Experimental Development of the Horizontal Drain Water Heat Recovery Unit
Abstract
1. Introduction
2. Materials and Methods
2.1. Characteristics of the Horizontal Drain Water Heat Recovery Unit
2.2. Geometry of Baffles
2.2.1. Preliminary Baffle Models
2.2.2. Modified Baffle Models
2.3. Effectiveness Assessment of the DWHR Unit
2.4. Assessment of Potential Benefits of Equipping the DWHR Unit with Baffles
3. Results
3.1. Assessment of the Effectiveness of the Horizontal DWHR Unit without Baffles
3.2. Evaluation of the Effectiveness of the DWHR Unit Equipped with Baffles
3.2.1. Preliminary Baffle Models
3.2.2. Modified Baffle Models
3.3. Evaluation of the Potential Benefits of the DWHR Unit and Its Equipping with Baffles
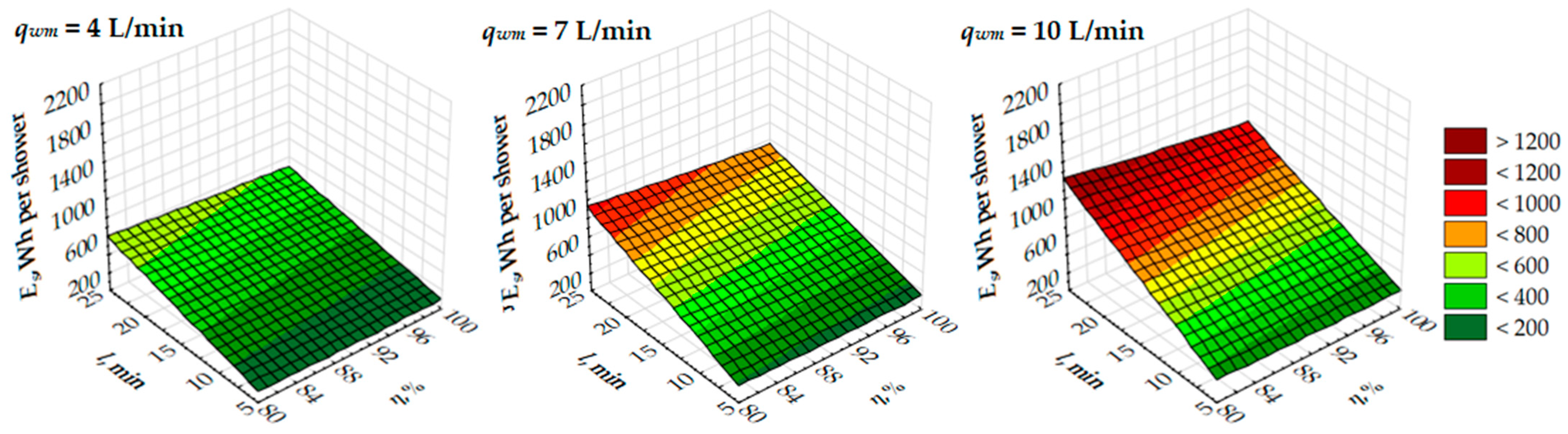
3.3.1. Energy Savings
3.3.2. Financial Savings
3.3.3. Environmental Impact
4. Discussion
5. Conclusions
- The application of both the DWHR unit without baffles and the heat exchanger equipped with baffles allowed for the recovery of a significant amount of energy contained in greywater. However, the effectiveness of the DWHR unit with baffles was greater by several to even 40% compared to the basic unit.
- The choice of the baffle model should take into account the hydraulic conditions in the heat exchanger prior to baffle installation, to avoid the pressurized operation of the unit.
- In each case, the greater the temperature difference between the warm greywater and cold water, the higher the effectiveness of the heat exchanger.
- The effectiveness of the DWHR unit rises as the mixed water flow rate from the shower head drops. However, the amount of energy that can be saved is also conditioned by the volume of water used.
- The greatest financial savings resulting from equipping the DWHR unit with baffles were visible when the DHW was prepared with the use of EWH.
- The potential reduction in CO2 emissions, resulting from the application of the greywater heat recovery system, is the greatest when water is heated in an electrically powered device.
