Along-Wind Aerodynamic Damping of Wind Turbine Towers: Determination by Wind Tunnel Tests and Impact on Tower Lifetime
Abstract
:1. Introduction
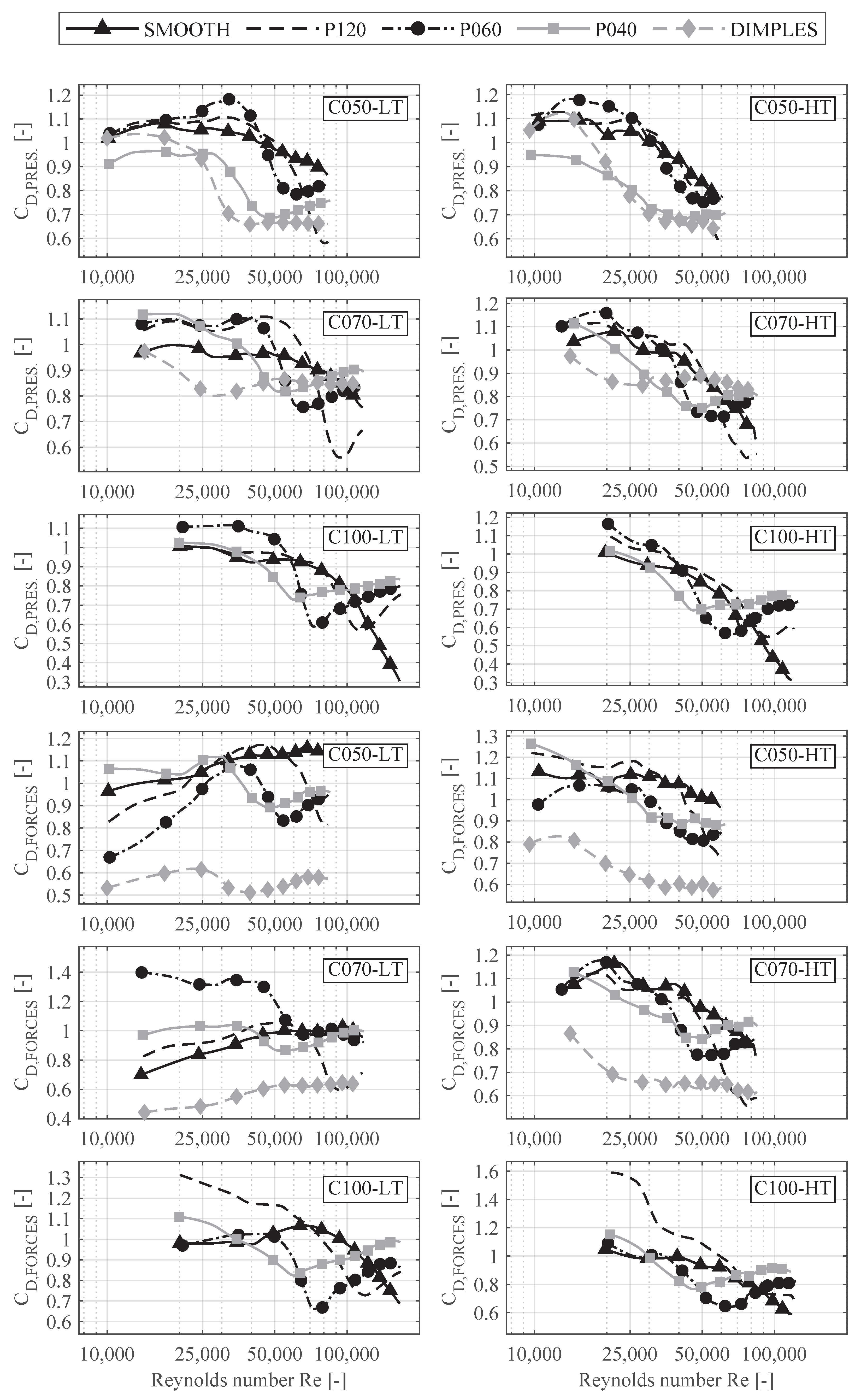
2. Aerodynamic Drag of Wind Turbine Tower Models in Wind Tunnel Experiments: Effects of Surface Roughness and Turbulence Modification
3. Aerodynamic Damping of Wind Turbine Towers with Circular Sections
3.1. Aerodynamic Damping Measurements Using the Forced Oscillations Method
3.2. Results: Aerodynamic Damping of Wind Turbine Towers
4. Application of Results
4.1. Description of Reference Wind Turbine and Its Aerodynamic Damping Forces
4.2. Description of the Simulations
4.3. Results and Discussion
5. Conclusions
Author Contributions
Funding

Conflicts of Interest
References
- Lee, J.; Feng, Z. GWEC-Global Wind Report 2021; GWEC: Brussels, Belgium, 2021; Available online: https://gwec.net/global-wind-report-2021/ (accessed on 10 July 2021).
