Abstract
The mono-column composite bucket foundation has gained practical application in offshore wind power due to its advantages of simple fabrication, fast construction, and low cost. To ensure the safe and stable transportation of this structure to its designated sinking position, this study focuses on producing a scaled model of the mono-column composite bucket foundation. Through model testing, the floating characteristics of the structure during towing in regular waves are examined. The conclusion of the study is as follows: a significant towing force is required to provide the initial velocity of the structure. As the wave period and height increase, the structure necessitates a larger towing force, experiences greater pitch and heave responses, and exhibits more noticeable fluctuations in internal air pressure. The paper aims at providing practical engineering insights.
1. Introduction
To avoid resource and environmental restrictions and achieve high-quality sustainable development, China formally proposed the goal of carbon peak and carbon neutrality at the 75th Session of the United Nations General Assembly on 22 September 2020. Vigorously developing renewable energy is one of the feasible ways to achieve this major strategic goal, among which, wind energy is a renewable energy source in the new energy-power-generation field. Considering the cost of electricity generation and pollution management, wind energy is highly competitive as an industry that is rapidly advancing with technological progress. Harnessing wind energy for power generation is the primary method for developing this new energy source [1]. Wind power has been the focus of attention for many years due to its great advantages as a safe, clean, renewable, abundant, and widely distributed resource [2]. In the meantime, the development and utilization of offshore wind power can save onshore space compared with onshore wind power. Secondly, offshore wind speed is higher and stronger than the onshore wind speed. It also has a higher wind power density and higher wind generation capacity. In recent years, it has been continuously studied, developed, and expanded.
There are various forms of offshore wind power foundations, which are selected based on the construction site. The bucket foundation is a type of offshore wind power that can change the pressure in the suction bucket. By reducing the pressure in the suction bucket, the pressure difference is formed with the external atmospheric pressure, and the foundation can be pressed into the soil. The composite bucket foundation is a 7-Cabin structure that can be transported through towing, leveraging its self-floating characteristics during construction [3]. Compared to the ordinary bucket foundation, this structure reduces production costs while maintaining its original advantages [4]. The overall construction of the bucket foundation is carried out on land. Through the towing of the barge at sea, it can be installed quickly after arriving at the construction site without piling and rock-embedded construction, which effectively improves the construction efficiency of the foundation and reduces the overall project cost [5]. This paper focuses on a novel foundation form—the mono-column composite bucket foundation (as shown in Figure 1) proposed by Shanghai Investigation, Design & Research Institute.
Figure 1.
Mono-column composite bucket foundation.
Scholars both domestically and internationally have made some progress in studying the towing stability of floating structures. Fang et al. [6] established a nonlinear mathematical model to simulate the dynamic behavior of a towing system in random waves, including wave resistance and maneuvering characteristics, to investigate the dynamic stability and safety of the towing system operating in wave conditions. The time-domain simulation of the six degrees of freedom motion of the tugboat and the towed ship was solved using the fourth-order Runge–Kutta method. The influence of the towing point position, towing cable length, and towing speed on the heading stability and towing tension of the ship was analyzed for different wave and wind directions. Goncalves et al. [7] conducted model tests on a circular mono-column platform with mooring lines in water currents. The results were compared with the Vortex-Induced Motion (VIM) model test results of the MonoGoM platform designed for the Gulf of Mexico. The results indicated the importance of considering the two degrees of freedom in model tests, that is, the coexistence of motions in the linear and transverse directions. To establish a reliable data set for comparisons with theoretical and numerical models, especially with the model of the mono-column platform, Pan et al. [8] conducted tests on the overseas immersed tunnel in Shanghai, with two different water depths of 11 m and 16 m, in regular waves for four scenarios: longitudinal towing, transverse towing, and oblique towing at 30° and 60° angles. Zhang et al. [9] combined the mathematical model of the ship maneuvering motion with a modular modeling approach to establish a mathematical model of the towing and maneuvering system for offshore oil production platforms. The study provided a detailed analysis of the influencing factors of platform towing motion under conditions of a restricted water area. Li et al. [10] explained the design of the one-step transportation and installation platform of the composite bucket offshore wind turbine from the key technologies, such as ship type, the fixing method of the offshore wind turbine and truss holding, and so on, and analyzed the characteristics of ship type safety and operation process safety of the one-step installation platform. Fu et al. [11] took the typical three-pile bucket foundation applied in Bohai Bay as an example and deduced the corresponding relationship between the structural floating weight and draft through an analysis of the structural static force and the towing stability, which provided a theoretical basis for the structural design and floating construction scheme. Ding et al. [12] monitored the floating behavior during the transportation of CBF with a wind turbine tower for the Xiangshui wind farm in the Jiangsu province and studied the influences of speed, wave height, and wind on the floating behavior of the structure and verified the safety of the air cushion structure of the CBF by analyzing the measurement results for the interaction between the force and depth of the liquid within the bucket. Zhang et al. [13] compared the influence of the subdivision structure on the towing resistance of the CBF with the tow test in hydrostatic water and analyzed the structural motion characteristics and the change in the cushion pressure, verified numerical calculation results by performing experiments, and analyzed the flow field difference among the CBF with bulkheads, the CBF without bulkheads, and the real floating structure. The force at surfaces of different CBFs was analyzed using the dynamic pressure coefficient. For the tow test and numerical calculation of multiple CBFs, the optimal multi-CBF tow distance and towage number were obtained through a calculation of the energy consumption rate.
