Calcium Borohydride Ca(BH4)2: Fundamentals, Prediction and Probing for High-Capacity Energy Storage Applications, Organic Synthesis and Catalysis
Abstract
1. Introduction
2. Synthesis Routes
3. Structural Variability, Polymorphs, Crystal Structure, DFT Predictions, and Phase Transitions
3.1. Crystal Structure, Polymorphs, and Phase Transitions
3.2. Cation Substitution
3.3. Anion Substitution
3.4. DFT Computation and Predictions
4. Characterization and Stability
4.1. Neat vs. Nanoconfined
4.2. DFT Simulation of the Nanosizing Effect
4.3. Destabilization Strategies
5. Hydrogen Storage Properties
5.1. Bulk Ca(BH4)2
5.2. Nanoconfined
5.3. Additives Used to Improve H2 Storage Features of Calcium Borohydride
5.4. RHCs—Reactive Hydride Composites Containing Ca(BH4)2 or Its Precursors
5.5. Adduct Formation and Dihydrogen Bonding in Solvates
5.6. Reversibility Assessment
5.7. Ionic Conductivity
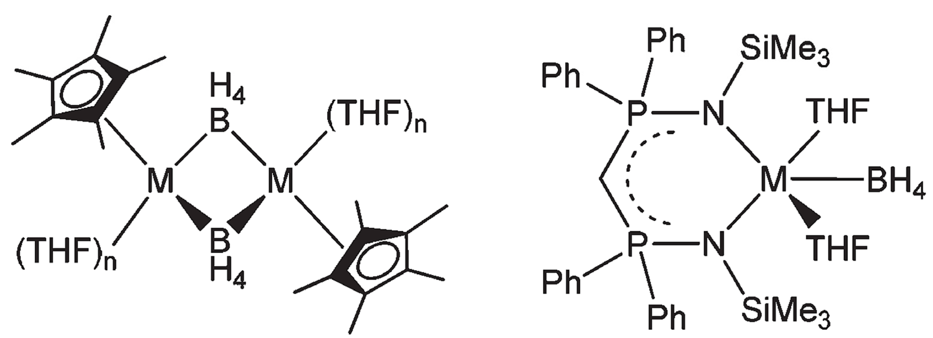
6. Ca(BH4)2 in Organic Synthesis and Organometallic Chemistry
6.1. Catalyst/Initiator
6.2. Reducing Agent
6.3. Promoter of Cyclization in Various Reactions
6.4. Reaction Inhibitor and Miscellaneous Reactivity
7. Remaining Challenges and Future Prospects
8. Conclusions
Funding
Data Availability Statement
Acknowledgments
Conflicts of Interest
References
- Amieiro-Fonseca, A.; Ellis, S.R.; Nuttall, C.J.; Hayden, B.E.; Guerin, S.; Purdy, G.; Soulié, J.-P.; Callear, S.K.; Culligan, S.D.; David, W.I.F.; et al. A multidisciplinary combinatorial approach for tuning promising hydrogen storage materials towards automotive applications. Faraday Discuss. 2011, 151, 369–384. [Google Scholar] [CrossRef] [PubMed]
- Comanescu, C. Recent Development in Nanoconfined Hydrides for Energy Storage. Int. J. Mol. Sci. 2022, 23, 7111. [Google Scholar] [CrossRef] [PubMed]
- Bonaccorsi, R.; Charkin, O.P.; Tomasi, J. Nonempirical study of the structure and stability of beryllium, magnesium, and calcium borohydrides. Inorg. Chem. 1991, 30, 2964–2969. [Google Scholar] [CrossRef]
- Comanescu, C. Complex Metal Borohydrides: From Laboratory Oddities to Prime Candidates in Energy Storage Applications. Materials 2022, 15, 2286. [Google Scholar] [CrossRef]
- Grinderslev, J.B.; Amdisen, M.B.; Skov, L.N.; Moller, K.T.; Kristensen, L.G.; Polanski, M.; Heere, M.; Jensen, T.R. New perspectives of functional metal borohydrides. J. Alloys Compd. 2022, 896, 163014. [Google Scholar] [CrossRef]
- Comanescu, C. Paving the Way to the Fuel of the Future—Nanostructured Complex Hydrides. Int. J. Mol. Sci. 2023, 24, 143. [Google Scholar] [CrossRef]
- Kojima, Y. Hydrogen storage materials for hydrogen and energy carriers. Int. J. Hydrogen Energy 2019, 44, 18179–18192. [Google Scholar] [CrossRef]
- Nakamori, Y.; Li, H.W.; Matsuo, M.; Miwa, K.; Towata, S.; Orimo, S. Development of metal borohydrides for hydrogen storage. J. Phys. Chem. Solids 2008, 69, 2292–2296. [Google Scholar] [CrossRef]
- Ronnebro, E. High-pressure techniques for discovering and re-hydrogenation of metal hydride materials. J. Phys. Chem. Solids 2010, 71, 1154–1158. [Google Scholar] [CrossRef]
- Ronnebro, E. Development of group II borohydrides as hydrogen storage materials. Curr. Opin. Solid State Mater. Sci. 2011, 15, 44–51. [Google Scholar] [CrossRef]
- Ronnebro, E.; Majzoub, E.H. Calcium borohydride for hydrogen storage: Catalysis and reversibility. J. Phys. Chem. B 2007, 111, 12045–12047. [Google Scholar] [CrossRef] [PubMed]
- Wolverton, C.; Siegel, D.J.; Akbarzadeh, A.R.; Ozolins, V. Discovery of novel hydrogen storage materials: An atomic scale computational approach. J. Phys.-Condens. Matter 2008, 20, 064228. [Google Scholar] [CrossRef] [PubMed]
- Barkhordarian, G.; Jensen, T.R.; Doppiu, S.; Bosenberg, U.; Borgschulte, A.; Gremaud, R.; Cerenius, Y.; Dornheim, M.; Klassen, T.; Bormann, R. Formation of Ca(BH4)2 from hydrogenation of CaH2 + MgB2 composite. J. Phys. Chem. C 2008, 112, 2743–2749. [Google Scholar] [CrossRef]
- He, L.Q.; Li, H.W.; Tumanov, N.; Filinchuk, Y.; Akiba, E. Facile synthesis of anhydrous alkaline earth metal dodecaborates MB12H12 (M = Mg, Ca) from M(BH4)2. Dalton Trans. 2015, 44, 15882–15887. [Google Scholar] [CrossRef]
- Jepsen, L.H.; Lee, Y.S.; Cerny, R.; Sarusie, R.S.; Cho, Y.W.; Besenbacher, F.; Jensen, T.R. Ammine Calcium and Strontium Borohydrides: Syntheses, Structures, and Properties. Chemsuschem 2015, 8, 3472–3482. [Google Scholar] [CrossRef]
- Karabulut, A.F.; Guru, M.; Boynuegri, T.A.; Aydin, M.Y. Synthesis of Ca(BH4)2 from Synthetic Colemanite Used in Hydrogen Storage by Mechanochemical Reaction. J. Electron. Mater. 2016, 45, 3957–3963. [Google Scholar] [CrossRef]
- Lee, Y.S.; Filinchuk, Y.; Lee, H.S.; Suh, J.Y.; Kim, J.W.; Yu, J.S.; Cho, Y.W. On the Formation and the Structure of the First Bimetallic Borohydride Borate, LiCa3(BH4)(BO3)2. J. Phys. Chem. C 2011, 115, 10298–10304. [Google Scholar] [CrossRef]
- Titov, L.V. The synthesis of calcium borohydride. Dokl. Akad. Nauk 1964, 154, 654–656. [Google Scholar]
- Titov, L.V. Synthesis and chemical transformations of ionic octahydrotriborates: Cleavage of the B3H8-anion. Russ. J. Inorg. Chem. 2003, 48, 1471–1479. [Google Scholar]
- Richter, B.; Grinderslev, J.B.; Moller, K.T.; Paskevicius, M.; Jensen, T.R. From Metal Hydrides to Metal Borohydrides. Inorg. Chem. 2018, 57, 10768–10780. [Google Scholar] [CrossRef]
- Moller, K.T.; Fogh, A.S.; Paskevicius, M.; Skibsted, J.; Jensen, T.R. Metal borohydride formation from aluminium boride and metal hydrides. Phys. Chem. Chem. Phys. 2016, 18, 27545–27553. [Google Scholar] [CrossRef] [PubMed]
- Nakagawa, T.; Ichikawa, T.; Miyaoka, H.; Tsubota, M.; Kojima, Y. Synthesis of Calcium Borohydride by Milling Hydrogenation of Hydride and Boride. J. Jpn. Inst. Met. Mater. 2013, 77, 609–614. [Google Scholar] [CrossRef]
- Rongeat, C.; Lindemann, I.; Borgschulte, A.; Schultz, L.; Gutfleisch, O. Effect of the presence of chlorides on the synthesis and decomposition of Ca(BH4)2. Int. J. Hydrogen Energy 2011, 36, 247–253. [Google Scholar] [CrossRef]
- Titov, L.V.; Eremin, E.R. Complex of aluminum borohydride with calcium borohydride. Bull. Acad. Sci. Ussr Div. Chem. Sci. 1975, 24, 1095–1096. [Google Scholar] [CrossRef]
- George, L.; Saxena, S.K. Structural stability of metal hydrides, alanates and borohydrides of alkali and alkali-earth elements: A review. Int. J. Hydrogen Energy 2010, 35, 5454–5470. [Google Scholar] [CrossRef]
- Karimi, F.; Pranzas, P.K.; Hoell, A.; Vainio, U.; Welter, E.; Raghuwanshi, V.S.; Pistidda, C.; Dornheim, M.; Klassen, T.; Schreyer, A. Structural analysis of calcium reactive hydride composite for solid state hydrogen storage. J. Appl. Crystallogr. 2014, 47, 67–75. [Google Scholar] [CrossRef]
- Llamas-Jansa, I.; Friedrichs, O.; Fichtner, M.; Bardaji, E.G.; Zuttel, A.; Hauback, B.C. The Role of Ca(BH4)2 Polymorphs. J. Phys. Chem. C 2012, 116, 13472–13479. [Google Scholar] [CrossRef]
- Sharma, M.; Sethio, D.; D’Anna, V.; Fallas, J.C.; Schouwink, P.; Cerny, R.; Hagemann, H. Isotope Exchange Reactions in Ca(BH4)2. J. Phys. Chem. C 2015, 119, 29–32. [Google Scholar] [CrossRef]
- Soloninin, A.V.; Babanova, O.A.; Skripov, A.V.; Hagemann, H.; Richter, B.; Jensen, T.R.; Filinchuk, Y. NMR Study of Reorientational Motion in Alkaline-Earth Borohydrides: Beta and gamma Phases of Mg(BH4)2 and alpha and beta Phases of Ca(BH4)2. J. Phys. Chem. C 2012, 116, 4913–4920. [Google Scholar] [CrossRef]
- Buchter, F.; Lodziana, Z.; Remhof, A.; Friedrichs, O.; Borgschulte, A.; Mauron, P.; Zuttel, A.; Sheptyakov, D.; Palatinus, L.; Chlopek, K.; et al. Structure of the Orthorhombic gamma-Phase and Phase Transitions of Ca(BD4)2. J. Phys. Chem. C 2009, 113, 17223–17230. [Google Scholar] [CrossRef]