- Fontecha, R.; Kemper, F.; Feldmann, M. On the Determination of the Aerodynamic Damping of Wind Turbines Using the Forced Oscillations Method in Wind Tunnel Experiments. Energies 2019, 12, 2452. [Google Scholar] [CrossRef] [Green Version]
- Valamanesh, V.; Myers, A.T. Aerodynamic Damping and Seismic Response of Horizontal Axis Wind Turbine Towers. J. Struct. Eng. 2014, 140, 04014090. [Google Scholar] [CrossRef]
- Van der Tempel, J. Lifetime Fatigue of an Offshore Wind Turbine Support Structure. In Section Offshore Technology & Section Wind Energy; Delft University of Technology: Delft, The Netherlands, 2000. [Google Scholar]
- Chen, Y.; Di, W.; Yu, Y.; Gao, W. An improved theory in the determination of aerodynamic damping for a horizontal axis wind turbine (HAWT). J. Wind Eng. Ind. Aerodyn. 2021, 213, 104619. [Google Scholar] [CrossRef]
- Devriendt, C.; Jordaens, P.J.; Sitter, G.D.; Guillaume, P. Damping Estimation of an Offshore Wind Turbine on a Monopile Foundation. In EWEA 2012 Annual Event; EWEA: Brussels, Belgium, 2012. [Google Scholar] [CrossRef] [Green Version]
- Devriendt, C.; Weijtjens, W. The overall damping of an offshore wind turbine during different operating conditions. In Proceedings of the EWEA Offshore, Copenhagen, Denmark, 10 March 2015. [Google Scholar]
- Devriendt, C.; Weijtjens, W. Damping of offshore wind turbines. In Proceedings of the Offshore Wind Energy 2017, London, UK, 6–8 June 2017. [Google Scholar]
- Hansen, M.H.; Thomsen, K.; Fuglsang, P.; Knudsen, T. Two methods for estimating aeroelastic damping of operational wind turbine modes from experiments. Wind Energy 2006, 9, 179–191. [Google Scholar] [CrossRef] [Green Version]
- Garrad, A.D. Forces and Dynamics of horizontal axis wind turbines. In Wind Energy Conversion Systems; Freris, L.L., Ed.; Prentice Hall: New York, NY, USA, 1990; pp. 119–142. [Google Scholar]
- Kühn, M.J. Dynamics and Design Optimisation of Offshore Wind Energy Conversion Systems; Report/DUWIND Delft University Wind Energy Research Institute: Delft, The Netherlands, 2001; Volume 2. [Google Scholar]
- Cerda Salzmann, D.J.; van der Tempel, J. Aerodynamic Damping in the Design of Support Structures for Offshore Wind Turbines; Duwind, Faculty of Civil Engineering and Geosciences, Delft University of Technology: Delft, The Netherlands, 2005; Available online: https://citeseerx.ist.psu.edu/viewdoc/download?doi=10.1.1.613.7848&rep=rep1&type=pdf (accessed on 10 July 2021).