6. Patents
Author Contributions
Funding
Data Availability Statement
Acknowledgments
Conflicts of Interest
References
- Amanowicz, Ł.; Ratajczak, K.; Dudkiewicz, E. Recent Advancements in Ventilation Systems Used to Decrease Energy Consumption in Buildings—Literature Review. Energies 2023, 16, 1853. [Google Scholar] [CrossRef]
- Igliński, B.; Pietrzak, M.B.; Kiełkowska, U.; Skrzatek, M.; Kumar, G.; Piechota, G. The assessment of renewable energy in Poland on the background of the world renewable energy sector. Energy 2022, 261, 125319. [Google Scholar] [CrossRef]
- Kovalenko, Y.; Katkov, M.; Ponomarenko, I.; Malovanyy, M.; Tymchuk, I. Utilization of drainage water heat in flooded urban areas. Ecol. Quest. 2022, 33, 31–41. [Google Scholar] [CrossRef]
- Watson, B.; Lange, I.; Linn, J. Coal demand, market forces, and U.S. coal mine closures. Econ. Inq. 2023, 61, 35–57. [Google Scholar] [CrossRef]
- Pohrebennyk, V.; Koszelnik, P.; Mitryasova, O.; Dzhumelia, E.; Zdeb, M. Environmental Monitoring of Soils of Post-Industrial Mining Areas. J. Ecol. Eng. 2019, 20, 53–61. [Google Scholar] [CrossRef]
- Igliński, B.; Pietrzak, M.B.; Kiełkowska, U.; Skrzatek, M.; Gajdos, A.; Zyadin, A.; Natarajan, K. How to Meet the Green Deal Objectives—Is It Possible to Obtain 100% RES at the Regional Level in the EU? Energies 2022, 15, 2296. [Google Scholar] [CrossRef]
- Rabbi, M.F.; Popp, J.; Máté, D.; Kovács, S. Energy Security and Energy Transition to Achieve Carbon Neutrality. Energies 2022, 15, 8126. [Google Scholar] [CrossRef]
- Voznyak, O.; Spodyniuk, N.; Antypov, I.; Dudkiewicz, E.; Kasynets, M.; Savchenko, O.; Tarasenko, S. Efficiency Improvement of Eco-Friendly Solar Heat Supply System as a Building Coating. Sustainability 2023, 15, 2831. [Google Scholar] [CrossRef]
- Matetić, I.; Štajduhar, I.; Wolf, I.; Ljubic, S. A Review of Data-Driven Approaches and Techniques for Fault Detection and Diagnosis in HVAC Systems. Sensors 2023, 23, 1. [Google Scholar] [CrossRef]
- Zeng, X.; Sun, X.; Zhao, F. Energy-saving intelligent manufacturing optimization scheme for new energy vehicles. Int. J. Emerg. Electr. Power Syst. 2022, 23, 913–926. [Google Scholar] [CrossRef]
- Schestak, I.; Spriet, J.; Black, K.; Styles, D.; Faragò, M.; Rygaard, M.; Williams, A.P. Heat recovery and water reuse in micro-distilleries improves eco-efficiency of alcohol production. J. Environ. Manag. 2023, 325, 116468. [Google Scholar] [CrossRef] [PubMed]
- Hadengue, B.; Morgenroth, E.; Larsen, T.A. Screening innovative technologies for energy-efficient domestic hot water systems. J. Environ. Manag. 2022, 320, 115713. [Google Scholar] [CrossRef] [PubMed]
- Sierra, L.; Lizana, M.; Pino, C.; Ilaya-Ayza, A.; Neculman, B. Structural Model for Socially Sustainable Public Housing Decision-Making in Chile. Int. J. Environ. Res. Public Health 2023, 20, 2543. [Google Scholar] [CrossRef] [PubMed]
- Ascione, F.; De Masi, R.F.; Mastellone, M.; Vanoli, G.P. Building rating systems: A novel review about capabilities, current limits and open issues. Sustain. Cities Soc. 2022, 76, 103498. [Google Scholar] [CrossRef]
- European Commission. EU Energy in Figures. Statistical Pocketbook 2022; Publications Office of the European Union: Luxembourg, 2022; Available online: https://op.europa.eu/en/publication-detail/-/publication/7d9ae428-3ae8-11ed-9c68-01aa75ed71a1/language-en (accessed on 8 February 2023).