- Noritake, T.; Aoki, M.; Matsumoto, M.; Miwa, K.; Towata, S.; Li, H.W.; Orimo, S. Crystal structure and charge density analysis of Ca(BH4)2. J. Alloys Compd. 2010, 491, 57–62. [Google Scholar] [CrossRef]
- Le, T.; Do, P.M. The Preferable F2dd Phase for Ca(BH4)2 Crystal Under Hydrostatic Pressures. J. Electron. Mater. 2017, 46, 3479–3483. [Google Scholar] [CrossRef]
- Lee, Y.S.; Kim, Y.; Cho, Y.W.; Shapiro, D.; Wolverton, C.; Ozolins, V. Crystal structure and phonon instability of high-temperature β-Ca(BH4)2. Phys. Rev. B 2009, 79, 9. [Google Scholar] [CrossRef]
- Frankcombe, T.J. Calcium Borohydride for Hydrogen Storage: A Computational Study of Ca(BH4)2 Crystal Structures and the CaB2Hx Intermediate. J. Phys. Chem. C 2010, 114, 9503–9509. [Google Scholar] [CrossRef]
- Filinchuk, Y.; Ronnebro, E.; Chandra, D. Crystal structures and phase transformations in Ca(BH4)2. Acta Mater. 2009, 57, 732–738. [Google Scholar] [CrossRef]
- Majzoub, E.H.; Ronnebro, E. Crystal Structures of Calcium Borohydride: Theory and Experiment. J. Phys. Chem. C 2009, 113, 3352–3358. [Google Scholar] [CrossRef]
- Stavila, V.; Her, J.H.; Zhou, W.; Hwang, S.J.; Kim, C.; Ottley, L.A.M.; Udovic, T.J. Probing the structure, stability and hydrogen storage properties of calcium dodecahydro-closo-dodecaborate. J. Solid State Chem. 2010, 183, 1133–1140. [Google Scholar] [CrossRef]
- Liu, A.; Xie, S.T.; Dabiran-Zohoory, S.; Song, Y. High-Pressure Structures and Transformations of Calcium Borohydride Probed by Combined Raman and Infrared Spectroscopies. J. Phys. Chem. C 2010, 114, 11635–11642. [Google Scholar] [CrossRef]
- Paolone, A.; Palumbo, O.; Rispoli, P.; Miriametro, A.; Cantelli, R.; Luedtke, A.; Ronnebro, E.; Chandra, D. Structural phase transitions and adduct release in calcium borohydride. J. Alloys Compd. 2011, 509, S691–S693. [Google Scholar] [CrossRef]
- Li, X.; Huang, Y.P.; Wei, S.L.; Zhou, D.; Wang, Y.C.; Wang, X.; Li, F.F.; Zhou, Q.; Liu, B.B.; Huang, X.L.; et al. New Phase of Ca(BH4)2 at Near Ambient Conditions. J. Phys. Chem. C 2018, 122, 14272–14276. [Google Scholar] [CrossRef]
- Grahame, A.; Aguey-Zinsou, K.-F. Properties and Applications of Metal (M) dodecahydro-closo-dodecaborates (Mn=1,2B12H12) and Their Implications for Reversible Hydrogen Storage in the Borohydrides. Inorganics 2018, 6, 106. [Google Scholar] [CrossRef]
- Riktor, M.D.; Filinchuk, Y.; Vajeeston, P.; Bardaji, E.G.; Fichtner, M.; Fjellvag, H.; Sorby, M.H.; Hauback, B.C. The crystal structure of the first borohydride borate, Ca3(BD4)3(BO3). J. Mater. Chem. 2011, 21, 7188–7193. [Google Scholar] [CrossRef]
- Fang, Z.Z.; Kang, X.D.; Luo, J.H.; Wang, P.; Li, H.W.; Orimo, S. Formation and Hydrogen Storage Properties of Dual-Cation (Li, Ca) Borohydride. J. Phys. Chem. C 2010, 114, 22736–22741. [Google Scholar] [CrossRef]
- Jiang, K.; Xiao, X.Z.; Deng, S.S.; Zhang, M.; Li, S.Q.; Ge, H.W.; Chen, L.X. A Novel Li-Ca-B-H Complex Borohydride: Its Synthesis and Hydrogen Storage Properties. J. Phys. Chem. C 2011, 115, 19986–19993. [Google Scholar] [CrossRef]
- Lang, C.G.; Jia, Y.; Liu, J.W.; Wang, H.; Ouyang, L.Z.; Zhu, M.; Yao, X.D. Dehydrogenation and reaction pathway of Perovskite-Type NH4Ca(BH4)3. Prog. Nat. Sci. 2018, 28, 194–199. [Google Scholar] [CrossRef]
- Mattox, T.M.; Bolek, G.; Pham, A.L.; Kunz, M.; Liu, Y.S.; Fakra, S.C.; Gordon, M.P.; Doran, A.; Guo, J.H.; Urban, J.J. Calcium chloride substitution in sodium borohydride. J. Solid State Chem. 2020, 290, 121499. [Google Scholar] [CrossRef]
- Schouwink, P.; Morelle, F.; Sadikin, Y.; Filinchuk, Y.; Cerny, R. Increasing Hydrogen Density with the Cation-Anion Pair BH4−-NH4+ in Perovskite-Type NH4Ca(BH4)3. Energies 2015, 8, 8286–8299. [Google Scholar] [CrossRef]
- Grove, H.; Rude, L.H.; Jensen, T.R.; Corno, M.; Ugliengo, P.; Baricco, M.; Sorby, M.H.; Hauback, B.C. Halide substitution in Ca(BH4)2. Rsc Adv. 2014, 4, 4736–4742. [Google Scholar] [CrossRef]
- Rude, L.H.; Filinchuk, Y.; Sorby, M.H.; Hauback, B.C.; Besenbacher, F.; Jensen, T.R. Anion Substitution in Ca(BH4)2-CaI2: Synthesis, Structure and Stability of Three New Compounds. J. Phys. Chem. C 2011, 115, 7768–7777. [Google Scholar] [CrossRef]
- Aeberhard, P.C.; Refson, K.; Edwards, P.P.; David, W.I.F. High-pressure crystal structure prediction of calcium borohydride using density functional theory. Phys. Rev. B 2011, 83, 174102. [Google Scholar] [CrossRef]
- Aidhy, D.S.; Zhang, Y.S.; Wolverton, C. Prediction of a Ca(BH4)(NH2) quaternary hydrogen storage compound from first-principles calculations. Phys. Rev. B 2011, 84, 134103. [Google Scholar] [CrossRef]
- Albanese, E.; Corno, M.; Baricco, M.; Civalleri, B. Simulation of nanosizing effects in the decomposition of Ca(BH4)2 through atomistic thin film models. Res. Chem. Intermed. 2021, 47, 345–356. [Google Scholar] [CrossRef]
- Bai, Y.; Pei, Z.W.; Wu, F.; Wu, C. Role of Metal Electronegativity in the Dehydrogenation Thermodynamics and Kinetics of Composite Metal Borohydride-LiNH2 Hydrogen Storage Materials. ACS Appl. Mater. Interfaces 2018, 10, 9514–9521. [Google Scholar] [CrossRef] [PubMed]
- Blanchard, D.; Riktor, M.D.; Maronsson, J.B.; Jacobsen, H.S.; Kehres, J.; Sveinbjornsson, D.; Bardaji, E.G.; Leon, A.; Juranyi, F.; Wuttke, J.; et al. Hydrogen Rotational and Translational Diffusion in Calcium Borohydride from Quasielastic Neutron Scattering and DFT Calculations. J. Phys. Chem. C 2010, 114, 20249–20257. [Google Scholar] [CrossRef]
- Franco, F.; Baricco, M.; Chierotti, M.R.; Gobetto, R.; Nervi, C. Coupling Solid-State NMR with GIPAW ab Initio Calculations in Metal Hydrides and Borohydrides. J. Phys. Chem. C 2013, 117, 9991–9998. [Google Scholar] [CrossRef]
- Borgschulte, A.; Gremaud, R.; Zuttel, A.; Martelli, P.; Remhof, A.; Ramirez-Cuesta, A.J.; Refson, K.; Bardaji, E.G.; Lohstroh, W.; Fichtner, M.; et al. Experimental evidence of librational vibrations determining the stability of calcium borohydride. Phys. Rev. B 2011, 83, 024102. [Google Scholar] [CrossRef]
- Bosenberg, U.; Pistidda, C.; Tolkiehn, M.; Busch, N.; Saldan, I.; Suarez-Alcantara, K.; Arendarska, A.; Klassen, T.; Dornheim, M. Characterization of metal hydrides by in-situ XRD. Int. J. Hydrogen Energy 2014, 39, 9899–9903. [Google Scholar] [CrossRef]
- Riktor, M.D.; Sorby, M.H.; Chlopek, K.; Fichtner, M.; Buchter, F.; Zuettel, A.; Hauback, B.C. In situ synchrotron diffraction studies of phase transitions and thermal decomposition of Mg(BH4)2 and Ca(BH4)2. J. Mater. Chem. 2007, 17, 4939–4942. [Google Scholar] [CrossRef]
- Suarez-Alcantara, K.; Sorby, M.H.; Pistidda, C.; Karimi, F.; Saldan, I.; Hauback, B.C.; Klassen, T.; Dornheim, M. Synchrotron Diffraction Studies of Hydrogen Absorption/Desorption on CaH2 + MgB2 Reactive Hydride Composite Mixed With Fluorinated Compounds. J. Phys. Chem. C 2015, 119, 11430–11437. [Google Scholar] [CrossRef]
- Dematteis, E.M.; Jensen, S.R.; Jensen, T.R.; Baricco, M. Heat capacity and thermodynamic properties of alkali and alkali-earth borohydrides. J. Chem. Thermodyn. 2020, 143, 106055. [Google Scholar] [CrossRef]
- Tomkinson, J.; Waddington, T.C. Inelastic Neutron Scattering from the Alkali Metal Borohydrides and Calcium Borohydride. J. Chem. Soc. Faraday Trans. 2 1976, 72, 528–538. [Google Scholar] [CrossRef]
- Dick, M.J.; Sheridan, P.M.; Wang, J.G.; Bernath, P.F. High resolution laser excitation spectroscopy of the B2E-X2A1 transitions of calcium and strontium monoborohydride. J. Chem. Phys. 2007, 126, 164311. [Google Scholar] [CrossRef]
