Production Forecasting Based on Attribute-Augmented Spatiotemporal Graph Convolutional Network for a Typical Carbonate Reservoir in the Middle East
Abstract
1. Introduction
2. Methodology
2.1. Graph Convolutional Network
2.2. Attribute-Augmentation Unit
2.3. Temporal Dependence Modeling
2.4. Attribute-Augmented Spatiotemporal Graph Convolutional Network
3. Case Study
3.1. Workflow
3.2. Reservoir Background
3.3. Data Collection and Preprocessing
3.4. Model Structure, Training, and Evaluation
3.5. Comparison of Models
4. Experimental Result
4.1. Comparison Results of Forecasting Performance
4.2. Well Pattern Production Prediction Results
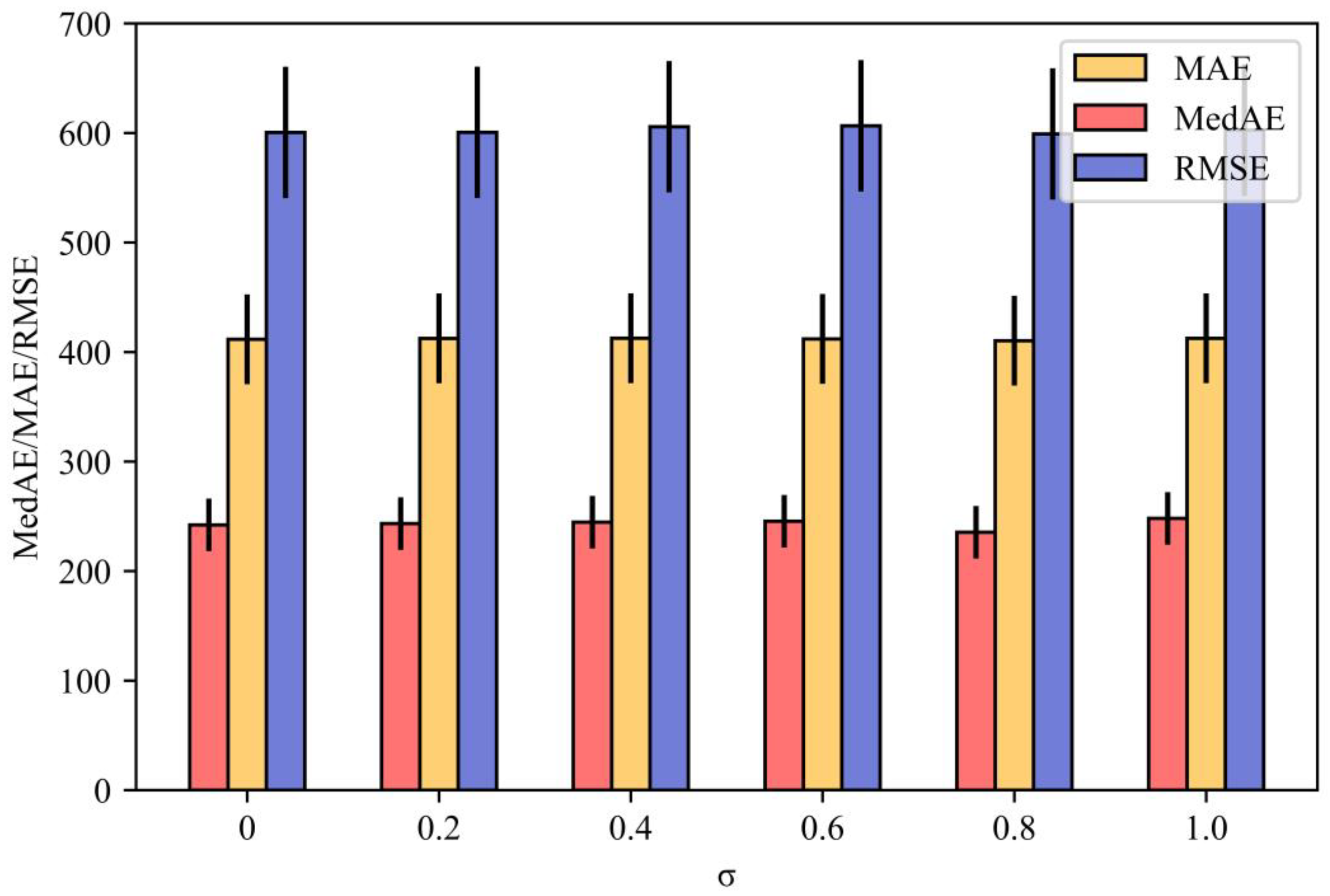
4.3. Perturbation Analysis Results
5. Discussion
6. Conclusions
- A hybrid model considering the production data, gas injection data, and spatial correlation is established, which eliminates the limitation that only single well productions can be predicted in previous studies.