- Amanowicz, Ł. Peak Power of Heat Source for Domestic Hot Water Preparation (DHW) for Residential Estate in Poland as a Representative Case Study for the Climate of Central Europe. Energies 2021, 14, 8047. [Google Scholar] [CrossRef]
- Alrwashdeh, S.S.; Ammari, H.; Jweihan, Y.S.; Qadourah, J.A.; Al-Kheetan, M.J.; Al-Falahat, A.M. Refurbishment of Existing Building toward a Surplus Energy Building in Jordan. Open Constr. Build. Technol. J. 2022, 16, e187483682208150. [Google Scholar] [CrossRef]
- Ratajczak, K.; Michalak, K.; Narojczyk, M.; Amanowicz, Ł. Real Domestic Hot Water Consumption in Residential Buildings and Its Impact on Buildings’ Energy Performance—Case Study in Poland. Energies 2021, 14, 5010. [Google Scholar] [CrossRef]
- Nejranowski, J.; Szaflik, W. Hot Water Consumption Time in Multi-Apartment Buildings. J. Ecol. Eng. 2020, 21, 199–202. [Google Scholar] [CrossRef]
- George, D.; Pearre, N.S.; Swan, L.G. High resolution measured domestic hot water consumption of Canadian homes. Energy Build. 2015, 109, 304–315. [Google Scholar] [CrossRef]
- Lomet, A.; Suard, F.; Chèze, D. Statistical Modeling for Real Domestic Hot Water Consumption Forecasting. Energy Procedia 2015, 70, 379–387. [Google Scholar] [CrossRef]
- Giglio, T.; Santos, V.; Lamberts, R. Analyzing the impact of small solar water heating systems on peak demand and on emissions in the Brazilian context. Renew. Energy 2019, 133, 1404–1413. [Google Scholar] [CrossRef]
- Neugebauer, G.; Lichtenwoehrer, P.; Huber, F.; Stoeglehner, G.; Kretschmer, F. Potentials and Integrated Suitability Pre-assessment of Wastewater Treatment Plants as Local Energy Cells. Front. Environ. Sci. 2022, 9, 785557. [Google Scholar] [CrossRef]
- Hidalgo, D.; Martín-Marroquín, J.M.; Castro, J. Wastewater as a Source of Heat Energy. In Heat Energy Recovery for Industrial Processes and Wastes. Green Energy and Technology; Borge-Diez, D., Rosales-Asensio, E., Eds.; Springer: Cham, Switzerland, 2023; pp. 1–20. [Google Scholar] [CrossRef]
- Nagpal, H.; Spriet, J.; Murali, M.K.; McNabola, A. Heat Recovery from Wastewater—A Review of Available Resource. Water 2021, 13, 1274. [Google Scholar] [CrossRef]
- Ravichandran, A.; Diaz-Elsayed, N.; Thomas, S.; Zhang, Q. An assessment of the influence of local conditions on the economic and environmental sustainability of drain water heat recovery systems. J. Clean. Prod. 2021, 279, 123589. [Google Scholar] [CrossRef]
- Wehbi, Z.; Taher, R.; Faraj, J.; Ramadan, M.; Castelain, C.; Khaled, M. A short review of recent studies on wastewater heat recovery systems: Types and applications. Energy Rep. 2022, 8, 896–907. [Google Scholar] [CrossRef]
- Piotrowska, B.; Słyś, D. Comprehensive Analysis of the State of Technology in the Field of Waste Heat Recovery from Grey Water. Energies 2023, 16, 137. [Google Scholar] [CrossRef]
- Kordana-Obuch, S.; Starzec, M.; Wojtoń, M.; Słyś, D. Greywater as a Future Sustainable Energy and Water Source: Bibliometric Mapping of Current Knowledge and Strategies. Energies 2023, 16, 934. [Google Scholar] [CrossRef]
- Noutsopoulos, C.; Andreadakis, A.; Kouris, N.; Charchousi, D.; Mendrinou, P.; Galani, A.; Mantziaras, I.; Koumaki, E. Greywater characterization and loadings—Physicochemical treatment to promote onsite reuse. J. Environ. Manag. 2018, 216, 337–346. [Google Scholar] [CrossRef]
- Kordana-Obuch, S.; Starzec, M. Horizontal Shower Heat Exchanger as an Effective Domestic Hot Water Heating Alternative. Energies 2022, 15, 4829. [Google Scholar] [CrossRef]
- Vavřička, R.; Boháč, J.; Matuška, T. Experimental development of the plate shower heat exchanger to reduce the domestic hot water energy demand. Energy Build. 2022, 254, 111536. [Google Scholar] [CrossRef]
- Schestak, I.; Spriet, J.; Styles, D.; Williams, A.P. Introducing a Calculator for the Environmental and Financial Potential of Drain Water Heat Recovery in Commercial Kitchens. Water 2021, 13, 3486. [Google Scholar] [CrossRef]