- Fichtner, M.; Chlopek, K.; Longhini, M.; Hagemann, H. Vibrational spectra of Ca(BH4)2. J. Phys. Chem. C 2008, 112, 11575–11579. [Google Scholar] [CrossRef]
- Reed, D.; Book, D. Recent applications of Raman spectroscopy to the study of complex hydrides for hydrogen storage. Curr. Opin. Solid State Mater. Sci. 2011, 15, 62–72. [Google Scholar] [CrossRef]
- Kumar, S.; Nakajima, K.; Singh, A.; Kojima, Y.; Dey, G.K. Assessment of hydrogen storage property of Ca-Mg-B-H system using NMR and thermal analysis techniques. Int. J. Hydrogen Energy 2017, 42, 26007–26012. [Google Scholar] [CrossRef]
- Hwang, S.J.; Bowman, R.C.; Reiter, J.W.; Rijssenbeek, J.; Soloveichik, G.L.; Zhao, J.C.; Kabbour, H.; Ahn, C.C. NMR confirmation for formation of [B12H12]2− complexes during hydrogen desorption from metal borohydrides. J. Phys. Chem. C 2008, 112, 3164–3169. [Google Scholar] [CrossRef]
- Kim, C. Symmetrized Normal Mode Analysis of the Spin-Lattice Relaxation in Solid Calcium Borohydride. Bull. Korean Chem. Soc. 2021, 42, 792–797. [Google Scholar] [CrossRef]
- Lee, H.S.; Hwang, S.J.; Kim, H.K.; Lee, Y.S.; Park, J.; Yu, J.S.; Cho, Y.W. In Situ NMR Study on the Interaction between LiBH4-Ca(BH4)2 and Mesoporous Scaffolds. J. Phys. Chem. Lett. 2012, 3, 2922–2927. [Google Scholar] [CrossRef]
- Frankcombe, T.J. A comment on “Prediction of crystal structure, lattice dynamical, and mechanical properties of CaB2H2” by Vajeeston et al., Int. J. Hydrogen Energy 36 (2011) 10149–10158. Int. J. Hydrogen Energy 2012, 37, 2709–2710. [Google Scholar] [CrossRef]
- Han, C.L.; Dong, Y.Y.; Wang, B.Q.; Zhang, C.Y. [Ca(BH4)2]n Clusters as Hydrogen Storage Material: A DFT Study. Russ. J. Phys. Chem. A 2016, 90, 1997–2005. [Google Scholar] [CrossRef]
- Hattrick-Simpers, J.R.; Hurst, W.S.; Srinivasan, S.S.; Maslar, J.E. Optical cell for combinatorial in situ Raman spectroscopic measurements of hydrogen storage materials at high pressures and temperatures. Rev. Sci. Instrum. 2011, 82, 033103. [Google Scholar] [CrossRef] [PubMed]
- Miwa, K.; Aoki, M.; Noritake, T.; Ohba, N.; Nakamori, Y.; Towata, S.; Zuttel, A.; Orimo, S. Thermodynamical stability of calcium borohydride Ca(BH4)2. Phys. Rev. B 2006, 74, 155122. [Google Scholar] [CrossRef]
- Nakamori, Y.; Li, H.W.; Kikuchi, K.; Aoki, M.; Miwa, K.; Towata, S.; Orimo, S. Thermodynamical stabilities of metal-borohydrides. J. Alloys Compd. 2007, 446, 296–300. [Google Scholar] [CrossRef]
- Palade, P.; Comanescu, C.; Radu, C. Synthesis of Nickel and Cobalt Ferrite-Doped Graphene as Efficient Catalysts for Improving the Hydrogen Storage Kinetics of Lithium Borohydride. Materials 2023, 16, 427. [Google Scholar] [CrossRef] [PubMed]
- Zhang, Y.S.; Majzoub, E.; Ozolins, V.; Wolverton, C. Theoretical prediction of different decomposition paths for Ca(BH4)2 and Mg(BH4)2. Phys. Rev. B 2010, 82, 174107. [Google Scholar] [CrossRef]
- Kim, K.C.; Kulkarni, A.D.; Johnson, J.K.; Sholl, D.S. Examining the robustness of first-principles calculations for metal hydride reaction thermodynamics by detection of metastable reaction pathways. Phys. Chem. Chem. Phys. 2011, 13, 21520–21529. [Google Scholar] [CrossRef]
- Emdadi, A.; Demir, S.; Kislak, Y.; Tekin, A. Computational Screening of Dual-Cation Metal Ammine Borohydrides by Density Functional Theory. J. Phys. Chem. C 2016, 120, 13340–13350. [Google Scholar] [CrossRef]
- Gu, J.; Gao, M.X.; Wen, L.J.; Huang, J.J.; Liu, Y.F.; Pan, H.G. Improved hydrogen storage properties of combined Ca(BH4)2 and LiBH4 system motivated by addition of LaMg3 assisted with ball milling in H2. Int. J. Hydrogen Energy 2015, 40, 12325–12335. [Google Scholar] [CrossRef]
- Guo, Y.J.; Jia, J.F.; Wang, X.H.; Ren, Y.; Wu, H.S. Prediction of thermodynamically reversible hydrogen storage reactions in the KBH4/M(M = Li, Na, Ca)(BH4)n(n=1,2) system from first-principles calculation. Chem. Phys. 2013, 418, 22–27. [Google Scholar] [CrossRef]
- Guo, Y.J.; Ren, Y.; Wu, H.S.; Jia, J.F. Prediction of thermodynamically reversible hydrogen storage reactions utilizing Ca-M(M = Li, Na, K)-B-H systems: A first-principles study. J. Mol. Model. 2013, 19, 5135–5142. [Google Scholar] [CrossRef]
- Kulkarni, A.D.; Wang, L.L.; Johnson, D.D.; Sholl, D.S.; Johnson, J.K. First-Principles Characterization of Amorphous Phases of MB12H12, M = Mg, Ca. J. Phys. Chem. C 2010, 114, 14601–14605. [Google Scholar] [CrossRef]
- Huang, H.M.; Luo, S.J.; Xiong, Y.C. First principles investigations on the electronic properties of Cr doped α-Ca(BH4)2. Chin. J. Phys. 2017, 55, 870–875. [Google Scholar] [CrossRef]
- Lee, S.H.; Manga, V.R.; Liu, Z.K. Effect of Mg, Ca, and Zn on stability of LiBH4 through computational thermodynamics. Int. J. Hydrogen Energy 2010, 35, 6812–6821. [Google Scholar] [CrossRef]
- Liepinya, D.; Smeu, M. A Computational Comparison of Ether and Ester Electrolyte Stability on a Ca Metal Anode. Energy Mater. Adv. 2021, 2021, 9769347. [Google Scholar] [CrossRef]
- Mikhailin, A.A.; Charkin, D.O.; Klimenko, N.M.; Charkin, O.P. Theoretical study of elementary reactions of dehydrogenation of magnesium, calcium, zinc, and beryllium amminoborate and amminoalanate complexes. Russ. J. Inorg. Chem. 2013, 58, 416–426. [Google Scholar] [CrossRef]
- Zhang, G.Q.; Yang, J.Z.; Fu, H.; Zheng, J.; Li, Y.; Li, X.G. Structural and electronic properties of the hydrogen storage compound Ca(BH4)2 2NH3 from first-principles. Comput. Mater. Sci. 2012, 54, 345–349. [Google Scholar] [CrossRef]
- Siegel, D.J.; Wolverton, C.; Ozolins, V. Thermodynamic guidelines for the prediction of hydrogen storage reactions and their application to destabilized hydride mixtures. Phys. Rev. B 2007, 76, 134102. [Google Scholar] [CrossRef]
- Vajeeston, P.; Ravindran, P.; Fjellvåg, H. A new series of high hydrogen content hydrogen-storage materials—A theoretical prediction. J. Alloys Compd. 2007, 446, 44–47. [Google Scholar] [CrossRef]
- Vajeeston, P.; Ravindran, P.; Fjellvag, H. Reply to “A comment on ‘Prediction of crystal structure, lattice dynamical, and mechanical properties of CaB2H2’ by Vajeeston et al., Int J Hydrogen Energy 36 (2011) 10149–10158” Discussion. Int. J. Hydrogen Energy 2012, 37, 2711–2712. [Google Scholar] [CrossRef]
- Cai, W.T.; Hou, J.M.; Huang, S.Y.; Chen, J.N.; Yang, Y.Z.; Tao, P.J.; Ouyang, L.Z.; Wang, H.; Yang, X.S. Altering the chemical state of boron towards the facile synthesis of LiBH4 via hydrogenating lithium compound-metal boride mixture. Renew. Energy 2019, 134, 235–240. [Google Scholar] [CrossRef]
- Castilla-Martinez, C.A.; Moury, R.; Ould-Amara, S.; Demirci, U.B. Destabilization of Boron-Based Compounds for Hydrogen Storage in the Solid-State: Recent Advances. Energies 2021, 14, 7003. [Google Scholar] [CrossRef]
- Durojaiye, T.; Ibikunle, A.; Goudy, A.J. Hydrogen storage in destabilized borohydride materials. Int. J. Hydrogen Energy 2010, 35, 10329–10333. [Google Scholar] [CrossRef]
- Huang, J.J.; Gao, M.X.; Li, Z.L.; Cheng, X.B.; Gu, J.; Liu, Y.F.; Pan, H.G. Destabilization of combined Ca(BH4)2 and Mg(AlH4)2 for improved hydrogen storage properties. J. Alloys Compd. 2016, 670, 135–143. [Google Scholar] [CrossRef]
- Ibikunle, A.A.; Goudy, A.J. Kinetics and modeling study of a Mg(BH4)2/Ca(BH4)2 destabilized system. Int. J. Hydrogen Energy 2012, 37, 12420–12424. [Google Scholar] [CrossRef]
- Ibikunle, A.A.; Sabitu, S.T.; Goudy, A.J. Kinetics and modeling studies of the CaH2/LiBH4, MgH2/LiBH4, Ca(BH4)2 and Mg(BH4)2 systems. J. Alloys Compd. 2013, 556, 45–50. [Google Scholar] [CrossRef]