The novel structure of the mono-column composite bucket foundation has not been thoroughly studied yet. To ensure structural stability during transportation, this paper will research the towing and floating characteristics of the structure, providing reference opinions for practical engineering purposes.
2. Methods and Measurement Instruments
2.1. Test Model
In this study, the mono-column composite bucket infrastructure in practical engineering was scaled by 1:40. During the towing test of the mono-column composite bucket foundation, it is necessary to ensure that the test model and prototype meet the similarity criteria, including geometric similarity, kinematic similarity, and dynamic similarity. Geometric similarity requires that the test model and prototype be scaled according to the similarity ratio to ensure that the model and prototype are completely similar in shape. Kinematic similarity requires equal Froude numbers and equal Strouhal numbers for the test model and prototype. The dynamic similarity requires that the experimental model and the prototype are under the same working conditions, the ratio of the same force on the mono-column composite bucket foundation at the same position is a fixed value, and the direction is the same. The towing test was conducted in the Port Laboratory of Tianjin University, as shown in Figure 2.
Figure 2.
Test model in the Port Laboratory of Tianjin University.
The model is constructed using PMMA organic glass material with a density of 1.18 g/cm3. The model components are made in proportion to the prototype, ensuring that the linear dimensions of the model and prototype satisfy the scale factor. Although the model and prototype sizes are different, the shapes must be identical. Furthermore, the model weight, the center of gravity height, and the turning radius must meet proportional requirements while satisfying the linear dimensions. As a result, the model thickness is adjusted and uniformly set to 5 mm. During the model-making process, holes are pre-drilled for pressure gauges, exhaust pipes, and towing points, and a tilt angle meter is installed with a flange. The specific parameters of the model and prototype are shown in Table 1.
Table 1.
Parameter of prototype and test model.
As shown in Figure 3, the model has seven cabins, and the draft depth of the bucket foundation can be adjusted by controlling the water–air ratio of the ballast water in each cabin. Two rows of towing hooks are arranged on both sides of Cabin 4 of the model, and towing force is applied at this location by an electric hoist. During the towing process, the pitch angle of the bow is positive, while the pitch angle of the stern is negative.
Figure 3.
Cabins of the bucket.
2.2. Measurement Instruments
The measuring instruments used in the test include an inclinometer, a laser displacement sensor, a tension sensor, and barometers. The three-axis inclinometer and the laser displacement meter are installed at the top flange of the model to measure real-time changes in the model’s motion response (as shown in Figure 4a). Barometers measure the air pressure at the end of the exhaust pipe (as shown in Figure 4a). The tension sensor is connected to the cable end to measure the towing force (as shown in Figure 4b).
Figure 4.
Test measurement instruments: (a) arrangement of inclinometer, laser displacement meter, and barometers; (b) arrangement of tension sensor.
This test strictly requires a specific length for the towing cable. In the study conducted by Le et al. [14], the influence of the cable length on air-cushion towing was investigated under following-wave, head-wave, and four different cable length conditions. The conclusion drawn was that cable length is an important factor affecting air-cushion towing, and when the cable length is 3.2 times the platform width, the platform has higher wave resistance and stability. Based on this conclusion, the cable length for this test was chosen to be 115.2 m, while the physical model test used a cable length of 2.88 m.
