales in the Songliao Basin, NE China. Lithosphere 2021, 2021, 6644430. [Google Scholar] [CrossRef]
- Cao, T.; Song, Z.; Wang, S.; Xia, J. A comparative study of the specific surface area and pore structure of different shales and their kerogens. Sci. China Earth Sci. 2015, 58, 510–522. [Google Scholar] [CrossRef]
- Knapp, L.J.; Ardakani, O.H.; Uchida, S.; Nanjo, T.; Otomo, C.; Hattori, T. The influence of rigid matrix minerals on organic porosity and pore size in shale reservoirs: Upper Devonian Duvernay Formation, Alberta, Canada. Int. J. Coal Geol. 2020, 227, 103525. [Google Scholar] [CrossRef]
- Ma, X.; Guo, S.; Shi, D.; Zhou, Z.; Liu, G. Investigation of pore structure and fractal characteristics of marine-continental transitional shales from Longtan Formation using MICP, gas adsorption, and NMR (Guizhou, China). Mar. Pet. Geol. 2019, 107, 555–571. [Google Scholar] [CrossRef]
- Liu, W.; Yu, L.; Zhang, W.; Fan, M.; Bao, F. Micro-pore structure of Longmaxi shale from southeast Sichuan Basin. Mar. Geol. Quat. Geol. 2016, 36, 127–134, (In Chinese with English abstract). [Google Scholar]
- Wang, Y.; Cheng, H.; Hu, Q.; Liu, L.; Jia, L.; Gao, S.; Wang, Y. Pore structure heterogeneity of Wufeng-Longmaxi shale, Sichuan Basin, China: Evidence from gas physisorption and multifractal geometries. J. Pet. Sci. Eng. 2022, 208, 109313. [Google Scholar] [CrossRef]
- Wood, J.M.; Sanei, H.; Curtis, M.E.; Clarkson, C.R. Solid bitumen as a determinant of reservoir quality in an unconventional tight gas siltstone play. Int. J. Coal Geol. 2015, 150–151, 287–295. [Google Scholar] [CrossRef]
- Zhang, K.; Song, Y.; Jia, C.; Jiang, Z.; Han, F.; Wang, P.; Yuan, X.; Yang, Y.; Zeng, Y.; Li, Y.; et al. Formation mechanism of the sealing capacity of the roof and floor strata of marine organic-rich shale and shale itself, and its influence on the characteristics of shale gas and organic matter pore development. Mar. Pet. Geol. 2022, 140, 105647. [Google Scholar] [CrossRef]
- Yang, W.; Zuo, R.; Jiang, Z.; Chen, D.; Song, Y.; Luo, Q.; Wang, Q.; Zhu, H. Effect of lithofacies on pore structure and new insights into pore-preserving mechanisms of the over-mature Qiongzhusi marine shales in Lower Cambrian of the southern Sichuan Basin, China. Mar. Pet. Geol. 2018, 98, 746–762. [Google Scholar] [CrossRef]
- Xiong, L.; Yang, Z.; Shen, B.; Lu, L.; Wei, L.; Wang, R.; Pang, H. Micro reservoir space characteristics and significance of deep shale gas in Wufeng-Longmaxi formations in Weirong area, South Sichuan. Nat. Gas Geosci. 2022, 33, 860–872, (In Chinese with English abstract). [Google Scholar]
- Hong, J.; Tang, X.; Zhang, C.; Huang, H.; Shan, Y.; Zheng, Y.; Xie, H. Characteristics and controlling factors of organic-matter pores in Longmaxi Formation shale, Middle Yangtze Region: A case study of Well YY3. Oil Gas Geol. 2020, 41, 1060–1072, (In Chinese with English abstract). [Google Scholar]
- Sun, J.; Xiao, X.; Wei, Q.; Cheng, P.; Tian, H. Occurrence of Irreducible Water and Its Influences on Gas-Bearing Property of Gas Shales From Shallow Longmaxi Formation in the Xishui Area, Guizhou, Southern China. Front. Earth Sci. 2021, 9, 654136. [Google Scholar] [CrossRef]
- Li, T. Geochemistry and Shale Gas Potential of the Lower Paleozoic Shales: A Case Study in Southeast Chongqing and Guizhou Regions. Ph.D. Thesis, University of Chinese Academy of Sciences, Beijing, China, 2017. (In Chinese with English abstract). [Google Scholar]