- Devriendt, C.; Weijtjens, W.; El-Kafafy, M.; de Sitter, G. Monitoring resonant frequencies and damping values of an offshore wind turbine in parked conditions. IET Renew. Power Gener. 2014, 8, 433–441. [Google Scholar] [CrossRef] [Green Version]
- Koukoura, C.; Natarajan, A.; Vesth, A. Identification of support structure damping of a full scale offshore wind turbine in normal operation. Renew. Energy 2015, 81, 882–895. [Google Scholar] [CrossRef]
- Damgaard, M.; Ibsen, L.B.; Andersen, L.V.; Andersen, J. Cross-wind modal properties of offshore wind turbines identified by full scale testing. J. Wind Eng. Ind. Aerodyn. 2013, 116, 94–108. [Google Scholar] [CrossRef]
- Rezaei, R.; Fromme, P.; Duffour, P. Fatigue life sensitivity of monopile-supported offshore wind turbines to damping. Renew. Energy 2018, 123, 450–459. [Google Scholar] [CrossRef]
- Feldmann, M.; Jakobs, G.; Klinkel, S.; Butenweg, C.; Kemper, F.; Schelenz, R. Boden-Bauwerk-Triebstrang-Interaktion von Windenergieanlagen: Abschlussbericht: 01.01.2015–12.31.2017; RWTH Aachen University: Aachen, Germany, 2018. [Google Scholar]
- Werkmeister, A.T. Untersuchung des Einflusses vom Boden und Bauwerk auf die Gesamtanlagendynamik von Windenergieanlagen. Ph.D. Thesis, RWTH Aachen, Aachen, Germany, 2021. [Google Scholar]
- Chen, C.; Duffour, P.; Fromme, P. Modelling wind turbine tower-rotor interaction through an aerodynamic damping matrix. J. Sound Vib. 2020, 489, 115667. [Google Scholar] [CrossRef]
- Steckley, A. Motion-Induced Wind Forces on Chimneys and Tall Buildings. Ph.D. Thesis, National Library of Canada, Ottawa, ON, Canada, 1990. [Google Scholar]
- Holmes, J.D. Along-wind response of lattice towers—II. Aerodynamic damping and deflections. Eng. Struct. 1996, 18, 483–488. [Google Scholar] [CrossRef]
- Çengel, Y.A.; Cimbala, J.M. Fluid Mechanics: Fundamentals and Applications, 3rd ed.; McGraw Hill: New York, NY, USA, 2014. [Google Scholar]
- White, F.M. Fluid Mechanics, 8th ed.; McGraw-Hill: New York, NY, USA, 2016. [Google Scholar]
- Achenbach, E. Influence of surface roughness on the cross-flow around a circular cylinder. J. Fluid Mech. 1971, 46, 321. [Google Scholar] [CrossRef]
- Achenbach, E.; Heinecke, E. On vortex shedding from smooth and rough cylinders in the range of Reynolds numbers 6 × 103 to 5 × 106. J. Fluid Mech. 1981, 109, 239–251. [Google Scholar] [CrossRef]
- Bearman, P.W.; Harvey, J.K. Control of circular cylinder flow by the use of dimples. AIAA J. 1993, 31, 1753–1756. [Google Scholar] [CrossRef]
- Hojo, T.; Yamazaki, S.; Okada, H. Developement of lowdrag aerodynamically stable cable with indented processing. Nippon Steel Tech. Rep. 2000, 82, 15–22. [Google Scholar]
- Hojo, T. Control of flow around a circular cylinder using a patterned surface. In WIT Transactions on Modelling and Simulation; CMEM, 2015, Carlomagno, G., Poljak, D., Brebbia, C., Eds.; WIT Press: Southampton, UK, 2015; pp. 245–256. [Google Scholar] [CrossRef] [Green Version]
- Petra Schümmer. Einfluss der Oberflächenrauigkeit und der Turbulenz auf die Windinduzierten Kräfte an einem Kreiszylinder. Master’s Thesis, RWTH Aachen, Aachen, Germany, 2003.