3. Results and Discussion
This paper utilizes a comparative analysis method combining tests and numerical simulations. The reliability of Moses software (Edition V11) for a time-domain analysis during towing has been validated in the study by Ding et al. [15]. The influence of the wave period and wave height on towing performance is analyzed through model tests, and a comparative analysis is conducted using Moses software.
Based on the hydrogeological data from the actual construction site of the mono-column composite bucket foundation, the joint distribution statistics of wave characteristics, including the wave height and period, are obtained. The annual statistical values are presented in Table 2.
Table 2.
Statistics of wave high period joint distribution.
Based on the joint distribution statistical values of the wave height and period mentioned above, the following standard test conditions are selected for the prototype test: a wave height of 1.4 m and a period of 6.3 s. For the wave height test conditions, wave heights of 1 m, 2 m, and 3 m are chosen. For the period test conditions, wave periods of 4 s, 6 s, and 8 s are selected.
3.1. Analysis of Towing Characteristics Based on Different Wave Periods
Model tests are conducted to investigate the impact of three different wave periods on the towing characteristics of the model. The design of the tests follows the aforementioned prototype conditions, with wave periods of 0.6 s, 0.9 s, and 1.3 s. The towing point height is set at 10 cm, the draft height is set at 10 cm, the towing speed is set at 1.2 m/s, and the wave height is set at 3.5 cm. The test conditions are summarized in Table 3.
Table 3.
Conditions of different wave periods in the model test.
3.1.1. Analysis of Towing Force
From the towing force time-domain curves obtained from the tests (Figure 5 and Figure 6), it can be observed that the towing force reaches its peak at about 17 N during the initial phase of towing, providing the model with an initial velocity. Subsequently, the towing force falls dramatically to less than 4 N, before experiencing an unsteady fluctuation.
Figure 5.
Towing force—time curve based on various periods.
Figure 6.
Towing force statistics based on various periods.
By comparing three different wave periods (T = 0.6 s, T = 0.9 s, T = 1.3 s), it can be noticed that as the wave period increases, the peak towing force and the average towing force both gradually increase, indicating that greater towing force is needed when wave periods are longer. When the wave period reaches 1.3 s, the standard deviation of the towing force reaches its highest point, when the curve exhibits the largest fluctuations. When the wave period is 0.6 s, the maximum towing force is 16.9 N and the minimum towing force is 3.89 N. When the wave period is 0.9 s, the maximum towing force is 23.98 N and the minimum towing force is 3.89 N. When the wave period is 1.3 s, the maximum towing force is 29.38 N and the minimum towing force is 3.89 N. It can be concluded that with an increase in the wave period, the stability of the towing process for the bucket foundation deteriorates, and the required towing force increases.
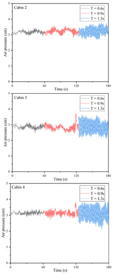
3.1.2. Analysis of Air Pressure
From the time-domain curves and statistical graphs of the pressure in each cabin (Figure 7 and Figure 8), it can be observed that the average air pressure under Conditions 1–3 is at the same level. In addition, there is little difference in the pressure values among cabins under Test Condition 1 and Test Condition 2. However, in Test Condition 3, there is a significant fluctuation in the pressure values of each cabin, indicating that as the wave period increases, the bucket foundation becomes increasingly unstable. Additionally, it can be observed that the pressure in Cabin 1 is smaller than the pressure in the other side cabins. This is because Cabin 1 is on the leeward side of the bucket foundation and is less affected by the waves. The air cushion in the cabin is compressed to a lesser extent, resulting in smaller pressure variations. On the other hand, Cabin 4 is at the windward side and is the first to be impacted by the waves. The air cushion in this cabin undergoes significant compression, resulting in higher measured pressure values.


Figure 7.
Air pressure—time curve based on various wave periods.
Figure 8.
Air pressure statistics based on various periods.