- The injection and production data of five producers and seven gas injectors were collected for 2242 days. The producer–injector relationship coefficient was defined according to geological data, and the gas injection volume received by a certain producer was successfully calculated, which provides the foundation for the training of subsequent models.
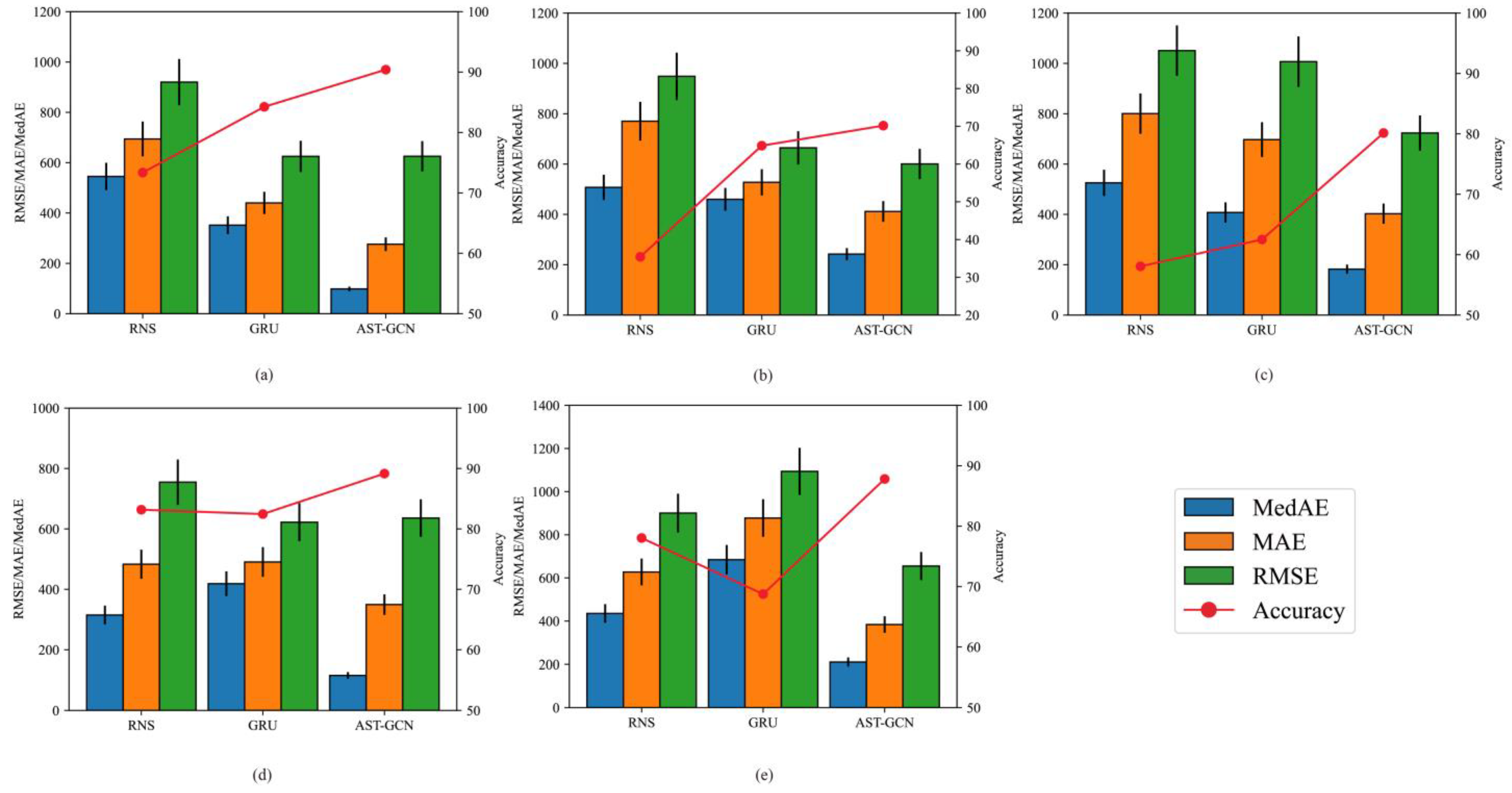
- For fair evaluation, the AST-GCN model is compared with traditional RNS and GRU for single-well production prediction. The result shows that the error of AST-GCN is 63.2%, 37.3%, and 16.1% lower in MedAE, MAE, and RMSE, compared with GRU, respectively. Compared with RNS, AST-GCN is 62.9%, 44.6%, and 28.9% lower in MedAE, MAE, and RMSE. Similarly, the accuracy of AST-GCN is 15.9% and 35.8% higher than GRU and RNS, respectively.
- Similar to RNS, the AST-GCN model can forecast the production of the well pattern. The error of AST-GCN is 41.2%, 64.2%, and 75.2% lower in RMSE, MAE, and MedAE compared with RNS, while the accuracy of AST-GCN is 29.3% higher than RNS.
- Different degrees of Gaussian noise is added to the denoised data. Compared with the actual value, the average change in AST-GCN is 3.3%, 0.4%, and 1.2% in MedAE, MAE, and RMSE, and the model was found to be stable and robust from the perspective of the evaluation indicators.
- In the future, we will devote ourselves to establishing a method to quickly find the hyper-parameters in the modeling progress so as to improve the efficiency of building the hybrid model; other characteristics, such as pressure data, will be considered within the range of input characteristics in the future.
- According to the planned production of the development management unit, the downward distribution between the whole reservoir and the single well can be realized, which provides a basis for enterprise management decision-making.
Author Contributions
Funding
Data Availability Statement
Conflicts of Interest
References
- Liu, W.; Liu, W.D.; Gu, J. Forecasting Oil Production Using Ensemble Empirical Model Decomposition Based Long Short-Term Memory Neural Network. J. Pet. Sci. Eng. 2020, 189, 107013. [Google Scholar] [CrossRef]
- Arnold, R.; Anderson, R. United States Geological Survey Bulletin 357: Preliminary Report on Coalinga Oil District, Fresno and Kings Counties; Government Printing Office: Washington, DC, USA, 1908.