- Gao, P.; Xiao, X.; Hu, D.; Lash, G.G.; Liu, R.; Cai, Y.; Wang, Z.; Zhang, B.; Tao, Y.; Liu, S. Effect of silica diagenesis on porosity evolution of deep gas shale reservoir of the Lower Paleozoic Wufeng-Longmaxi formations, Sichuan Basin. Mar. Pet. Geol. 2022, 145, 105873. [Google Scholar] [CrossRef]
- Dong, T.; He, S.; Chen, M.; Hou, Y.; Guo, X.; Wei, C.; Han, Y.; Yang, R. Quartz types and origins in the paleozoic Wufeng-Longmaxi Formations, Eastern Sichuan Basin, China: Implications for porosity preservation in shale reservoirs. Mar. Pet. Geol. 2019, 106, 62–73. [Google Scholar] [CrossRef]
- Zhang, J.; Zhang, P. A discussion of pyrite catalysis on the hydrocarbon generation process. Adv. Earth Sci. 1996, 11, 282–287, (In Chinese with English abstract). [Google Scholar]
- Liu, H.; Zhang, Z.; Ji, Z.; Li, B. Effects of Inorganic Salts on the Hydrocarbon Generation of Mixed Ester Catalyzed by Natural Minerals at Low Temperature. Acta Sedimentol. Sin. 2008, 26, 886–890, (In Chinese with English abstract). [Google Scholar]
- Hu, H. Study on the Relationship of Pyrite and Content of Organic Matter in Marine Black Shale and Its Significance for Shale Gas Exploration. Ph.D. Thesis, Yangtze University, Hubei, China, 2017. (In Chinese with English abstract). [Google Scholar]
- Jurg, J.W.; Eisma, E. Petroleum Hydrocarbons: Generation from Fatty Acid. Science 1964, 144, 1451–1452. [Google Scholar] [CrossRef] [PubMed]
- Heller-Kallai, L.; Aizenshtat, Z.; Miloslavski, I. The effect of various clay minerals on the thermal decomposition of stearic acid under “bulk flow” conditions. Clay Miner. 1984, 19, 779–788. [Google Scholar] [CrossRef]
- Meng, G.; Li, T.; Gai, H.; Xiao, X. Pore Characteristics and Gas Preservation of the Lower Cambrian Shale in a Strongly Deformed Zone, Northern Chongqing, China. Energies 2022, 15, 2956. [Google Scholar] [CrossRef]
- Gu, Y.; Li, X.; Wan, Q.; Yang, S. On the Different Characteristics of Organic Pores in Shale and Their Influencing Factors: Taking typical marine, continental, and transitional facies reservoirs in China as examples. Acta Sedimentol. Sin. 2021, 39, 794–810, (In Chinese with English abstract). [Google Scholar]
- Chen, Q.; Yan, X.; Liu, C.; Wei, X.; Cheng, Z.; Qin, W.; Hong, T. Controlling effect of compaction upon organic matter pore development in shale:A case study on the Lower Paleozoic in southeastern Sichuan Basin and its periphery. Oil Gas Geol. 2021, 42, 76–85, (In Chinese with English abstract). [Google Scholar]
- Song, D.; Tuo, J.; Wang, Y.; Wu, C.; Zhang, M. Research Advances on Characteristics of Nanopore Structure of Organic-rich Shales. Acta Sedimentol. Sin. 2019, 37, 1309–1324, (In Chinese with English abstract). [Google Scholar]
- Zhao, J.; Jin, Z.; Jin, Z.; Wen, X.; Geng, Y.; Yan, C. The genesis of quartz in Wufeng-Longmaxi gas shales, Sichuan Basin. Nat. Gas Geosci. 2016, 27, 377–386, (In Chinese with English abstract). [Google Scholar]
- Metwally, Y.M.; Chesnokov, E.M. Clay mineral transformation as a major source for authigenic quartz in thermo-mature gas shale. Appl. Clay Sci. 2012, 55, 138–150. [Google Scholar] [CrossRef]
- Ma, C.; Dong, C.; Luan, G.; Lin, C.; Liu, X.; Duan, H.; Liu, S. Characteristics and influencing factors of organic-matter pores in paleogene shale, Subei Basin. J. China Univ. Pet. (Ed. Nat. Sci.) 2017, 41, 1–13, (In Chinese with English abstract). [Google Scholar]
- Liu, W. Study of the Organic Matter Shales Lithofacies and Reservoir Characteristics of the Upper Permian Dalong Formation in Western Hubei. Ph.D. Thesis, China University of Geosciences, Hubei, China, 2019. (In Chinese with English abstract). [Google Scholar]