3.1.3. Analysis of Pitch
From Figure 9 and Figure 10, it can be seen that in the model tests, with a towing point and draft height of 20 cm in calm water towing, the maximum pitch angle of the model is 1.81°. In the towing with regular waves, when the wave period is 1.3 s, the maximum pitch angle reaches 2.29°. As for the numerical simulation, with a towing point and draft height of 8 m in calm water towing, the maximum pitch angle is 0.28°. In regular waves, when the wave period is 6 s, the maximum pitch angle can reach 0.63°. This indicates that waves have a certain impact on the towing performance of the bucket foundation. Upon closer examination, it is evident that the standard deviation value experiences a slight rise from 0.21 to 0.26 as the wave period increases from 0.6 s (Condition 1) and 0.9 s (Condition 2) before growing rapidly to 1.11 with the wave period of 1.3 s (Condition 3). Moreover, the standard deviation shows that as the wave period increases, the pitch angle fluctuation also increases. The maximum value of the pitch angle increases with an increase in the period, and the minimum value also tends to become larger. When the wave period is 0.6 s, the maximum pitch angle is 0.8°. When the wave period is 0.9 s, the maximum pitch angle is 1.17°. When the wave period is 1.3 s, the maximum pitch angle is 2.29°.
Figure 9.
Pitch angle—time curve based on various wave periods.
Figure 10.
Pitch angle statistics based on various periods.
3.1.4. Analysis of Heave
From Figure 11 and Figure 12, it can be seen that since the model tests have a fixed draft height, the heave response curves fluctuate above and below the draft depth. Therefore, the time-domain curves only show the fluctuating parts. It can be observed that as the draft depth increases, the heave motion of the structure also increases, with a standard deviation value of 4.04 under Condition 1 and 10.94 under Condition 3. When the wave period is 1.3 s, the maximum heave of the foundation is 33.6 mm and the minimum value is −25.91 mm. By examining the change in standard deviation, the conclusion can be drawn that the amplitude of heave motion increases as the wave period increases. This indicates that as the wave period increases, the heave response of the foundation becomes larger.
Figure 11.
Heave—time curve under various wave periods.
Figure 12.
Heave statistics based on various wave periods.
Based on the study of the influence of wave periods on towing performance, it can be observed that as the wave period increases, the towing force, the longitudinal pitch of the bucket foundation, and the vertical oscillation response all increase. This demonstrates that the bucket foundation is at a higher risk of working conditions when experiencing a longer wave period. In practical towing engineering, the real-time monitoring and recording of wave conditions should be carried out, and preventive measures should be taken when encountering large wave periods.
3.2. Analysis of Towing Characteristics Based on Different Wave Heights
According to the design based on the prototype wave height condition, the model tests also investigated the influence of three different wave heights on the towing characteristics of the model. The wave heights were 2.5 cm, 5 cm, and 7.5 cm, with a towing point height of 10 cm, draft depth of 10 cm, towing speed of 1.2 m/s, and a wave period of 1.4 s. The test conditions are summarized in Table 4.
Table 4.
Conditions of different wave heights in the model test.
3.2.1. Analysis of Towing Force
From the towing force time history and statistical graphs (Figure 13 and Figure 14), it can be observed that as the wave height increases, the initial peak of the towing force becomes larger. When the wave height is 2.5 cm, the maximum towing force is 19.12 N and the minimum value is 4.13 N. When the wave height is 5 cm, the maximum towing force is 23.12 N and the minimum value is 5.29 N. When the wave height is 7.5 cm, for the towing force, the maximum value is 33.75 N and the minimum value is 9.54 N. This means that as the wave height increases, the structure requires a larger force to provide the initial acceleration. In Condition 1, the maximum value of the towing force is at the lowest level (19.12), and as the wave height increases, the maximum value also increases from 23.12 in Condition 2 to 33.75 in Condition 3. Additionally, the average towing force also increases. During towing, as the wave height increases, the standard deviation of the towing force also increases, indicating larger fluctuations in the towing force. This is because as the wave height increases, the contact area between the bucket foundation and the water on the windward side increases, requiring a larger towing force to counteract the water resistance.
Figure 13.
Towing force—time curve based on various wave heights.
Figure 14.
Towing force statistics based on various wave heights.
3.2.2. Analysis of Air Pressure
From Figure 15 and Figure 16, it can be observed that the air pressure in each cabin fluctuates around a certain level, and the fluctuation becomes more intense as the wave height increases. However, there are some differences between the fluctuations caused by changes in the wave height and wave period. The air pressure fluctuates around a fixed value for most wave periods, while the fluctuation level of the air pressure inside the cabins decreases with an increasing wave height. This is because when the waves pass through the bucket foundation, the bucket is lifted by the waves, resulting in a decrease in the pressure of the air cushion inside the bucket. Additionally, the air pressure in Cabin 1 is slightly lower than that in the other cabins, which is because Cabin 1 is on the lee side and is less affected by the waves.