- Surry, D. Some effects of intense turbulence on the aerodynamics of a circular cylinder at subcritical Reynolds number. J. Fluid Mech. 1972, 52, 543. [Google Scholar] [CrossRef]
- Roshko, A. Experiments on the flow past a circular cylinder at very high Reynolds number. J. Fluid Mech. 1961, 10, 345. [Google Scholar] [CrossRef] [Green Version]
- Lienhard, J.H. Synopsis of Lift, Drag, and Vortex Frequency Data for Rigid Circular Cylinders; Technical Extension Service, Washington State University: Pullman, WA, USA, 1966. [Google Scholar]
- Basu, R.I. Aerodynamic forces on structures of circular cross-section. Part 1. Model-scale data obtained under two-dimensional conditions in low-turbulence streams. J. Wind Eng. Ind. Aerodyn. 1985, 21, 273–294. [Google Scholar] [CrossRef]
- Basu, R.I. Aerodynamic forces on structures of circular cross-section. Part 2. The influence of turbulence and three-dimensional effects. J. Wind Eng. Ind. Aerodyn. 1986, 24, 33–59. [Google Scholar] [CrossRef]
- Ruscheweyh, H. Dynamische Windwirkung an Bauwerken: 1. Grundlagen. Anwendungen; Bauverl.: Wiesbaden/Berlin, Germany, 1982; Volume 1. [Google Scholar]
- Niemann, H.J.; Hölscher, N. A review of recent experiments on the flow past circular cylinders. J. Wind Eng. Ind. Aerodyn. 1990, 33, 197–209. [Google Scholar] [CrossRef]
- Fontecha, R.; Henneke, B.; Kemper, F.; Feldmann, M. Aerodynamic properties of Wind Turbine Towers based on Wind Tunnel Experiments. Procedia Eng. 2017, 199, 3121–3126. [Google Scholar] [CrossRef]
- DIN EN 1991-1-4:2010-12; Eurocode 1: Actions on Structures—Part 1–4: General Actions—Wind Actions. German Version EN 1991-1-4:2005 + A1:2010 + AC:2010. ICS 91.010.30. DIN Deutsches Institut für Normung e.V.: Berlin, Germany, 2010. Available online: https://www.beuth.de/en/standard/din-en-1991-1-4/127478352 (accessed on 10 July 2021).
- Tschanz, T.; Davenport, A.G. The base balance technique for the determination of dynamic wind loads. J. Wind Eng. Ind. Aerodyn. 1983, 13, 429–439. [Google Scholar] [CrossRef]
- Tschanz, T. The Base Balance Measurement Technique and Applications to Dynamic Wind Loading to Structures. Ph.D. Thesis, The University of Western Ontario, London, ON, Canada, 1982. [Google Scholar]
- Holmes, J.D.; Tse, T.K. International high-frequency base balance benchmark study. Wind Struct. 2014, 18, 457–471. [Google Scholar] [CrossRef]
- Fontecha, R. Determination of Flutter Derivatives of Bridge Sections Determination of Flutter Derivatives of Bridge Sections Based on Wind Tunnel Experiments under Forced Excitation. Master’s Thesis, Universitat Politècnica de Catalunya (UPC), Barcelona, Spain, 2012. [Google Scholar]
- Hortmanns, M. Zur Identifikation und Berücksichtigung Nichtlinearer Aeroelastischer Effekte; Shaker: Aachen, Germany, 1997; Volume H.34. [Google Scholar]
- Jonkman, J.; Butterfield, S.; Musial, W.; Scott, G. Definition of a 5-MW Reference Wind Turbine for Offshore System Development; National Renewable Energy Lab (NREL): Golden, CO, USA, 2009. [Google Scholar]
- DIN EN 61400-1 (VDE 0127-1); Windenergieanlagen—Teil 1: Auslegungsanforderungen, Deutsche Fassung EN 61400-1:2005 + A1:2010, ICS 27.180. Beuth Verlag GmbH: Berlin, Germany, 2011. Available online: https://www.vde-verlag.de/standards/0127019/din-en-61400-1-vde-0127-1-2011-08.html (accessed on 10 July 2021).
- EN 1993-1-9:2010-12; Eurocode 3: Bemessung und Konstruktion von Stahlbauten—Teil 1–9: Ermüdung, Deutsche Fassung EN 1993-1-9:2005 + AC:2009, ICS:91.010.30, 91.080.13. DIN Deutsches Institut für Normung e.V.: Berlin, Germany, 2010. Available online: https://www.beuth.de/de/norm/din-en-1993-1-9/134637025 (accessed on 10 July 2021).