- Singh, A.P.; Spriet, J.; McNabola, A. Experimental and numerical investigation of drain water heat recovery in a grease interceptor. J. Clean. Prod. 2023, 403, 136799. [Google Scholar] [CrossRef]
- Sayegh, M.A.; Ludwińska, A.; Rajski, K.; Dudkiewicz, E. Environmental and energy saving potential from greywater in hotels. Sci. Total Environ. 2021, 761, 143220. [Google Scholar] [CrossRef] [PubMed]
- Selimli, S.; Eljetlawi, I.A.M. The experimental study of thermal energy recovery from shower greywater. Energy Sources Part A 2021, 43, 3032–3044. [Google Scholar] [CrossRef]
- Poredoš, P.; Vidrih, B.; Poredoš, A. Performance and Exergy Analyses of a Solar Assisted Heat Pump with Seasonal Heat Storage and Grey Water Heat Recovery Unit. Entropy 2020, 23, 47. [Google Scholar] [CrossRef]
- Stec, A.; Mazur, A. An Analysis of Eco-Technology Allowing Water and Energy Saving in an Environmentally Friendly House—A Case Study from Poland. Buildings 2019, 9, 180. [Google Scholar] [CrossRef]
- Zhang, D.; Fang, C.; Gao, Z.; Wang, X.; Shen, C.; Li, H. Energy, environmental and economic assessment of wastewater heat recovery systems in hotel buildings. Appl. Therm. Eng. 2023, 222, 119949. [Google Scholar] [CrossRef]
- Kordana-Obuch, S.; Starzec, M.; Słyś, D. Assessment of the Feasibility of Implementing Shower Heat Exchangers in Residential Buildings Based on Users’ Energy Saving Preferences. Energies 2021, 14, 5547. [Google Scholar] [CrossRef]
- Piotrowska, B.; Słyś, D. Variant analysis of financial and energy efficiency of the heat recovery system and domestic hot water preparation for a single-family building: The case of Poland. J. Build. Eng. 2023, 65, 105769. [Google Scholar] [CrossRef]
- Statistics Poland. Local Data Bank. Available online: https://bdl.stat.gov.pl/bdl/start (accessed on 19 April 2023).
- Chudzicki, J.; Sosnowski, S. Instalacje Wodociągowe—Projektowanie, Wykonanie, Eksploatacja, 3rd ed.; Seidel-Przywecki: Warsaw, Poland, 2011. [Google Scholar]
- The National Centre for Emissions Management (KOBiZE). Wskaźniki Emisyjności CO2, SO2, NOx, CO i Pyłu Całkowitego dla Energii Elektrycznej; IOŚ-PIB: Warszawa, Poland, 2022; Available online: https://www.kobize.pl/en/file/wskazniki-emisyjnosci/id/184/wskazniki-emisyjnosci-dla-energii-elektrycznej-za-rok-2021-opublikowane-w-grudniu-2022-r (accessed on 24 April 2023).
- The National Centre for Emissions Management (KOBiZE). Wskaźniki Emisji Zanieczyszczeń ze Spalania Paliw dla Źródeł o Nominalnej mocy Cieplnej do 5 MW, Zastosowane do Automatycznego Wyliczenia Emisji w Raporcie do Krajowej Bazy za rok 2022; IOŚ-PIB: Warszawa, Poland, 2023; Available online: https://krajowabaza.kobize.pl/docs/Wska%C5%BAniki_ma%C5%82e_%C5%BAr%C3%B3dla_spalania_paliw_2022.pdf (accessed on 24 April 2023).
- Ministry of Climate and Environment. Energy Policy of Poland Until 2040. Available online: https://www.gov.pl/web/klimat/polityka-energetyczna-polski (accessed on 4 May 2023).
- Our World in Data. Carbon Intensity of Electricity. 2022. Available online: https://ourworldindata.org/grapher/carbon-intensity-electricity?region=Europe (accessed on 5 May 2023).
- European Council. Infographic—Energy Price Rise since 2021. Available online: https://www.consilium.europa.eu/en/infographics/energy-prices-2021/ (accessed on 19 April 2023).
- Stec, A.; Mazur, A.; Słyś, D. Evaluating the financial efficiency of energy and water saving installations in passive house. E3S Web Conf. 2017, 22, 00168. [Google Scholar] [CrossRef]
- Bilan, Y.; Samusevych, Y.; Lyeonov, S.; Strzelec, M.; Tenytska, I. The Keys to Clean Energy Technology: Impact of Environmental Taxes on Biofuel Production and Consumption. Energies 2022, 15, 9470. [Google Scholar] [CrossRef]
- Statistics Poland. Residential Construction in the Period of January 2023. Available online: https://stat.gov.pl/en/topics/industry-construction-fixed-assets/construction/residential-construction-in-the-period-of-january-2023,3,128.html (accessed on 19 April 2023).