Figure 15.
Air pressure—time curve based on various wave heights.
Figure 16.
Air pressure statistics based on various wave heights.
3.2.3. Analysis of Pitch
From Figure 17 and Figure 18, it can be observed that the pitch angle of the structure increases with the wave height. The maximum value, minimum value, and standard deviation of the pitch angle all increase with an increase in the wave height. As the wave height increases, there is an adverse risk of towing the structure, which should be avoided for practical engineering purposes. In the model tests, the maximum longitudinal sway angle is 0.79° for a wave height of 2.5 cm and increases to 1.4° for a wave height of 7.5 cm. Starting at −0.44 in Condition 1, the minimum value of the pitch angle showed a downward trend to reach the lowest level at −0.9 in Condition 3. Moreover, the fluctuations also increase with the wave height.
Figure 17.
Pitch angle—time curve based on various wave heights.
Figure 18.
Pitch angle statistics based on various wave heights.
3.2.4. Analysis of Heave
From Figure 19 and Figure 20, it can be observed that as the wave height increases, the amplitude of the structural heave motion also increases, and the fluctuations become more pronounced. In the model tests, for Condition 1, the heave amplitude is 6.07 mm, which corresponds to approximately 1.9% of the bucket height, and for Condition 3, the heave amplitude is 11.26 mm, approximately 3.5% of the bucket height. The standard deviation of Condition 3 (4.56) is far more than that of Condition 1 (2.45) and Condition 2 (2.9). Test results demonstrate that the heave amplitude increases with an increasing wave height. However, the heave amplitudes are slightly larger, which could be attributed to errors and uncertainties associated with the model tests.
Figure 19.
Heave-time curve based on various wave heights.
Figure 20.
Heave statistics based on various wave heights.
4. Conclusions
This study conducted an analysis of the towing and floating characteristics of a single-pile composite bucket foundation under regular wave conditions through scaled model tests. The main conclusions are as follows:
- (1)
- The initial stage of towing requires a significant towing force to provide the initial velocity, and the increase in the wave period and wave height gradually increases the initial towing force. Therefore, in practical engineering, appropriate cable materials should be selected based on actual sea conditions to ensure that the cable’s breaking tension meets the requirements of the ultimate towing force.
- (2)
- During the stable towing stage, the towing force also increases with an increase in the wave period and wave height, and the more severe the sea conditions, the greater the fluctuations in the towing force. The changes in cabin pressures also indicate that with an increase in the wave period and wave height, the fluctuations in cabin pressures become more pronounced, but the increase in wave height leads to a decrease in the horizontal values of the cabin pressures.
- (3)
- Both the yawing and heave responses of the structure increase gradually with increases in the wave period and wave height. It is evident that during actual towing operations, attention should be paid to the sea conditions, and appropriate measures should be taken to prevent encountering adverse sea conditions.
This study primarily investigated the effects of different wave periods and wave heights on the floating characteristics of the single-pile composite bucket foundation under regular wave conditions. In the future, research can be expanded to explore the effects of different towing methods, such as the position of the towing point and the structure’s draft height, on the floating characteristics. Additionally, considering the complexity of the marine environment in practical engineering, future studies should focus on irregular wave conditions to provide more practical recommendations and insights for actual engineering applications.
Author Contributions
Conceptualization, J.X., Y.L., P.Z. and J.L.; methodology, J.X., Y.L., P.Z., Y.G. and J.L; test, P.Z. and Y.G.; formal analysis, J.X., P.Z. and Y.G.; writing—original draft preparation, J.X., P.Z., and Y.G.; writing—review and editing, J.X., Y.L., P.Z. and J.L.; funding acquisition, J.X., Y.L., P.Z. and J.L. All authors have read and agreed to the published version of the manuscript.
Funding
This research was funded by Scientific research project funding of China Three Gorges Corporation (Contract No.: 44006590).
Data Availability Statement
Not applicable.
Conflicts of Interest
The authors declare no conflict of interest.