- Wind Energy Frequently Asked Questions (FAQ): How Efficient Are Wind Turbines?|EWEA, 2021-08-20T12:07:32.000Z. Available online: https://www.ewea.org/wind-energy-basics/faq/ (accessed on 10 July 2021).
- Windmesse Redaktion. Hywind Scotland Stellt Neuen Rekord Auf. Available online: https://w3.windmesse.de/windenergie/pm/37138-equinor-hywind-schottland-grossbritannien-schwimmend-windpark-leistung-mw-gw-kapazitatsfaktor-betrieb-wert-rekord-offshore-turbine (accessed on 10 July 2021).
- Van der Tempel, J. Design of Support Structures for Offshore Wind Turbines; Report/DUWIND Delft University Wind Energy Research Institute: Delft, The Netherlands, 2006; Volume 29. [Google Scholar]
- Chaaban, R. Frequency-Domain Fatigue Analysis of Wind Turbine Structures and Fatigue Damage Detection: Performance Evaluation of Spectral-Based Methods against the Rainflow Counting Algorithm. 2021. Available online: https://d-nb.info/123749897X/34 (accessed on 10 July 2021). [CrossRef]












| Roughness | Smooth | P040 | P060 | P120 | Dimple | |||||
|---|---|---|---|---|---|---|---|---|---|---|
| Equiv.k [m] | 2 | 425 | 269 | 100 | 0.025D | |||||
| D [mm] | LT | HT | LT | HT | LT | HT | LT | HT | LT | HT |
| 30 | 0.07 | - | 14.17 | - | 8.97 | - | 3.33 | - | 25.00 | - |
| 50 | 0.04 | 0.04 | 8.50 | 8.50 | 5.38 | 5.38 | 2.00 | 2.00 | 25.00 | 25.00 |
| 70 | 0.03 | 0.03 | 6.07 | 6.07 | 3.84 | 3.84 | 1.43 | 1.43 | 25.00 | 25.00 |
| 100 | 0.02 | 0.02 | 4.25 | 4.25 | 2.69 | 2.69 | 1.00 | 1.00 | - | - |
| Author or Standard | Exponent | Coefficient |
|---|---|---|
| Eurocode 1, Figure 7.28 [38] | 0.10 | 13,600 |
| Achenbach and Heinecke () [25] | 0.50 | 6000 |
| Own Measurements (LT, ) | 0.45 | 5300 |
| Own Measurements (HT, ) | 0.40 | 5900 |
| Model Name | D[mm] | Roughn. | [m/s] | Regime | |||
|---|---|---|---|---|---|---|---|
| CMA-050-SMO | 50 | Smooth | 0.04 | 8.02 | 2.67 | 1.05 | SC |
| CMA-050-P040 | 50 | P040 | 8.50 | 7.81 | 2.60 | 1.02 | SC |
| CMA-050-P040 | 50 | P040 | 8.50 | 12.90 | 4.30 | 0.80 | CC |
| CMA-050-DIMP | 50 | Dimple | 25.00 | 7.90 | 2.63 | 0.70 | CC |
| CMA-050-DIMP | 50 | Dimple | 25.00 | 12.96 | 4.32 | 0.60 | TC |
| CMA-070-SMO | 70 | Smooth | 0.03 | 7.90 | 3.69 | 0.94 | SC |
| CMA-070-SMO | 70 | Smooth | 0.03 | 12.92 | 6.03 | 0.96 | SC |
| CMA-070-P040 | 70 | P040 | 6.07 | 7.96 | 3.72 | 1.00 | CC |
| CMA-070-P040 | 70 | P040 | 6.07 | 12.96 | 6.05 | 0.85 | TC |
| CMA-070-DIMP | 70 | Dimple | 25.00 | 7.95 | 3.71 | 0.70 | TC |
| CMA-070-DIMP | 70 | Dimple | 25.00 | 13.06 | 6.09 | 0.70 | TC |
| CMA-100-SMO | 100 | Smooth | 0.02 | 9.87 | 6.58 | 1.00 | SC |
| CMA-100-P040 | 100 | P040 | 4.25 | 8.88 | 5.92 | 0.80 | CC |
| CMA-100-P040 | 100 | P040 | 4.25 | 13.98 | 9.32 | 0.85 | TC |