- Lai, Q.W.; Aguey-Zinsou, K.F. Destabilisation of Ca(BH4)2 and Mg(BH4)2 via confinement in nanoporous Cu2S hollow spheres. Sustain. Energy Fuels 2017, 1, 1308–1319. [Google Scholar] [CrossRef]
- Mao, J.F.; Guo, Z.P.; Yu, X.B.; Liu, H.K. Improved Hydrogen Storage Properties of NaBH4 Destabilized by CaH2 and Ca(BH4)2. J. Phys. Chem. C 2011, 115, 9283–9290. [Google Scholar] [CrossRef]
- Poonyayant, N.; Stavila, V.; Majzoub, E.H.; Klebanoff, L.E.; Behrens, R.; Angboonpong, N.; Ulutagay-Kartin, M.; Pakawatpanurut, P.; Hecht, E.S.; Breit, J.S. An Investigation into the Hydrogen Storage Characteristics of Ca(BH4)2/LiNH2 and Ca(BH4)2/NaNH2: Evidence of Intramolecular Destabilization. J. Phys. Chem. C 2014, 118, 14759–14769. [Google Scholar] [CrossRef]
- Kim, J.H.; Jin, S.A.; Shim, J.H.; Cho, Y.W. Thermal decomposition behavior of calcium borohydride Ca(BH4)2. J. Alloys Compd. 2008, 461, L20–L22. [Google Scholar] [CrossRef]
- Kim, Y.; Hwang, S.J.; Lee, Y.S.; Suh, J.Y.; Han, H.N.; Cho, Y.W. Hydrogen Back-Pressure Effects on the Dehydrogenation Reactions of Ca(BH4)2. J. Phys. Chem. C 2012, 116, 25715–25720. [Google Scholar] [CrossRef]
- Mao, J.F.; Guo, Z.P.; Poh, C.K.; Ranjbar, A.; Guo, Y.H.; Yu, X.B.; Liu, H.K. Study on the dehydrogenation kinetics and thermodynamics of Ca(BH4)2. J. Alloys Compd. 2010, 500, 200–205. [Google Scholar] [CrossRef]
- Riktor, M.D.; Sorby, M.H.; Chlopek, K.; Fichtner, M.; Hauback, B.C. The identification of a hitherto unknown intermediate phase CaB2Hx from decomposition of Ca(BH4)2. J. Mater. Chem. 2009, 19, 2754–2759. [Google Scholar] [CrossRef]
- Lai, Q.W.; Milanese, C.; Aguey-Zinsou, K.F. Stabilization of Nanosized Borohydrides for Hydrogen Storage: Suppressing the Melting with TiCl3 Doping. ACS Appl. Energy Mater. 2018, 1, 421–430. [Google Scholar] [CrossRef]
- Yan, Y.; Rentsch, D.; Remhof, A. Controllable decomposition of Ca(BH4)2 for reversible hydrogen storage. Phys. Chem. Chem. Phys. 2017, 19, 7788–7792. [Google Scholar] [CrossRef] [PubMed]
- Aoki, M.; Miwa, K.; Noritake, T.; Ohba, N.; Matsumoto, M.; Li, H.W.; Nakamori, Y.; Towata, S.; Orimo, S. Structural and dehydriding properties of Ca(BH4)2. Appl. Phys. A 2008, 92, 601–605. [Google Scholar] [CrossRef]
- George, L.; Drozd, V.; Saxena, S.K.; Bardaji, E.G.; Fichtner, M. High-Pressure Investigation on Calcium Borohydride. J. Phys. Chem. C 2009, 113, 15087–15090. [Google Scholar] [CrossRef]
- Kim, Y.; Reed, D.; Lee, Y.S.; Lee, J.Y.; Shim, J.H.; Book, D.; Cho, Y.W. Identification of the Dehydrogenated Product of Ca(BH4)2. J. Phys. Chem. C 2009, 113, 5865–5871. [Google Scholar] [CrossRef]
- Sahle, C.J.; Sternemann, C.; Giacobbe, C.; Yan, Y.G.; Weis, C.; Harder, M.; Forov, Y.; Spiekermann, G.; Tolan, M.; Krisch, M.; et al. Formation of CaB6 in the thermal decomposition of the hydrogen storage material Ca(BH4)2. Phys. Chem. Chem. Phys. 2016, 18, 19866–19872. [Google Scholar] [CrossRef]
- Ampoumogli, A.; Charalambopoulou, G.; Javadian, P.; Richter, B.; Jensen, T.R.; Steriotis, T. Hydrogen desorption and cycling properties of composites based on mesoporous carbons and a LiBH4-Ca(BH4)2 eutectic mixture. J. Alloys Compd. 2015, 645, S480–S484. [Google Scholar] [CrossRef]
- Ampoumogli, A.; Steriotis, T.; Trikalitis, P.; Bardaji, E.G.; Fichtner, M.; Stubos, A.; Charalambopoulou, G. Synthesis and characterisation of a mesoporous carbon/calcium borohydride nanocomposite for hydrogen storage. Int. J. Hydrogen Energy 2012, 37, 16631–16635. [Google Scholar] [CrossRef]
- Comanescu, C.; Capurso, G.; Maddalena, A. Nanoconfinement in activated mesoporous carbon of calcium borohydride for improved reversible hydrogen storage. Nanotechnology 2012, 23, 385401. [Google Scholar] [CrossRef] [PubMed]
- Gu, J.; Gao, M.X.; Pan, H.G.; Liu, Y.F.; Li, B.; Yang, Y.J.; Liang, C.; Fu, H.L.; Guo, Z.X. Improved hydrogen storage performance of Ca(BH4)2: A synergetic effect of porous morphology and in situ formed TiO2. Eneryg Environ. Sci. 2013, 6, 847–858. [Google Scholar] [CrossRef]
- Hwang, S.J.; Lee, H.S.; To, M.; Lee, Y.S.; Cho, Y.W.; Choi, H.; Kim, C. Probing molecular dynamics of metal borohydrides on the surface of mesoporous scaffolds by multinuclear high resolution solid state NMR. J. Alloys Compd. 2015, 645, S316–S319. [Google Scholar] [CrossRef]
- Javadian, P.; Sheppard, D.A.; Buckley, C.E.; Jensen, T.R. Hydrogen storage properties of nanoconfined LiBH4-Ca(BH4)2. Nano Energy 2015, 11, 96–103. [Google Scholar] [CrossRef]
- Lee, H.S.; Hwang, S.J.; To, M.; Lee, Y.S.; Cho, Y.W. Discovery of Fluidic LiBH4 on Scaffold Surfaces and Its Application for Fast Co-confinement of LiBH4-Ca(BH4)2 into Mesopores. J. Phys. Chem. C 2015, 119, 9025–9035. [Google Scholar] [CrossRef]
- Lee, H.S.; Lee, Y.S.; Suh, J.Y.; Kim, M.; Yu, J.S.; Cho, Y.W. Enhanced Desorption and Absorption Properties of Eutectic LiBH4-Ca(BH4)2 Infiltrated into Mesoporous Carbon. J. Phys. Chem. C 2011, 115, 20027–20035. [Google Scholar] [CrossRef]
- Nale, A.; Pendolino, F.; Maddalena, A.; Colombo, P. Enhanced hydrogen release of metal borohydrides M(BH4)n (M = Li, Na, Mg, Ca) mixed with reduced graphene oxide. Int. J. Hydrogen Energy 2016, 41, 11225–11231. [Google Scholar] [CrossRef]
- Zhai, B.; Xiao, X.; Lin, W.; Huang, X.; Fan, X.; Li, S.; Ge, H.; Wang, Q.; Chen, L. Enhanced hydrogen desorption properties of LiBH4-Ca(BH4)2 by a synergetic effect of nanoconfinement and catalysis. Int. J. Hydrogen Energy 2016, 41, 17462–17470. [Google Scholar] [CrossRef]
- Barkhordarian, G.; Klassen, T.; Dornheim, M.; Bormann, R. Unexpected kinetic effect of MgB2 in reactive hydride composites containing complex borohydrides. J. Alloys Compd. 2007, 440, L18–L21. [Google Scholar] [CrossRef]
- Boynuegri, T.A.; Guru, M. Catalytic dehydrogenation of calcium borohydride by using hydrogel catalyst. Int. J. Hydrogen Energy 2017, 42, 17869–17873. [Google Scholar] [CrossRef]
- Boynuegri, T.A.; Karabulut, A.F.; Guru, M. Synthesis of Borohydride and Catalytic Dehydrogenation by Hydrogel Based Catalyst. J. Electron. Mater. 2016, 45, 3949–3956. [Google Scholar] [CrossRef]
- Chu, H.L.; Qiu, S.J.; Liu, L.; Zou, Y.J.; Xiang, C.L.; Zhang, H.Z.; Xu, F.; Sun, L.X.; Zhou, H.Y.; Wu, G.T. Significantly enhanced dehydrogenation properties of calcium borohydride combined with urea. Dalton Trans. 2014, 43, 15291–15294. [Google Scholar] [CrossRef]
- Chu, H.L.; Qiu, S.; Sun, L.; Wu, G. Improved hydrogen desorption properties of Li-Ca-B-N-H system catalyzed by cobalt containing species. J. Renew. Sustain. Energy 2014, 6, 013105. [Google Scholar] [CrossRef]
- Chu, H.L.; Qiu, S.J.; Zou, Y.J.; Xiang, C.L.; Zhang, H.Z.; Xu, F.; Sun, L.X.; Zhou, H.Y. Improvement on Hydrogen Desorption Performance of Calcium Borohydride Diammoniate Doped with Transition Metal Chlorides. J. Phys. Chem. C 2015, 119, 913–918. [Google Scholar] [CrossRef]
- Gosalawit-Utke, R.; Suarez, K.; Von Colbe, J.M.B.; Bösenberg, U.; Jensen, T.R.; Cerenius, Y.; Minella, C.B.; Pistidda, C.; Barkhordarian, G.; Schulze, M.; et al. Ca(BH4)2-MgF2 reversible hydrogen storage: Reaction mechanisms and kinetic properties. J. Phys. Chem. C 2011, 115, 3762–3768. [Google Scholar] [CrossRef]
- Jansa, I.L.; Friedrichs, O.; Fichtner, M.; Bardají, E.G.; Züttel, A.; Hauback, B.C. Effects of Ball Milling and TiF3 Addition on the Dehydrogenation Temperature of Ca(BH4)2 Polymorphs. Energies 2020, 13, 4828. [Google Scholar] [CrossRef]
- Karimi, F.; Pranzas, P.K.; Pistidda, C.; Puszkiel, J.A.; Milanese, C.; Vainio, U.; Paskevicius, M.; Emmler, T.; Santoru, A.; Utke, R.; et al. Structural and kinetic investigation of the hydride composite Ca(BH4)2 + MgH2 system doped with NbF5 for solid-state hydrogen storage. Phys. Chem. Chem. Phys. 2015, 17, 27328–27342. [Google Scholar] [CrossRef]