References
- Ding, H.; Peng, Y.; Zhang, P.; Nie, L.; Zhai, H. Numerical Simulation of Vacuum Preloading for Reinforcing Soil inside Composite Bucket Foundation for Offshore Wind Turbines. J. Mar. Sci. Eng. 2019, 7, 273. [Google Scholar] [CrossRef]
- Zheng, C.; Song, H.; Liang, F.; Jin, Y.P.; Wang, D.Y.; Tian, Y.C. 21st Century Maritime Silk Road: Wind Energy Resource Evaluation; Springer: Singapore, 2021; pp. 1–3. [Google Scholar]
- Ding, H.; Li, Z.; Lian, J.; Zhang, P.; Huang, X. Soil reinforcement experiment inside large-scale bucket foundation in muddy soil. Trans. Tianjin Univ. 2012, 18, 168–172. [Google Scholar] [CrossRef]
- Zhang, P.Y.; Ding, H.Y.; Le, C.; Huang, X. Towing characteristics of large-scale composite bucket foundation for offshore wind turbines. J. Southeast Univ. 2013, 29, 300–304. [Google Scholar]
- Liu, J.; Ni, D.; Xiao, J.; Zhang, P. Analysis of sinking process of single column composite bucket foundation of offshore wind power. Acta Energ. Sol. Sin. 2023, 44, 239–243. [Google Scholar]
- Fang, M.-C.; Ju, J.-H. The Dynamic Simulations of the Ship Towing System in Random Waves. Mar. Technol. SNAME News 2009, 46, 107–115. [Google Scholar] [CrossRef]
- Gonc¸alves, R.T.; Fujarra, A.L.; Rosetti, G.F.; Nishimoto, K.; Cueva, M.; Siqueira, E.F. Vortex-Induced Motion of a Monocolumn Platform: New Analysis and Comparative Study. In Proceedings of the 28th International Conference on Ocean, Offshore and Arctic Engineering (OMAE2009), Honolulu, HI, USA, 31 May–6 June 2009. [Google Scholar]
- Pan, Y. Floating method of large pipe section of Shanghai Outer Ring immersed immersed Tunnel. Constr. Technol. 2004, 5, 52–54. [Google Scholar]
- Zhang, Y. Modeling and Simulation of Drilling Platform Towing; Dalian Maritime University: Dalian, China, 2010. [Google Scholar]
- Li, L.; Zeng, X.; Li, N.; Wu, H.; Tian, H.; Liu, Y. Research on the ship type design of offshore wind power one-step transportation and installation platform. Marit. Saf. 2022, 5, 49–54. [Google Scholar]
- Fu, X.; Wan, J.; Qu, Z. Analysis and application of the structure and towing stability of the three-pile bucket foundation platform. Offshore Oil 2011, 31, 100–104. [Google Scholar]
- Ding, H.; Feng, Z.; Zhang, P.; Le, C.; Guo, Y. Floating Performance of a Composite Bucket Foundation with an Offshore Wind Tower during Transportation. Energies 2020, 13, 882. [Google Scholar] [CrossRef]
- Zhang, P.; Zhao, X.; Ding, H.; Le, C. The wet-towing resistance of the composite bucket foundation for offshore wind turbines. Mar. Struct. 2021, 80, 103089. [Google Scholar] [CrossRef]
- Le, C.; Ding, H.; Zhang, P. Testing research on the influence of the towline length on air cushion towing of a bucket foundation platform. J. Harbin Eng. Univ. 2012, 33, 811–816. [Google Scholar]
- Ding, H.; Hu, R.; Le, C.; Zhang, P. Towing Operation Methods of Offshore Integrated Meteorological Mast for Offshore Wind Farms. J. Mar. Sci. Eng. 2019, 7, 100. [Google Scholar] [CrossRef]
Disclaimer/Publisher’s Note: The statements, opinions and data contained in all publications are solely those of the individual author(s) and contributor(s) and not of MDPI and/or the editor(s). MDPI and/or the editor(s) disclaim responsibility for any injury to people or property resulting from any ideas, methods, instructions or products referred to in the content. |
© 2023 by the authors. Licensee MDPI, Basel, Switzerland. This article is an open access article distributed under the terms and conditions of the Creative Commons Attribution (CC BY) license (https://creativecommons.org/licenses/by/4.0/).