| CMA-100-DIMP | 100 | Dimple | 25.00 | 8.89 | 5.92 | - | TC |
| CMA-100-DIMP | 100 | Dimple | 25.00 | 13.85 | 9.23 | - | TC |
| Flow Regime | Line Slope | Mean | ||
|---|---|---|---|---|
| Sub-Critical | −0.143 | 0.89 | 1.24 | −8.64 |
| Trans-Critical | −0.127 | 0.81 | 0.95 | −7.46 |
| Critical | −0.117 | 0.86 | 1.02 | −8.70 |
| All regimes | −0.129 | 0.81 | 1.06 | −8.17 |
| Parameter | RWT | NREL-5 MW | DTU-10 MW | NREL-15 MW |
|---|---|---|---|---|
| D [m] | 5.63 | 4.2 | 5.95 | 6.78 |
| H [m] | 112 | 87.6 | 115.6 | 145 |
| [Hz] | 0.28 | 0.32 | 0.25 | 0.17 |
| [kg] | 562,405 | 388,195 | 736,967 | 1,102,116 |
| [kg/s] | 4006 | 1993 | 4123 | 4567 |
| [kg/s] | 1,978,869 | 1,561,024.72 | 2,315,250.11 | 2,354,431.68 |
| [kg/s] | |||||
|---|---|---|---|---|---|
| 3 | 1.90 | −0.24 | 968 | 0.05% | 0.003 |
| 5 | 3.17 | −0.40 | 1614 | 0.08% | 0.005 |
| 7 | 4.44 | −0.56 | 2259 | 0.11% | 0.007 |
| 9 | 5.71 | −0.73 | 2905 | 0.15% | 0.009 |
| 11 | 6.98 | −0.89 | 3550 | 0.18% | 0.011 |
| 13 | 8.25 | −1.05 | 4196 | 0.21% | 0.013 |
| 15 | 9.52 | −1.21 | 4841 | 0.24% | 0.015 |
| 17 | 10.78 | −1.37 | 5486 | 0.28% | 0.017 |
| 19 | 12.05 | −1.53 | 6132 | 0.31% | 0.019 |
| 21 | 13.32 | −1.69 | 6777 | 0.34% | 0.022 |
| 23 | 14.59 | −1.85 | 7423 | 0.38% | 0.024 |
| 25 | 15.86 | −2.01 | 8068 | 0.41% | 0.026 |
Publisher’s Note: MDPI stays neutral with regard to jurisdictional claims in published maps and institutional affiliations. |
© 2022 by the authors. Licensee MDPI, Basel, Switzerland. This article is an open access article distributed under the terms and conditions of the Creative Commons Attribution (CC BY) license (https://creativecommons.org/licenses/by/4.0/).
Share and Cite
Fontecha, R.; Kemper, F.; Feldmann, M.; Witter, S.; Schelenz, R. Along-Wind Aerodynamic Damping of Wind Turbine Towers: Determination by Wind Tunnel Tests and Impact on Tower Lifetime. Energies 2022, 15, 1984. https://doi.org/10.3390/en15061984
Fontecha R, Kemper F, Feldmann M, Witter S, Schelenz R. Along-Wind Aerodynamic Damping of Wind Turbine Towers: Determination by Wind Tunnel Tests and Impact on Tower Lifetime. Energies. 2022; 15(6):1984. https://doi.org/10.3390/en15061984
Chicago/Turabian StyleFontecha, Robert, Frank Kemper, Markus Feldmann, Stefan Witter, and Ralf Schelenz. 2022. "Along-Wind Aerodynamic Damping of Wind Turbine Towers: Determination by Wind Tunnel Tests and Impact on Tower Lifetime" Energies 15, no. 6: 1984. https://doi.org/10.3390/en15061984
APA StyleFontecha, R., Kemper, F., Feldmann, M., Witter, S., & Schelenz, R. (2022). Along-Wind Aerodynamic Damping of Wind Turbine Towers: Determination by Wind Tunnel Tests and Impact on Tower Lifetime. Energies, 15(6), 1984. https://doi.org/10.3390/en15061984