- Wang, Z.G.; Hui, Q.; Wang, C.L.; Cheng, N.P. First-principle study of the effects of Nb and Ti doping on the dehydrogenation properties of Ca(BH4)2. Comput. Mater. Sci. 2011, 50, 3114–3118. [Google Scholar] [CrossRef]
- Kim, D.H.; Jo, S.; Kwon, J.; Lee, S.; Eom, K. Effect of iron content on the hydrogen production kinetics of electroless-deposited Co-Ni-Fe-P alloy catalysts from the hydrolysis of sodium borohydride, and a study of its feasibility in a new hydrolysis using magnesium and calcium borohydrides. Int. J. Hydrogen Energy 2019, 44, 15228–15238. [Google Scholar] [CrossRef]
- Lee, J.Y.; Lee, Y.S.; Suh, J.Y.; Shim, J.H.; Cho, Y.W. Metal halide doped metal borohydrides for hydrogen storage: The case of Ca(BH4)2-CaX2 (X = F, Cl) mixture. J. Alloys Compd. 2010, 506, 721–727. [Google Scholar] [CrossRef]
- Li, B.; Liu, Y.F.; Gu, J.; Gao, M.X.; Pan, H.G. Synergetic Effects of In Situ Formed CaH2 and LiBH4 on Hydrogen Storage Properties of the Li-Mg-N-H System. Chem.-Asian J. 2013, 8, 374–384. [Google Scholar] [CrossRef] [PubMed]
- Minella, C.B.; Garroni, S.; Pistidda, C.; Baro, M.D.; Gutfleisch, O.; Klassen, T.; Dornheim, M. Sorption properties and reversibility of Ti(IV) and Nb(V)-fluoride doped—Ca(BH4)2-MgH2 system. J. Alloys Compd. 2015, 622, 989–994. [Google Scholar] [CrossRef]
- Minella, C.B.; Garroni, S.; Pistidda, C.; Gosalawit-Utke, R.; Barkhordarian, G.; Rongeat, C.; Lindemann, I.; Gutfleisch, O.; Jensen, T.R.; Cerenius, Y.; et al. Effect of Transition Metal Fluorides on the Sorption Properties and Reversible Formation of Ca(BH4)2. J. Phys. Chem. C 2011, 115, 2497–2504. [Google Scholar] [CrossRef]
- Minella, C.B.; Pellicer, E.; Rossinyol, E.; Karimi, F.; Pistidda, C.; Garroni, S.; Milanese, C.; Nolis, P.; Baro, M.D.; Gutfleisch, O.; et al. Chemical State, Distribution, and Role of Ti- and Nb-Based Additives on the Ca(BH4)2 System. J. Phys. Chem. C 2013, 117, 4394–4403. [Google Scholar] [CrossRef]
- Mustafa, N.S.; Ismail, M. Significant effect of TiF3 on the performance of 2NaAlH4+Ca(BH4)2 hydrogen storage properties. Int. J. Hydrogen Energy 2019, 44, 21979–21987. [Google Scholar] [CrossRef]
- Pendolino, F. “Boron Effect” on the Thermal Decomposition of Light Metal Borohydrides MBH4 (M = Li, Na, Ca). J. Phys. Chem. C 2012, 116, 1390–1394. [Google Scholar] [CrossRef]
- Pistidda, C.; Karimi, F.; Garroni, S.; Rzeszutek, A.; Minella, C.B.; Milanese, C.; Le, T.T.; Rude, L.H.; Skibsted, J.; Jensen, T.R.; et al. Effect of the Partial Replacement of CaH2 with CaF2 in the Mixed System CaH2 + MgB2. J. Phys. Chem. C 2014, 118, 28409–28417. [Google Scholar] [CrossRef]
- Rongeat, C.; D’Anna, V.; Hagemann, H.; Borgschulte, A.; Zuttel, A.; Schultz, L.; Gutfleisch, O. Effect of additives on the synthesis and reversibility of Ca(BH4)2. J. Alloys Compd. 2010, 493, 281–287. [Google Scholar] [CrossRef]
- Schiavo, B.; Girella, A.; Agresti, F.; Capurso, G.; Milanese, C. Ball-milling and AlB2 addition effects on the hydrogen sorption properties of the CaH2 + MgB2 system. J. Alloys Compd. 2011, 509, S714–S718. [Google Scholar] [CrossRef]
- Amama, P.B.; Spowart, J.E.; Voevodin, A.A.; Fisher, T.S. Modified Magnesium Hydride and Calcium Borohydride for High-Capacity Thermal Energy Storage. In Proceedings of the 8th ASME/JSME Thermal Engineering Joint Conference, Honolulu, HI, USA, 13–17 March 2011; American Society of Mechanical Engineers: Honolulu, HI, USA, 2011; pp. 1617–1623. [Google Scholar] [CrossRef]
- Minella, C.B.; Garroni, S.; Olid, D.; Teixidor, F.; Pistidda, C.; Lindemann, I.; Gutfleisch, O.; Baro, M.D.; Bormann, R.; Klassen, T.; et al. Experimental Evidence of Ca[B12H12] Formation During Decomposition of a Ca(BH4)2 + MgH2 Based Reactive Hydride Composite. J. Phys. Chem. C 2011, 115, 18010–18014. [Google Scholar] [CrossRef]
- Minella, C.B.; Pistidda, C.; Garroni, S.; Nolis, P.; Baro, M.D.; Gutfleisch, O.; Klassen, T.; Bormann, R.; Dornheim, M. Ca(BH4)2 + MgH2: Desorption Reaction and Role of Mg on Its Reversibility. J. Phys. Chem. C 2013, 117, 3846–3852. [Google Scholar] [CrossRef]
- Pinkerton, F.E.; Meyer, M.S. Reversible hydrogen storage in the lithium borohydride—Calcium hydride coupled system. J. Alloys Compd. 2008, 464, L1–L4. [Google Scholar] [CrossRef]
- Li, Y.; Li, P.; Qu, X.H. Investigation on LiBH4-CaH2 composite and its potential for thermal energy storage. Sci. Rep. 2017, 7, srep41754. [Google Scholar] [CrossRef] [PubMed]
- Qiu, S.J.; Chu, H.L.; Zou, Y.J.; Xiang, C.L.; Xu, F.; Sun, L.X. Light metal borohydrides/amides combined hydrogen storage systems: Composition, structure and properties. J. Mater. Chem. A 2017, 5, 25112–25130. [Google Scholar] [CrossRef]
- Yu, X.B.; Yang, Z.X.; Guo, Y.H.; Li, S.G. Thermal decomposition performance of Ca(BH4)2/LiNH2 mixtures. J. Alloys Compd. 2011, 509, S724–S727. [Google Scholar] [CrossRef]
- Chu, H.; Xiong, Z.; Wu, G.; Guo, J.; Zheng, X.; He, T.; Wu, C.; Chen, P. Hydrogen storage properties of Ca(BH4)2-LiNH2 system. Chem. Asian J. 2010, 5, 1594–1599. [Google Scholar] [CrossRef]
- Morelle, F.; Jepsen, L.H.; Jensen, T.R.; Sharma, M.; Hagemann, H.; Filinchuk, Y. Reaction Pathways in Ca(BH4)2-NaNH2 and Mg(BH4)2-NaNH2 Hydrogen-Rich Systems. J. Phys. Chem. C 2016, 120, 8428–8435. [Google Scholar] [CrossRef]
- Chu, H.L.; Xiong, Z.; Wu, G.; Guo, J.; He, T.; Chen, P. Improved dehydrogenation properties of Ca(BH4)2-LiNH2 combined system. Dalton Trans. 2010, 39, 10585–10587. [Google Scholar] [CrossRef]
- Roedern, E.; Jensen, T.R. Thermal Decomposition of Mn(BH4)2-M(BH4)x and Mn(BH4)2-MHx Composites with M = Li, Na, Mg, and Ca. J. Phys. Chem. C 2014, 118, 23567–23574. [Google Scholar] [CrossRef]
- Bergemann, N.; Pistidda, C.; Milanese, C.; Aramini, M.; Huotari, S.; Nolis, P.; Santoru, A.; Chierotti, M.R.; Chaudhary, A.L.; Baro, M.D.; et al. A hydride composite featuring mutual destabilisation and reversible boron exchange: Ca(BH4)2-Mg2NiH4. J. Mater. Chem. A 2018, 6, 17929–17946. [Google Scholar] [CrossRef]
- Chu, H.L.; Wu, G.T.; Zhang, Y.; Xiong, Z.T.; Guo, J.P.; He, T.; Chen, P. Improved Dehydrogenation Properties of Calcium Borohydride Combined with Alkaline-Earth Metal Amides. J. Phys. Chem. C 2011, 115, 18035–18041. [Google Scholar] [CrossRef]
- Dematteis, E.M.; Baricco, M. Hydrogen Desorption in Mg(BH4)2-Ca(BH4)2 System. Energies 2019, 12, 3230. [Google Scholar] [CrossRef]
- Dematteis, E.M.; Pistidda, C.; Dornheim, M.; Baricco, M. Exploring Ternary and Quaternary Mixtures in the LiBH4-NaBH4-KBH4-Mg(BH4)2-Ca(BH4)2 System. Chemphyschem 2019, 20, 1348–1359. [Google Scholar] [CrossRef] [PubMed]
- Dematteis, E.M.; Santoru, A.; Poletti, M.G.; Pistidda, C.; Klassen, T.; Dornheim, M.; Baricco, M. Phase stability and hydrogen desorption in a quinary equimolar mixture of light-metals borohydrides. Int. J. Hydrogen Energy 2018, 43, 16793–16803. [Google Scholar] [CrossRef]
- Javadian, P.; GharibDoust, S.P.; Li, H.W.; Sheppard, D.A.; Buckley, C.E.; Jensen, T.R. Reversibility of LiBH4 Facilitated by the LiBH4-Ca(BH4)2 Eutectic. J. Phys. Chem. C 2017, 121, 18439–18449. [Google Scholar] [CrossRef]
- Paskevicius, M.; Ley, M.B.; Sheppard, D.A.; Jensen, T.R.; Buckley, C.E. Eutectic melting in metal borohydrides. Phys. Chem. Chem. Phys. 2013, 15, 19774–19789. [Google Scholar] [CrossRef] [PubMed]
- Li, B.; Liu, Y.F.; Gu, J.; Gu, Y.J.; Gao, M.X.; Pan, H.G. Mechanistic investigations on significantly improved hydrogen storage performance of the Ca(BH4)2-added 2LiNH2/MgH2 system. Int. J. Hydrogen Energy 2013, 38, 5030–5038. [Google Scholar] [CrossRef]