- Arps, J.J. Analysis of Decline Curves. Trans. AIME 1945, 160, 228–247. [Google Scholar] [CrossRef]
- Tomomi, Y. Non-Uniqueness of History Matching. In Proceedings of the SPE Asia Pacific Conference on Integrated Modelling for Asset Management, Yokohama, Japan, 25 April 2000; p. SPE-59434-MS. [Google Scholar]
- Li, Y.; Sun, R.; Horne, R. Deep Learning for Well Data History Analysis. In Proceedings of the SPE Annual Technical Conference and Exhibition, Calgary, AB, Canada, 30 September 2019; p. D011S008R002. [Google Scholar]
- Song, X.; Liu, Y.; Xue, L.; Wang, J.; Zhang, J.; Wang, J.; Jiang, L.; Cheng, Z. Time-Series Well Performance Prediction Based on Long Short-Term Memory (LSTM) Neural Network Model. J. Pet. Sci. Eng. 2020, 186, 106682. [Google Scholar] [CrossRef]
- Rahuma, K.M.; Mohamed, H.; Hissein, N.; Giuma, S. Prediction of Reservoir Performance Applying Decline Curve Analysis. IJCEA 2013, 4, 74–77. [Google Scholar] [CrossRef]
- Lee, K.; Lim, J.; Yoon, D.; Jung, H. Prediction of Shale-Gas Production at Duvernay Formation Using Deep-Learning Algorithm. SPE J. 2019, 24, 2423–2437. [Google Scholar] [CrossRef]
- Al-Qasim, A.; AlDawsari, M.A. Comparison Study of Asphaltene Precipitation Models Using UTCOMP, CMG/GEM and ECLIPSE Simulators. In Proceedings of the SPE Oil and Gas India Conference and Exhibition, Mumbai, India, 4 April 2017; p. D011S001R005. [Google Scholar]
- Ostojic, J.; Rezaee, R.; Bahrami, H. Production Performance of Hydraulic Fractures in Tight Gas Sands, a Numerical Simulation Approach. J. Pet. Sci. Eng. 2012, 88–89, 75–81. [Google Scholar] [CrossRef]
- Xu, F.; Yu, W.; Li, X.; Miao, J.; Zhao, G.; Sepehrnoori, K.; Li, X.; Jin, J.; Wen, G. A Fast EDFM Method for Production Simulation of Complex Fractures in Naturally Fractured Reservoirs. In Proceedings of the SPE/AAPG Eastern Regional Meeting, Pittsburgh, PA, USA, 10 October 2018; p. D043S007R001. [Google Scholar]
- Ahmadi, Y.; Hassanbeygi, M.; Kharrat, R. The Effect of Temperature and Injection Rate during Water Flooding Using Carbonate Core Samples: An Experimental Approach. Iran. J. Oil Gas Sci. Technol. 2016, 5, 18–24. [Google Scholar] [CrossRef]
- Wang, Q.; Wan, J.; Mu, L.; Shen, R.; Jurado, M.J.; Ye, Y. An Analytical Solution for Transient Productivity Prediction of Multi-Fractured Horizontal Wells in Tight Gas Reservoirs Considering Nonlinear Porous Flow Mechanisms. Energies 2020, 13, 1066. [Google Scholar] [CrossRef]
- Wilson, K.C.; Durlofsky, L.J. Optimization of Shale Gas Field Development Using Direct Search Techniques and Reduced-Physics Models. J. Pet. Sci. Eng. 2013, 108, 304–315. [Google Scholar] [CrossRef]
- Ahmadi, Y.; Aminshahidy, B. Inhibition of Asphaltene Precipitation by Hydrophobic CaO and SiO2 Nanoparticles during Natural Depletion and CO2 Tests. Int. J. Oil Gas Coal Technol. 2018, 24, 394. [Google Scholar] [CrossRef]
- Liu, W.; Zhang, Z.; Chen, J.; Jiang, D.; Wu, F.; Fan, J.; Li, Y. Feasibility Evaluation of Large-Scale Underground Hydrogen Storage in Bedded Salt Rocks of China: A Case Study in Jiangsu Province. Energy 2020, 198, 117348. [Google Scholar] [CrossRef]
- Nwaobi, U.; Anandarajah, G. Parameter Determination for a Numerical Approach to Undeveloped Shale Gas Production Estimation: The UK Bowland Shale Region Application. J. Nat. Gas Sci. Eng. 2018, 58, 80–91. [Google Scholar] [CrossRef]