- Zhao, D.; Guo, Y.; Yang, Y.; Wang, S.; Mao, X.; Li, M. Shale reservoir diagenesis and its impacts on pores of the Lower Silurian Longmaxi Formation in southeastern Chongqing. J. Palaeogeogr. (Chin. Ed.) 2016, 18, 843–856, (In Chinese with English abstract). [Google Scholar]
- Ma, Z.; Zheng, L.; Xu, X.; Bao, F.; Yu, X. Thermal simulation experiment on the formation and evolution of organic pores in organic-rich shale. Acta Pet. Sin. 2017, 38, 23–30, (In Chinese with English abstract). [Google Scholar] [CrossRef]
- Wang, L.; Chen, Y.; Liu, Y. Shale Porous Structural Characteristics of Longmaxi Formation in Pengshui Area of Southeast Sichuan Basin. China Pet. Explor. 2014, 19, 80–88, (In Chinese with English abstract). [Google Scholar]
- Liu, R. Analyses of Influences on Shale Reservoirs of Wufeng-Longmaxi Formation by Overpressure in the South-eastern Part of Sichuan Basin. Acta Sedimentol. Sin. 2015, 33, 817–827, (In Chinese with English abstract). [Google Scholar]
- Gao, Y.; Cai, X.; He, X.; Wu, Y.; Ding, A.; Gao, H.; Zhang, P. Relationship Between Shale Pressure System and Organic Pore Development of Wufeng-Longmaxi Formation in Marginnal Conversion Zone of Southeastern Chongqing Basin. J. Jilin Univ. (Earth Sci. Ed.) 2020, 50, 662–674, (In Chinese with English abstract). [Google Scholar]
- Liu, S.; Jiao, K.; Zhang, J.; Ye, Y.; Xie, G.; Deng, B.; Ran, B.; Li, Z.; Wu, J.; Li, J.; et al. Research progress on the pore characteristics of deep shale gas reservoirs:An example from the Lower Paleozoic marine shale in the Sichuan Basin. Nat. Gas Ind. 2021, 41, 29–41, (In Chinese with English abstract). [Google Scholar]
- Guo, X.; Hu, D.; Huang, R.; Wei, Z.; Duan, J.; Wei, X.; Fan, X.; Miao, Z. Deep and ultra-deep natural gas exploration in the Sichuan Basin: Progress and prospect. Nat. Gas Ind. 2020, 40, 419–432, (In Chinese with English abstract). [Google Scholar] [CrossRef]
- Cao, Q.; Zhou, W.; Liu, Y.; Chen, W.; Ji, A.; Lv, J.; Wang, Y. Characteristics and origin of deep high-porosity zones in slope of Xihu Sag. J. Cent. South Univ. (Sci. Technol.) 2017, 48, 751–760, (In Chinese with English abstract). [Google Scholar]
- Zhu, H.; Ju, Y.; Sun, Y.; Huang, C.; Feng, H.; Ali, R.; Yu, K.; Qiao, P.; Xiao, L. Evolution characteristics and models of shale pores and fractures under tectonic deformation: A case study of the Lower Paleozoic marine shale in the Sichuan Basin and its periphery. Oil Gas Geol. 2021, 42, 186–200, 240, (In Chinese with English abstract). [Google Scholar]
- Zhu, H.; Ju, Y.; Huang, C.; Han, K.; Qi, Y.; Shi, M.; Yu, K.; Feng, H.; Li, W.; Ju, L.; et al. Pore structure variations across structural deformation of Silurian Longmaxi Shale: An example from the Chuandong Thrust-Fold Belt. Fuel 2019, 241, 914–932. [Google Scholar] [CrossRef]
- Li, H. Effect of Tectonic Compression on the Characteristics of Pore Structure and Gas Storage of Shale. Ph.D. Thesis, University of Chinese Academy of Sciences, Beijing, China, 2017. (In Chinese with English abstract). [Google Scholar]
- Yao, S.; Li, X.; Li, P.; Wang, H.; Chen, S. Pore Structure Characterization and Micro-Heterogeneity of Carboniferous-Permian Organic-Rich Shalein Julu. Spec. Oil Gas Reserv. 2020, 27, 41–48, (In Chinese with English abstract). [Google Scholar]
Publisher’s Note: MDPI stays neutral with regard to jurisdictional claims in published maps and institutional affiliations. |
© 2022 by the authors. Licensee MDPI, Basel, Switzerland. This article is an open access article distributed under the terms and conditions of the Creative Commons Attribution (CC BY) license (https://creativecommons.org/licenses/by/4.0/).