- Meggouh, M.; Grant, D.M.; Deavin, O.; Brunelli, M.; Hansen, T.C.; Walker, G.S. Investigation of the dehydrogenation behavior of the 2LiBH4:CaNi5 multicomponent hydride system. Int. J. Hydrogen Energy 2015, 40, 2989–2996. [Google Scholar] [CrossRef]
- Moller, K.T.; Grinderslev, J.B.; Jensen, T.R. A NaAlH4-Ca(BH4)2 composite system for hydrogen storage. J. Alloys Compd. 2017, 720, 497–501. [Google Scholar] [CrossRef]
- Mustafa, N.S.; Yap, F.A.H.; Yahya, M.S.; Ismail, M. The hydrogen storage properties and reaction mechanism of the NaAlH4 + Ca(BH4)2 composite system. Int. J. Hydrogen Energy 2018, 43, 11132–11140. [Google Scholar] [CrossRef]
- Gao, M.; Gu, J.; Pan, H.; Wang, Y.; Liu, Y.; Liang, C.; Guo, Z. Ca(BH4)2-LiBH4-MgH2: A novel ternary hydrogen storage system with superior long-term cycling performance. J. Mater. Chem. A 2013, 1, 12285–12292. [Google Scholar] [CrossRef]
- Gonzalez-Silveira, M.; Gremaud, R.; Schreuders, H.; van Setten, M.J.; Batyrev, E.; Rougier, A.; Dupont, L.; Bardaji, E.G.; Lohstroh, W.; Dam, B. In-Situ Deposition of Alkali and Alkaline Earth Hydride Thin Films To Investigate the Formation of Reactive Hydride Composites. J. Phys. Chem. C 2010, 114, 13895–13901. [Google Scholar] [CrossRef]
- Grube, E.; Jensen, S.R.H.; Nielsen, U.G.; Jensen, T.R. Reactivity of magnesium borohydride—Metal hydride composites, gamma-Mg(BH4)2-MHx, M = Li, Na, Mg, Ca. J. Alloys Compd. 2019, 770, 1155–1163. [Google Scholar] [CrossRef]
- Kim, J.M.; Kim, Y.; Shim, J.H.; Lee, Y.S.; Suh, J.Y.; Ahn, J.P.; Kim, G.H.; Cho, Y.W. Microstructural Analysis of Dehydrogenation Products of the Ca(BH4)2-MgH2 Composite. Microsc. Microanal. 2013, 19, 149–151. [Google Scholar] [CrossRef] [PubMed]
- Lee, J.Y.; Ravnsbaek, D.; Lee, Y.S.; Kim, Y.; Cerenius, Y.; Shim, J.H.; Jensen, T.R.; Hur, N.H.; Cho, Y.W. Decomposition Reactions and Reversibility of the LiBH4-Ca(BH4)2 Composite. J. Phys. Chem. C 2009, 113, 15080–15086. [Google Scholar] [CrossRef]
- Yan, Y.G.; Remhof, A.; Mauron, P.; Rentsch, D.; Lodziana, Z.; Lee, Y.S.; Lee, H.S.; Cho, Y.W.; Zuttel, A. Controlling the Dehydrogenation Reaction toward Reversibility of the LiBH4-Ca(BH4)2 Eutectic System. J. Phys. Chem. C 2013, 117, 8878–8886. [Google Scholar] [CrossRef]
- Ley, M.B.; Roedern, E.; Thygesen, P.M.M.; Jensen, T.R. Melting Behavior and Thermolysis of NaBH4-Mg(BH4)2 and NaBH4-Ca(BH4)2 Composites. Energies 2015, 8, 2701–2713. [Google Scholar] [CrossRef]
- Tang, Z.W.; Guo, Y.H.; Li, S.F.; Yu, X.B. Low-Temperature Hydrogen Generation and Ammonia Suppression from Calcium Borohydride Combined with Guanidinium Borohydride. J. Phys. Chem. C 2011, 115, 3188–3193. [Google Scholar] [CrossRef]
- Alcantara, K.S.; Boesenberg, U.; Zavorotynska, O.; von Colbe, J.B.; Taube, K.; Baricco, M.; Klassen, T.; Dornheim, M. Sorption and desorption properties of a CaH2/MgB2/CaF2 reactive hydride composite as potential hydrogen storage material. J. Solid State Chem. 2011, 184, 3104–3109. [Google Scholar] [CrossRef]
- Alcantara, K.S.; Ramallo-Lopez, J.M.; Boesenberg, U.; Saldan, I.; Pistidda, C.; Requejo, F.G.; Jensen, T.; Cerenius, Y.; Sorby, M.; Avila, J.; et al. 3CaH2 + 4MgB2 + CaF2 Reactive Hydride Composite as a Potential Hydrogen Storage Material: Hydrogenation and Dehydrogenation Pathway. J. Phys. Chem. C 2012, 116, 7207–7212. [Google Scholar] [CrossRef]
- Chaudhary, A.L.; Li, G.Q.; Matsuo, M.; Orimo, S.; Deledda, S.; Sorby, M.H.; Hauback, B.C.; Pistidda, C.; Klassen, T.; Dornheim, M. Simultaneous desorption behavior of M borohydrides and Mg2FeH6 reactive hydride composites (M = Mg, then Li, Na, K, Ca). Appl. Phys. Lett. 2015, 107, 073905. [Google Scholar] [CrossRef]
- Dematteis, E.M.; Vaunois, S.; Pistidda, C.; Dornheim, M.; Baricco, M. Reactive Hydride Composite of Mg2NiH4 with Borohydrides Eutectic Mixtures. Crystals 2018, 8, 90. [Google Scholar] [CrossRef]
- Arumugam, S.; Angamuthu, A.; Gopalan, P. Molecular Insights on the Dihydrogen Bond Properties of Metal Borohydride Complexes upon Ammoniation. ECS J. Solid State Sci. Technol. 2021, 10, 091006. [Google Scholar] [CrossRef]
- Kiruthika, S.; Ravindran, P. Chemical Bonding Analysis on Amphoteric Hydrogen-Alkaline Earth Ammine Borohydrides. In Proceedings of the 62nd DAE Solid State Physics Symposium, Mumbai, India, 26–30 December 2017; American Institute of Physics: Mumbai, India, 2017. [Google Scholar] [CrossRef]
- Wang, K.; Zhang, J.G.; Jiao, J.S.; Zhang, T.L.; Zhou, Z.N. A First-Principles Study: Structure and Decomposition of Mono-/Bimetallic Ammine Borohydrides. J. Phys. Chem. C 2014, 118, 8271–8279. [Google Scholar] [CrossRef]
- Chen, X.W.; Yu, X.B. Electronic Structure and Initial Dehydrogenation Mechanism of M(BH4)2∙2NH3 (M = Mg, Ca, and Zn): A First-Principles Investigation. J. Phys. Chem. C 2012, 116, 11900–11906. [Google Scholar] [CrossRef]
- Yuan, P.-F.; Wang, F.; Sun, Q.; Jia, Y.; Guo, Z.-X. Structural, energetic and thermodynamic analyses of Ca(BH4)2∙2NH3 from first principles calculations. J. Solid State Chem. 2012, 185, 206–212. [Google Scholar] [CrossRef]
- Chen, X.W.; Yuan, F.; Tan, Y.B.; Tang, Z.W.; Yu, X.B. Improved Dehydrogenation Properties of Ca(BH4)2·nNH3 (n = 1, 2, and 4) Combined with Mg(BH4)2. J. Phys. Chem. C 2012, 116, 21162–21168. [Google Scholar] [CrossRef]
- Lobkovskii, E.B.; Chekhlov, A.N.; Levicheva, M.D.; Titov, L.V. Crystalline and molecular-structure of calcium borohydride complex with dimethyl ether of diethyleneglycole-Ca(BH4)2 2DG. Koord. Khimiya 1988, 14, 543–550. [Google Scholar]
- Titov, L.V.; Petrovskii, P.V. Synthesis and Some Properties of Calcium Tetradecahydroundecaborate Ca(B11H14)2·4Dg (Dg = Diglyme). Russ. J. Inorg. Chem. 2011, 56, 1032–1033. [Google Scholar] [CrossRef]
- Chu, H.L.; Wu, G.T.; Xiong, Z.T.; Guo, J.P.; He, T.; Chen, P. Structure and Hydrogen Storage Properties of Calcium Borohydride Diammoniate. Chem. Mater. 2010, 22, 6021–6028. [Google Scholar] [CrossRef]
- Huang, Z.N.; Wang, Y.Q.; Zheng, L.; Wang, D.; Yang, F.S.; Wu, Z.; Wu, L.; Zhang, Z.X. Decomposition mechanisms and the role of transition metal impurities in the kinetics of Ca(BH4)2∙2NH3. Int. J. Hydrogen Energy 2020, 45, 2999–3007. [Google Scholar] [CrossRef]
- Tang, Z.W.; Tan, Y.B.; Gu, Q.F.; Yu, X.B. A novel aided-cation strategy to advance the dehydrogenation of calcium borohydride monoammoniate. J. Mater. Chem. 2012, 22, 5312–5318. [Google Scholar] [CrossRef]
- Li, Z.; He, T.; Wu, G.T.; Ju, X.H.; Chen, P. The synthesis, structure and dehydrogenation of calcium borohydride hydrazinates. Int. J. Hydrogen Energy 2015, 40, 5333–5339. [Google Scholar] [CrossRef]
- Wu, H.; Zhou, W.; Pinkerton, F.E.; Meyer, M.S.; Srinivas, G.; Yildirim, T.; Udovic, T.J.; Rush, J.J. A new family of metal borohydride ammonia borane complexes: Synthesis, structures, and hydrogen storage properties. J. Mater. Chem. 2010, 20, 6550–6556. [Google Scholar] [CrossRef]
- Wu, H.; Zhou, X.Q.; Rodriguez, E.E.; Zhou, W.; Udovic, T.J.; Yildirim, T.; Rush, J.J. A new family of metal borohydride guanidinate complexes: Synthesis, structures and hydrogen-storage properties. J. Solid State Chem. 2016, 242, 186–192. [Google Scholar] [CrossRef]
- Kim, Y.; Reed, D.; Lee, Y.S.; Shim, J.H.; Han, H.N.; Book, D.; Cho, Y.W. Hydrogenation reaction of CaH2-CaB6-Mg mixture. J. Alloys Compd. 2010, 492, 597–600. [Google Scholar] [CrossRef]
- Li, H.W.; Akiba, E.; Orimo, S. Comparative study on the reversibility of pure metal borohydrides. J. Alloys Compd. 2013, 580, S292–S295. [Google Scholar] [CrossRef]