- Clarkson, C.R.; Williams-Kovacs, J.D.; Qanbari, F.; Behmanesh, H.; Heidari Sureshjani, M. History-Matching and Forecasting Tight/Shale Gas Condensate Wells Using Combined Analytical, Semi-Analytical, and Empirical Methods. J. Nat. Gas Sci. Eng. 2015, 26, 1620–1647. [Google Scholar] [CrossRef]
- El-Banbi, A.H.; Wattenbarger, R.A. Analysis of Commingled Tight Gas Reservoirs. In Proceedings of the SPE Annual Technical Conference and Exhibition, Denver, CO, USA, 6 October 1996; p. SPE-36736-MS. [Google Scholar]
- Hutahaean, J.J.; Demyanow, V.; Christie, M.A. Impact of Model Parameterisation and Objective Choices on Assisted History Matching and Reservoir Forecasting. In Proceedings of the SPE/IATMI Asia Pacific Oil & Gas Conference and Exhibition, Nusa Dua, Indonesia, 20 October 2015; p. SPE-176389-MS. [Google Scholar]
- Hutahaean, J.; Demyanov, V.; Christie, M. Many-Objective Optimization Algorithm Applied to History Matching. In Proceedings of the 2016 IEEE Symposium Series on Computational Intelligence (SSCI), Athens, Greece, 6–9 December 2016; IEEE: Athens, Greece, 2016; pp. 1–8. [Google Scholar]
- Hutahaean, J.; Demyanov, V.; Christie, M.A. On Optimal Selection of Objective Grouping for Multiobjective History Matching. SPE J. 2017, 22, 1296–1312. [Google Scholar] [CrossRef]
- Huang, R.; Wei, C.; Wang, B.; Yang, J.; Xu, X.; Wu, S.; Huang, S. Well Performance Prediction Based on Long Short-Term Memory (LSTM) Neural Network. J. Pet. Sci. Eng. 2022, 208, 109686. [Google Scholar] [CrossRef]
- Li, J.; Wan, J.; Wang, T.; Yuan, G.; Jurado, M.J.; He, Q. Leakage Simulation and Acoustic Characteristics Based on Acoustic Logging by Ultrasonic Detection. Adv. Geo-Energy Res. 2022, 6, 181–191. [Google Scholar] [CrossRef]
- Yang, Y.; Liu, S. Estimation and Modeling of Pressure-Dependent Gas Diffusion Coefficient for Coal: A Fractal Theory-Based Approach. Fuel 2019, 253, 588–606. [Google Scholar] [CrossRef]
- Clemens, T.; Viechtbauer-Gruber, M. Impact of Digitalization on the Way of Working and Skills Development in Hydrocarbon Production Forecasting and Project Decision Analysis. In Proceedings of the SPE Reservoir Evaluation & Engineering, Virtual, 1 December 2020; p. D011S007R002. [Google Scholar]
- Nwachukwu, A.; Jeong, H.; Pyrcz, M.; Lake, L.W. Fast Evaluation of Well Placements in Heterogeneous Reservoir Models Using Machine Learning. J. Pet. Sci. Eng. 2018, 163, 463–475. [Google Scholar] [CrossRef]
- Huang, R.; Wei, C.; Wang, B.; Li, B.; Yang, J.; Wu, S.; Xiong, L.; Li, Z.; Lou, Y.; Gao, Y.; et al. A Comprehensive Machine Learning Approach for Quantitatively Analyzing Development Performance and Optimization for a Heterogeneous Carbonate Reservoir in Middle East. In Proceedings of the SPE Eastern Europe Subsurface Conference, Kyiv, Ukraine, 23 November 2021; p. D012S001R001. [Google Scholar]
- Lee, K.; Kim, S.; Choe, J.; Min, B.; Lee, H.S. Iterative Static Modeling of Channelized Reservoirs Using History-Matched Facies Probability Data and Rejection of Training Image. Pet. Sci. 2019, 16, 127–147. [Google Scholar] [CrossRef]
- Udegbe, E.; Morgan, E.; Srinivasan, S. From Face Detection to Fractured Reservoir Characterization: Big Data Analytics for Restimulation Candidate Selection. In Proceedings of the Annual Technical Conference and Exhibition, San Antonio, TX, USA, 11 October 2017; p. D031S030R002. [Google Scholar]