- Statista. Total Housing Stock in Selected Countries in Europe in 2021, by Country. Available online: https://www.statista.com/statistics/898238/housing-stock-in-european-countries-in-total/ (accessed on 9 March 2023).
- Kubiak-Wójcicka, K.; Machula, S. Influence of Climate Changes on the State of Water Resources in Poland and Their Usage. Geosciences 2020, 10, 312. [Google Scholar] [CrossRef]
- Bijl, D.L.; Biemans, H.; Bogaart, P.W.; Dekker, S.C.; Doelman, J.C.; Stehfest, E.; van Vuuren, D.P. A Global Analysis of Future Water Deficit Based On Different Allocation Mechanisms. Water Resour. Res. 2018, 54, 5803–5824. [Google Scholar] [CrossRef]
- United Nations (UN). The Sustainable Development Goals Report 2021; United Nations: New York, NY, USA, 2021. [Google Scholar]
- European Commission. EU Reference Scenario 2020: Energy, Transport and GHG Emissions—Trends to 2050. Available online: https://op.europa.eu/en/publication-detail/-/publication/96c2ca82-e85e-11eb-93a8-01aa75ed71a1/language-en (accessed on 9 May 2023).
- EMBER. European Electricity Review 2023. Available online: https://ember-climate.org/insights/research/european-electricity-review-2023/#supporting-material (accessed on 9 May 2023).
- Tchórzewska-Cieślak, B.; Pietrucha-Urbanik, K. Water System Safety Analysis Model. Energies 2023, 16, 2809. [Google Scholar] [CrossRef]
- Ziembowicz, S.; Kida, M.; Koszelnik, P. Elimination of a Mixture of Microplastics Using Conventional and Detergent-Assisted Coagulation. Materials 2023, 16, 4070. [Google Scholar] [CrossRef]




















| Design Parameters | Unit | Value |
|---|---|---|
| The length of the heat exchanger | m | 2.0 |
| The outer diameter of the copper drain pipe | mm | 54 |
| The wall thickness of the copper drain pipe | mm | 1.5 |
| The outer diameter of the copper water pipe | mm | 15 |
| The wall thickness of the copper water pipe | mm | 1.0 |
| The distance of the water pipe from the bottom of the drain pipe | mm | 2.0 |
| Input Parameters | Unit | Value |
|---|---|---|
| Mixed water flow rate (qwm) | L/min | 4, 7, 10 |
| Greywater temperature at the inlet to the DWHR unit (Tdw) | °C | 35, 40 |
| Cold water temperature (Tcw) | °C | 10, 15 |
| DWHR unit bottom slope (i) | % | 1, 2 |
| Number of baffles | — | 10, 20 |
| Indoor air temperature (Ti) | °C | 24 |
| Water temperature drop in the shower [32] | °C | 5 |
| Domestic hot water temperature (Thw) | °C | 60 |
Disclaimer/Publisher’s Note: The statements, opinions and data contained in all publications are solely those of the individual author(s) and contributor(s) and not of MDPI and/or the editor(s). MDPI and/or the editor(s) disclaim responsibility for any injury to people or property resulting from any ideas, methods, instructions or products referred to in the content. |
© 2023 by the authors. Licensee MDPI, Basel, Switzerland. This article is an open access article distributed under the terms and conditions of the Creative Commons Attribution (CC BY) license (https://creativecommons.org/licenses/by/4.0/).
Share and Cite
Kordana-Obuch, S.; Starzec, M. Experimental Development of the Horizontal Drain Water Heat Recovery Unit. Energies 2023, 16, 4634. https://doi.org/10.3390/en16124634
Kordana-Obuch S, Starzec M. Experimental Development of the Horizontal Drain Water Heat Recovery Unit. Energies. 2023; 16(12):4634. https://doi.org/10.3390/en16124634
Chicago/Turabian StyleKordana-Obuch, Sabina, and Mariusz Starzec. 2023. "Experimental Development of the Horizontal Drain Water Heat Recovery Unit" Energies 16, no. 12: 4634. https://doi.org/10.3390/en16124634
APA StyleKordana-Obuch, S., & Starzec, M. (2023). Experimental Development of the Horizontal Drain Water Heat Recovery Unit. Energies, 16(12), 4634. https://doi.org/10.3390/en16124634