- Riktor, M.D.; Sorby, M.H.; Muller, J.; Bardaji, E.G.; Fichtner, M.; Hauback, B.C. On the rehydrogenation of decomposed Ca(BH4)2. J. Alloys Compd. 2015, 632, 800–804. [Google Scholar] [CrossRef]
- Li, Y.; Li, P.; Tan, Q.W.; Zhang, Z.L.; Wan, Q.; Liu, Z.W.; Subramanian, A.; Qu, X.H. Thermal properties and cycling performance of Ca(BH4)2/MgH2 composite for energy storage. Chem. Phys. Lett. 2018, 700, 44–49. [Google Scholar] [CrossRef]
- Bergemann, N.; Pistidda, C.; Milanese, C.; Emmler, T.; Karimi, F.; Chaudhary, A.L.; Chierotti, M.R.; Klassen, T.; Dornheim, M. Ca(BH4)2-Mg2NiH4: On the pathway to a Ca(BH4)2 system with a reversible hydrogen cycle. Chem. Commun. 2016, 52, 4836–4839. [Google Scholar] [CrossRef]
- Kim, Y.; Hwang, S.J.; Shim, J.H.; Lee, Y.S.; Han, H.N.; Cho, Y.W. Investigation of the Dehydrogenation Reaction Pathway of Ca(BH4)2 and Reversibility of Intermediate Phases. J. Phys. Chem. C 2012, 116, 4330–4334. [Google Scholar] [CrossRef]
- Ozolins, V.; Majzoub, E.H.; Wolverton, C. First-Principles Prediction of Thermodynamically Reversible Hydrogen Storage Reactions in the Li-Mg-Ca-B-H System. J. Am. Chem. Soc. 2009, 131, 230–237. [Google Scholar] [CrossRef] [PubMed]
- Wang, L.L.; Graham, D.D.; Robertson, I.M.; Johnson, D.D. On the Reversibility of Hydrogen-Storage Reactions in Ca(BH4)2: Characterization via Experiment and Theory. J. Phys. Chem. C 2009, 113, 20088–20096. [Google Scholar] [CrossRef]
- Kim, J.H.; Jin, S.A.; Shim, J.H.; Cho, Y.W. Reversible hydrogen storage in calcium borohydride Ca(BH4)2. Scr. Mater. 2008, 58, 481–483. [Google Scholar] [CrossRef]
- Kim, J.H.; Shim, J.H.; Cho, Y.W. On the reversibility of hydrogen storage in Ti- and Nb-catalyzed Ca(BH4)2. J. Power Sources 2008, 181, 140–143. [Google Scholar] [CrossRef]
- Liu, D.M.; Gao, C.; Qian, Z.X.; Si, T.Z.; Zhang, Q.A. Reversible hydrogen storage in LiBH4/Ca(AlH4)2 systems. Int. J. Hydrogen Energy 2013, 38, 3291–3296. [Google Scholar] [CrossRef]
- Yan, Y.; Remhof, A.; Rentsch, D.; Züttel, A.; Giri, S.; Jena, P. A novel strategy for reversible hydrogen storage in Ca(BH4)2. Chem. Commun. 2015, 51, 11008–11011. [Google Scholar] [CrossRef]
- Didelot, E.; Cerny, R. Ionic conduction in bimetallic borohydride borate, LiCa3(BH4)(BO3)2. Solid State Ion. 2017, 305, 16–22. [Google Scholar] [CrossRef]
- Hahn, N.T.; Self, J.; Han, K.S.; Murugesan, V.; Mueller, K.T.; Persson, K.A.; Zavadil, K.R. Quantifying Species Populations in Multivalent Borohydride Electrolytes. J. Phys. Chem. B 2021, 125, 3644–3652. [Google Scholar] [CrossRef]
- Hahn, N.T.; Self, J.; Seguin, T.J.; Driscoll, D.M.; Rodriguez, M.A.; Balasubramanian, M.; Persson, K.A.; Zavadil, K.R. The critical role of configurational flexibility in facilitating reversible reactive metal deposition from borohydride solutions. J. Mater. Chem. A 2020, 8, 7235–7244. [Google Scholar] [CrossRef]
- Melemed, A.M.; Skiba, D.A.; Gallant, B.M. Toggling Calcium Plating Activity and Reversibility through Modulation of Ca2+ Speciation in Borohydride-Based Electrolytes. J. Phys. Chem. C 2022, 126, 892–902. [Google Scholar] [CrossRef] [PubMed]
- Mezaki, T.; Kuronuma, Y.; Oikawa, I.; Kamegawa, A.; Takamura, H. Li-Ion Conductivity and Phase Stability of Ca-Doped LiBH4 under High Pressure. Inorg Chem 2016, 55, 10484–10489. [Google Scholar] [CrossRef] [PubMed]
- Sveinbjornsson, D.; Blanchard, D.; Myrdal, J.S.G.; Younesi, R.; Viskinde, R.; Riktor, M.D.; Norby, P.; Vegge, T. Ionic conductivity and the formation of cubic CaH2 in the LiBH4-Ca(BH4)2 composite. J. Solid State Chem. 2014, 211, 81–89. [Google Scholar] [CrossRef]
- Yang, F.; Feng, X.; Zhuo, Z.; Vallez, L.; Liu, Y.-S.; McClary, S.A.; Hahn, N.T.; Glans, P.-A.; Zavadil, K.R.; Guo, J. Ca2+ Solvation and Electrochemical Solid/Electrolyte Interphase Formation toward the Multivalent-Ion Batteries. Arab. J. Sci. Eng. 2023, 48, 7243–7262. [Google Scholar] [CrossRef]
- Yang, J.; Jiao, Y.; Han, Y.-H.; Li, J. Pressure-Induced Metallization and Electrical Phase Diagram for Polycrystalline CaB6 under High Pressure and Low Temperature. Chin. Phys. Lett. 2016, 33, 086201. [Google Scholar] [CrossRef]
- Di Cataldo, S.; Boeri, L. Metal borohydrides as ambient-pressure high-Tc superconductors. Phys. Rev. B 2023, 107, L060501. [Google Scholar] [CrossRef]
- Yang, W.-H.; Lu, W.-C.; Qin, W.; Sun, H.-J.; Xue, X.-Y.; Ho, K.M.; Wang, C.Z. Pressure-induced superconductivity in the hydrogen-rich pseudobinary CaB-Hn compounds. Phys. Rev. B 2021, 104, 174106. [Google Scholar] [CrossRef]
- Kuzdrowska, M.; Annunziata, L.; Marks, S.; Schmid, M.; Jaffredo, C.G.; Roesky, P.W.; Guillaume, S.M.; Maron, L. Organometallic calcium and strontium borohydrides as initiators for the polymerization of epsilon-caprolactone and L-lactide: Combined experimental and computational investigations. Dalton Trans. 2013, 42, 9352–9360. [Google Scholar] [CrossRef]
- Daugan, A.; Brown, E. Lignanes, 11. Preparation of (R)-(+)-Beta-Vanyllyl-Gamma-Butyrolactone and Its Use in Total Synthesis of Natural Lignanes. J. Nat. Prod. 1991, 54, 110–118. [Google Scholar] [CrossRef]
- Matsui, M.; Miyano, M.; Tomita, K. Calcium Borohydride Reduction of Beta-Ketoesters. Bull. Agric. Chem. Soc. Jpn. 1956, 20, 139–140. [Google Scholar] [CrossRef]
- Narasimhan, S.; Prasad, K.G.; Madhavan, S. Calcium Borohydride—A Reagent for Facile Conversion of Carboxylic Esters to Alcohols and Aldehydes. Synth. Commun. 1995, 25, 1689–1697. [Google Scholar] [CrossRef]
- Narasimhan, S.; Prasad, K.G.; Madhavan, S. Remarkable Regioselective Hydroboration of Terminal Alkenes by Calcium Borohydride. Tetrahedron Lett. 1995, 36, 1141–1144. [Google Scholar] [CrossRef]
- Narasimhan, S.; Prasad, K.G.; Prasanna, R. Alkene-catalyzed reductions of esters by calcium borohydride. ChemInform 1993, 24, 102. [Google Scholar] [CrossRef]
- Firouzabadi, H.; Tamami, B.; Kiasat, A.R. Efficient reduction of aryl azides and aryl nitro compounds to their corresponding amines with sulfurated calcium borohydride Ca(BH2S3)2. A new modified borohydride agent. Synth. Commun. 2000, 30, 587–596. [Google Scholar] [CrossRef]
- Firouzabadi, H.; Tamami, B.; Kiasat, A.R. Efficient reduction of organic compounds with sulfurated calcium borohydride Ca(S3BH2)2, a new and stable modified borohydride reagent. Phosphorus Sulfur Silicon Relat. Elem. 2000, 159, 99–108. [Google Scholar] [CrossRef]
- Hallouis, S.; Saluzzo, C.; Amouroux, R. Grignard reagent/borohydride combinations alkylation/reduction of esters. Synth. Commun. 2000, 30, 313–324. [Google Scholar] [CrossRef]
- Xu, W.L.; Wang, R.M.; Wu, G.T.; Chen, P. Calcium amidoborane, a new reagent for chemoselective reduction of alpha, beta-unsaturated aldehydes and ketones to allylic alcohols. Rsc Adv. 2012, 2, 6005–6010. [Google Scholar] [CrossRef]
- Barrett, A.G.M.; Crimmin, M.R.; Hill, M.S.; Hitchcock, P.B.; Procopiou, P.A. Reactions of beta-diketiminate-stabilized calcium amides with 9-borabicyclo [3.3.1] nonane (9-BBN). Organometallics 2007, 26, 4076–4079. [Google Scholar] [CrossRef]
- Bellham, P.; Hill, M.S.; Kociok-Kohn, G. Stoichiometric and Catalytic Reactivity of tert-Butylamine Borane with Calcium Silylamides. Organometallics 2014, 33, 5716–5721. [Google Scholar] [CrossRef]
- Bonnet, F.; Stoffelbach, F.; Fontaine, G.; Bourbigot, S. Continuous cyclo-polymerisation of L-lactide by reactive extrusion using atoxic metal-based catalysts: Easy access to well-defined polylactide macrocycles. RSC Adv. 2015, 5, 31303–31310. [Google Scholar] [CrossRef]