- Wan, J.; Jiang, S.; Xia, Y.; Li, J.; Li, G. Numerical Model and Program Development of Horizontal Directional Drilling for Non-Excavation Technology. Environ. Earth Sci. 2021, 80, 579. [Google Scholar] [CrossRef]
- Huang, R.; Wei, C.; Li, B.; Xiong, L.; Yang, J.; Wu, S.; Gao, Y.; Liu, S.; Zhang, C.; Lou, Y.; et al. A Data Driven Method to Predict and Restore Missing Well Head Flow Pressure. In Proceedings of the International Petroleum Technology Conference, Riyadh, Saudi Arabia, 23 February 2022; p. D032S154R004. [Google Scholar]
- Huang, R.; Wei, C.; Yang, J.; Xu, X.; Li, B.; Wu, S.; Xiong, L. Quantitative Analysis of the Main Controlling Factors of Oil Saturation Variation. Geofluids 2021, 2021, 1–12. [Google Scholar] [CrossRef]
- Wei, C.; Huang, R.; Ding, M.; Yang, J.; Xiong, L. Characterization of Saturation and Pressure Distribution Based on Deep Learning for a Typical Carbonate Reservoir in the Middle East. J. Pet. Sci. Eng. 2022, 213, 110442. [Google Scholar] [CrossRef]
- Azamifard, A.; Rashidi, F.; Ahmadi, M.; Pourfard, M.; Dabir, B. Toward More Realistic Models of Reservoir by Cutting-Edge Characterization of Permeability with MPS Methods and Deep-Learning-Based Selection. J. Pet. Sci. Eng. 2019, 181, 106135. [Google Scholar] [CrossRef]
- Etienam, C. 4D Seismic History Matching Incorporating Unsupervised Learning. In Proceedings of the SPE Europec featured at 81st EAGE Conference and Exhibition, London, UK, 5 June 2019; p. D031S005R005. [Google Scholar]
- Huang, R.; Wei, C.; Li, B.; Yang, J.; Wu, S.; Xu, X.; Ou, Y.; Xiong, L.; Lou, Y.; Li, Z.; et al. Prediction and Optimization of WAG Flooding by Using LSTM Neural Network Model in Middle East Carbonate Reservoir. In Proceedings of the Abu Dhabi International Petroleum Exhibition & Conference, Abu Dhabi, United Arab Emirates, 15 November 2021; p. D011S012R003. [Google Scholar]
- Li, X.; Ma, X.; Xiao, F.; Xiao, C.; Wang, F.; Zhang, S. Time-Series Production Forecasting Method Based on the Integration of Bidirectional Gated Recurrent Unit (Bi-GRU) Network and Sparrow Search Algorithm (SSA). J. Pet. Sci. Eng. 2022, 208, 109309. [Google Scholar] [CrossRef]
- Zhao, L.; Song, Y.; Zhang, C.; Liu, Y.; Wang, P.; Lin, T.; Deng, M.; Li, H. T-GCN: A Temporal Graph Convolutional Network for Traffic Prediction. IEEE Trans. Intell. Transport. Syst. 2020, 21, 3848–3858. [Google Scholar] [CrossRef]
- Du, E.; Liu, Y.; Cheng, Z.; Xue, L.; Ma, J.; He, X. Production Forecasting with the Interwell Interference by Integrating Graph Convolutional and Long Short-Term Memory Neural Network. SPE Reserv. Eval. Eng. 2022, 25, 197–213. [Google Scholar] [CrossRef]
- Yin, H.; Yang, L.; Xu, H.; Wan, J. Adaptive Convolutional Neural Network for Large Change in Video Object Segmentation. IET Comput. Vis. 2019, 13, 452–460. [Google Scholar] [CrossRef]
- Tian, Y. Artificial Intelligence Image Recognition Method Based on Convolutional Neural Network Algorithm. IEEE Access 2020, 8, 125731–125744. [Google Scholar] [CrossRef]
- Chang, J.; Wang, L.; Meng, G.; Zhang, Q.; Xiang, S.; Pan, C. Local-Aggregation Graph Networks. IEEE Trans. Pattern Anal. Mach. Intell. 2019, 42, 2874–2886. [Google Scholar] [CrossRef]
- Wu, R.; Kamata, S. K(3)-Sparse Graph Convolutional Networks for Face Recognition. In Proceedings of the 2018 15th International Conference on Control, Automation, Robotics and Vision (ICARCV), Singapore, 30 May 2018; pp. 174–179. [Google Scholar]
- Bruna, J.; Zaremba, W.; Szlam, A.; LeCun, Y. Spectral Networks and Locally Connected Networks on Graphs. arXiv 2013, arXiv:1312.6203. [Google Scholar]
- Kipf, T.N.; Welling, M. Semi-Supervised Classification with Graph Convolutional Networks. arXiv 2016, arXiv:1609.02907. [Google Scholar]
- Feng, F.; He, X.; Wang, X.; Luo, C.; Liu, Y.; Chua, T.-S. Temporal Relational Ranking for Stock Prediction. ACM Trans. Inf. Syst. 2019, 37, 30. [Google Scholar] [CrossRef]
- Ahmadi, Y.; Mansouri, M. Using New Synthesis Zirconia-Based Nanocomposites for Improving Water Alternative Associated Gas Tests Considering Interfacial Tension and Contact Angle Measurements. Energy Fuels 2021, 35, 16724–16734. [Google Scholar] [CrossRef]














| Advantages | Limitations | |
|---|---|---|
| DCA |
|
|
| RNS |
|
|
| Analytic method |
|
|
| RNN |
|
|
| LSTM |
|
|
| GRU |
|
|
| Hybrid model |
|
|
| Parameters | Value |
|---|---|
| Number of neurons | 256 |
| Epoch | 3000 |
| Batch size | 128 |
| Loss function | MSE |
| Optimizer | Adam |
| Activation function | ReLU |
| Dropout rate | 0.1 |
| Learning rate | 0.001 |
| Evaluation Metrics | GRU |
|---|---|
| RMSE | 515.15 |
| MAE | 306.56 |
| MedAE | 210.73 |
| Accuracy | 86.72 |
| Evaluation Metrics | AST-GCN | RNS |
|---|---|---|
| RMSE | 2392.28 | 4071.72 |
| MAE | 1194.99 | 3347.28 |
| MedAE | 660.77 | 2659.55 |
| Accuracy | 91.51 | 70.79 |
Disclaimer/Publisher’s Note: The statements, opinions and data contained in all publications are solely those of the individual author(s) and contributor(s) and not of MDPI and/or the editor(s). MDPI and/or the editor(s) disclaim responsibility for any injury to people or property resulting from any ideas, methods, instructions or products referred to in the content. |
© 2022 by the authors. Licensee MDPI, Basel, Switzerland. This article is an open access article distributed under the terms and conditions of the Creative Commons Attribution (CC BY) license (https://creativecommons.org/licenses/by/4.0/).
Share and Cite
Gao, M.; Wei, C.; Zhao, X.; Huang, R.; Yang, J.; Li, B. Production Forecasting Based on Attribute-Augmented Spatiotemporal Graph Convolutional Network for a Typical Carbonate Reservoir in the Middle East. Energies 2023, 16, 407. https://doi.org/10.3390/en16010407
Gao M, Wei C, Zhao X, Huang R, Yang J, Li B. Production Forecasting Based on Attribute-Augmented Spatiotemporal Graph Convolutional Network for a Typical Carbonate Reservoir in the Middle East. Energies. 2023; 16(1):407. https://doi.org/10.3390/en16010407
Chicago/Turabian StyleGao, Meng, Chenji Wei, Xiangguo Zhao, Ruijie Huang, Jian Yang, and Baozhu Li. 2023. "Production Forecasting Based on Attribute-Augmented Spatiotemporal Graph Convolutional Network for a Typical Carbonate Reservoir in the Middle East" Energies 16, no. 1: 407. https://doi.org/10.3390/en16010407
APA StyleGao, M., Wei, C., Zhao, X., Huang, R., Yang, J., & Li, B. (2023). Production Forecasting Based on Attribute-Augmented Spatiotemporal Graph Convolutional Network for a Typical Carbonate Reservoir in the Middle East. Energies, 16(1), 407. https://doi.org/10.3390/en16010407