- Collins, R.A.; Unruangsri, J.; Mountford, P. Synthesis and rac-lactide ring-opening polymerisation studies of new alkaline earth tetrahydroborate complexes. Dalton Trans. 2013, 42, 759–769. [Google Scholar] [CrossRef] [PubMed]
- Cushion, M.G.; Mountford, P. Cationic and charge-neutral calcium tetrahydroborate complexes and their use in the controlled ring-opening polymerisation of rac-lactide. Chem. Commun. 2011, 47, 2276–2278. [Google Scholar] [CrossRef] [PubMed]
- Borisov, A.P.; Makhaev, V.D. Preparation of calcium cyclopentadienyl complexes using calcium borohydride. Russ. Chem. Bull. 1993, 42, 339–340. [Google Scholar] [CrossRef]
- Chakrabarti, N.; Quinlivan, P.J.; Parkin, G. Synthesis and Structural Characterization of [BmMeBenz)2Ca(THF)2: Ca⋯H-B interactions in a Sulfur-Rich Coordination Environment. J. Mex. Chem. Soc. 2017, 61, 90–96. [Google Scholar] [CrossRef]
- Erickson, K.A.; Scott, B.L.; Kiplinger, J.L. Ca(BH4)2 as a simple tool for the preparation of thorium and uranium metallocene borohydride complexes: First synthesis and crystal structure of (C5Me5)2Th(η3-H3BH)2. Inorg. Chem. Commun. 2017, 77, 44–46. [Google Scholar] [CrossRef]
- Furtat, P.; Lenz-Leite, M.; Ionescu, E.; Machado, R.A.F.; Motz, G. Synthesis of fluorine-modified polysilazanes via Si-H bond activation and their application as protective hydrophobic coatings. J. Mater. Chem. A 2017, 5, 25509–25521. [Google Scholar] [CrossRef]
- Comanescu, C. Graphene Supports for Metal Hydride and Energy Storage Applications. Crystals 2023, 13, 878. [Google Scholar] [CrossRef]












| Metal Borohydride | Decomposition Temperature (°C) | Rehydrogenation Temperature (°C) | Space Group | Crystal System | Ref. |
|---|---|---|---|---|---|
| α-Ca(BH4)2 | 347–387 °C, 397–497 °C (2-step) | RT stable | Fddd or F2dd | Orthorhombic | [32,35,36] |
| β-Ca(BH4)2 | α β-Ca(BH4)2; 330–400 °C | RT, metastable, HT polymorph | P42/m or P | Tetragonal | [33,36] |
| α’-Ca(BH4)2 | - | - | I2d | Tetragonal | [35] |
| γ-Ca(BD4)2 | - | - | Pbca | Orthorhombic | [30,31] |
| CaB12H12 | - | - | C2/c | Monoclinic | [37] |
| Ca-Based Storage Material | Nanoscaffold Used | wt% H2 Storage Performance | Obs. (Reversibility, Catalyst) | Ref. |
|---|---|---|---|---|
| Ca(BH4)2 in CMK-3/Ca(BH4)2/TiCl3 | CMK-3 with SBET = 1320 m2/g, Vp = 1.48 cm3/g (wet impregnation from NH3 liq. solution to 70% pore filling) | H2 release onset at 150 °C | TiCl3 as catalyst (1:0.05 molar) | [110] |
| Ca(BH4)2 in Ca.(BH4)2=MC-a | MC-a (activated mesoporous carbon 1780 m2/g, 1.01 cm3/g); incipient wetness method | 2.4 (reversible after 18 cycles) | Desorption onset at ~100 °C | [111] |
| Ca(BH4)2 in Ca.(BH4)2=MCM–41 | MCM–41 (2.4 nm) and fumed silica (7 nm); wet infiltration | – | 1H and 11B VT MAS NMR technique | [113] |
| Ca(BH4)2 in Ca.(BH4)2=rGO | Graphite and rGO (reduced graphene oxide); ball milling | 6.5% | a 50 °C reduction in decomposition onset (220°, graphite; 170 °C, rGO) | [117] |
| 0.7 Li(BH4)2-0.3 Ca(BH4)2 (eutectic mixture); ball milling (120 min, BPR 1:18) | CMK–3 mesoporous carbon (5 nm), ASM carbon (20–30 nm), and CD (non-porous carbon disks 20–50 nm thick, 0.8–3 µm diameter) | 3.96 (CMK-3), 4.88 (ASM), 6.07 (CD) | Kinetic improvements when pore size ~5 nm, synergically coupled with a catalytic effect | [109] |
| 0.7 Li(BH4)2-0.3 Ca(BH4)2 (eutectic mixture) | Two resorcinol-formaldehyde carbon aerogel scaffolds (pristine CA 689 m2/g, CO2-activated CA–6, 2660 m2/g); 60 vol.% pore filling; melt infiltration method | Up to 12.08 % pristine (7.71% CA–6, 3.36% CA) | Reduced EA from 204bulk to 156CA and 130CA-6 kJ/mol | [114] |
| CaB2H7/0.1TiO2,nano via Ca(BH4)2 + Ti(Oet)4 | Porous Ca-based hydride with in situ TiO2 catalyst | 6.2 % (300–420 °C, 1 h) | Recharge at 350 °C, 90 bar H2, 1 h | [112] |
| 0.68LiBH4–0.32Ca(BH4)2 in LiBH4–Ca(BH4)2–NbF5@CMK-3 composite | Catalyzed mesoporous carbon host, NbF5@CMK-3 | 13.3% (250 min) vs. 10.4% (pristine RHC) | Desorption onset reduced by 120 °C compared to pristine | [37] |
| Ca-Based Storage Material | Synthesis Method | wt% H2 Storage Performance | Obs. (Reversibility, Catalyst) | Ref. |
|---|---|---|---|---|
| 3CaH2 + 4MgB2 + CaF2 | Ball milling in a Spex mill (87 h in total) | 7.0 % | Ca(BH4)2 and MgH2 formed after hydrogenation; EA = 116 75 kJ mol−1 H2 after cycling | [170,171] |
| Ca(BH4)2 + MgH2 | Ball milling; TiF4/NbF5 catalysts | 10.5% | 60% reversibility (350 °C, 90 bar H2) | [165] |
| Ca(BH4)2-3LiNH2 | Ball milling | 7.2% | 300 °C, 3 h; desorption onset at 200 °C | [146,149] |
| Ca(BH4)2-4LiNH2 | Liquid ball milling | 8.86 % | NH3 evolution is restrained | [53] |
| Ca(BH4)2-4LiNH2 | Ball milling | 8% (288 °C) | 5 wt% CoCl2 additive lowers onset to 178 °C | [147] |
| Ca(BH4)2-xNaNH2 (x = 1,2,3) | Hand grinding | 7.5–9% (NH3 + H2) | Metathesis at 100–150 °C to Ca(BH4)(NH2); NH3 release (t < 300 °C) and H2 (t > 350 °C) | [148,161] |
| Ca(BH4)2–Mg2NiH4 | Fritsch Planetary P6 milling | 4.6% | Mutual destabilization; formation of MgNi2.5B2 | [151] |
| Ca(BH4)2–6Mg2FeH6 | Ball milling | - | Desorption onsets at 310 °C (vs. 350 °C for pristine Ca(BH4)2) | [172] |
| Mg2NiH4-LiBH4-Ca(BH4)2 | Ball milling | - | MgNi2.5B2, Mg, and Mg2NiH0.3 as intermediates | [173] |
| Ca(BH4)2–2Mg(NH2)2 and Ca(BH4)2–2Ca(NH2)2 | Ball milling (Retsch PM400 planetary ball mill, 200 rpm, 5 h, Ar) | 8.3%, resp. 6.8% | Desorption onsets at 220 °C | [152] |
| Mg(BH4)2–Ca(BH4)2 (1:2, 1:1, 2:1) | Fritsch Pulverisette 6 planetary milling | - | Partial reversibility reported only for 2Mg(BH4)2–Ca(BH4)2 | [94,153] |
| NaAlH4–Ca(BH4)2 | Fritsch Pulverisette 6, WC vials and balls, BPR 40 | 6% | Ca(AlH4)2 was partially stable (10 months), yielding Al and CaH2 | [160] |
| 2NaAlH4 + Ca(BH4)2 (+5 wt% TiF3 catalyst) | Ball milling (6 h) | 4.1 wt% (at 420 °C) | TiF3 doping reduced release onset from 125 °C (pristine) to 60 °C; Al3Ti, CaF2 intermediates (also catalysts) | [135,161] |
| Ca(BH4)2/ [C(NH2)3]+[BH4]− (GBH) | Ball milling | 10% | Onset at 60 °C, full release below 300 °C (GBH = guanidinium borohydride) | [169] |
Disclaimer/Publisher’s Note: The statements, opinions and data contained in all publications are solely those of the individual author(s) and contributor(s) and not of MDPI and/or the editor(s). MDPI and/or the editor(s) disclaim responsibility for any injury to people or property resulting from any ideas, methods, instructions or products referred to in the content. |
© 2023 by the author. Licensee MDPI, Basel, Switzerland. This article is an open access article distributed under the terms and conditions of the Creative Commons Attribution (CC BY) license (https://creativecommons.org/licenses/by/4.0/).
Share and Cite
Comanescu, C. Calcium Borohydride Ca(BH4)2: Fundamentals, Prediction and Probing for High-Capacity Energy Storage Applications, Organic Synthesis and Catalysis. Energies 2023, 16, 4536. https://doi.org/10.3390/en16114536
Comanescu C. Calcium Borohydride Ca(BH4)2: Fundamentals, Prediction and Probing for High-Capacity Energy Storage Applications, Organic Synthesis and Catalysis. Energies. 2023; 16(11):4536. https://doi.org/10.3390/en16114536
Chicago/Turabian StyleComanescu, Cezar. 2023. "Calcium Borohydride Ca(BH4)2: Fundamentals, Prediction and Probing for High-Capacity Energy Storage Applications, Organic Synthesis and Catalysis" Energies 16, no. 11: 4536. https://doi.org/10.3390/en16114536
APA StyleComanescu, C. (2023). Calcium Borohydride Ca(BH4)2: Fundamentals, Prediction and Probing for High-Capacity Energy Storage Applications, Organic Synthesis and Catalysis. Energies, 16(11), 4536. https://doi.org/10.3390/en16114536

