Leakage Monitoring and Quantitative Prediction Model of Injection–Production String in an Underground Gas Storage Salt Cavern
Abstract
:1. Introduction
2. Model Development
2.1. Mathematical Model
- (1)
- The temperature of the pipe column is symmetrical along the center line of the pipe column, and the pipe column is isotropic;
- (2)
- There is only one case of string leakage in the casing;
- (3)
- The annulus between the pipe string and the casing is sealed;
- (4)
- The thermal physical properties of each material in the wellbore remain unchanged;
- (5)
- No consideration is given to changes in borehole structure.
2.2. Model Solving
- (1)
- Input the initial temperature and pressure distribution of the inner and outer tubes;
- (2)
- Calculate the thermal physical property parameters of the gas according to the temperature and pressure field distribution calculated at time k or the last iteration;
- (3)
- Assume the leakage rate of pipe leakage port Q at time k;
- (4)
- The mass conservation equation is used to solve the pressure field distribution at k + 1 moment;
- (5)
- The fluid–column–annulus heat transfer model established in this paper is used to solve the temperature field distribution at k + 1;
- (6)
- Determine whether the temperature field distribution meets the convergence condition, and, if it does not, jump back to step (2);
- (7)
- Perform the k + 2 moment solution until the solution time is complete.

3. Experimental Verification
- (1)
- Open the bolts and flanges on the wall of the jacket tube.
- (2)
- Release the pressure in the annulus.
- (3)
- Replace the leak holes of other sizes and leak points of different depths.
- (4)
- Repeat the above experiment process.
4. Sensitivity Analysis
4.1. Leakage Rate
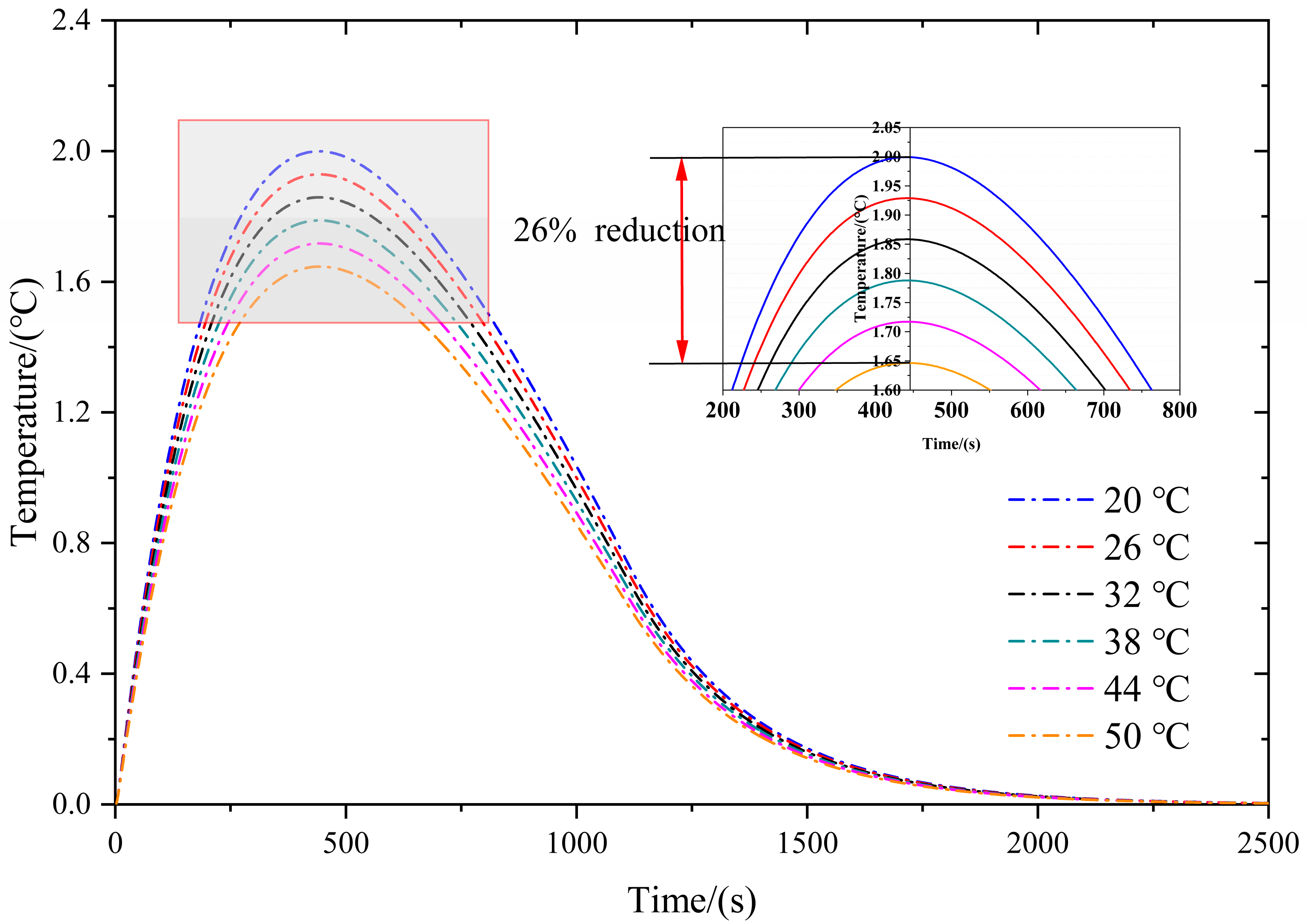
4.2. Ambient Temperature
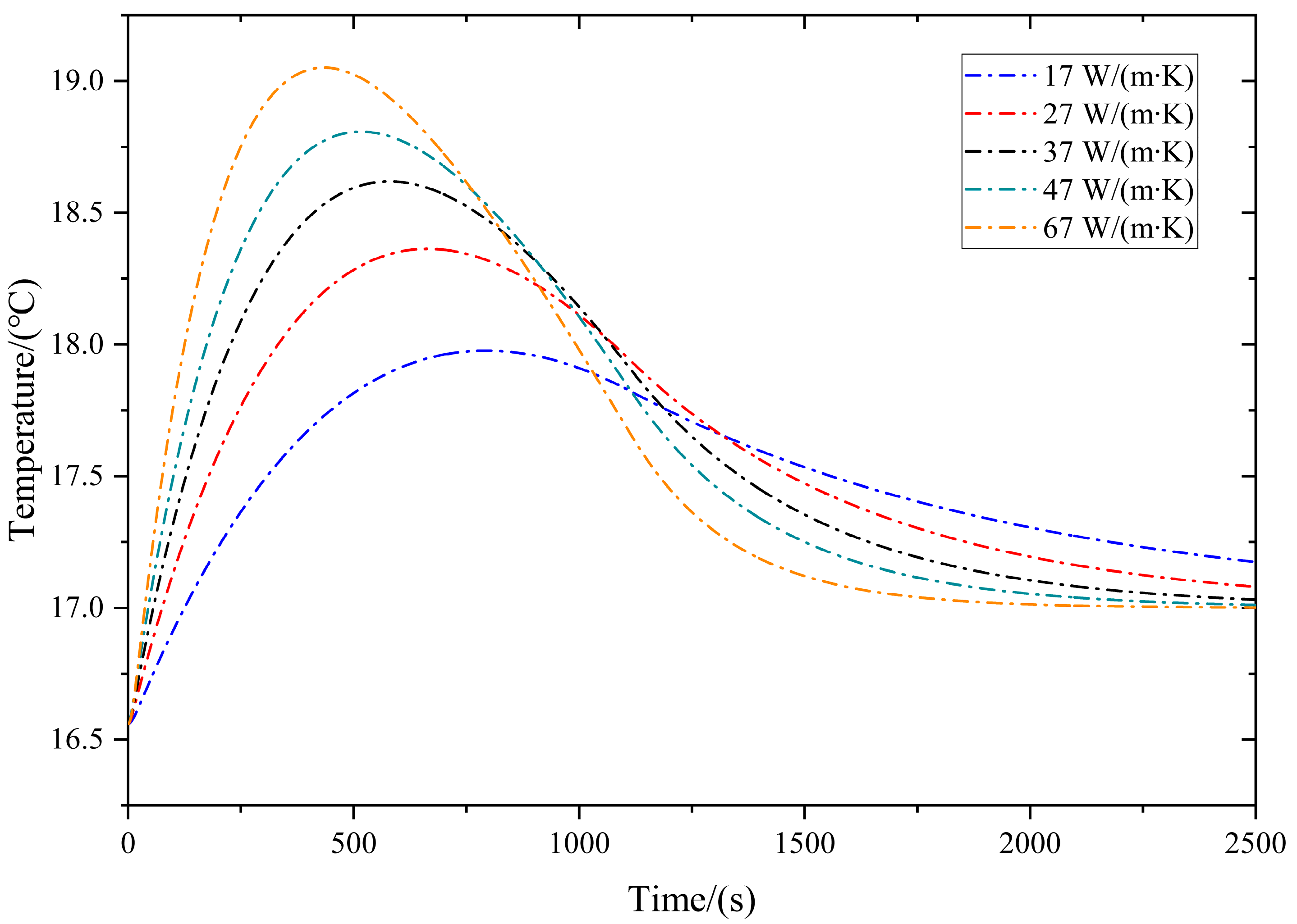
4.3. Heat Transfer Coefficient
5. Conclusions
- The formula for calculating the heat transfer at the leakage port under unsteady temperature conditions was established, and the quantitative relationship between the temperature difference and leakage rate was set by considering the Joule–Thomson effect. The predicted value of the gas leakage rate was obtained by inverting the temperature data of the string.
- A simulation test of leakage monitoring for the injection–production string of salt cavern gas storage was carried out. Combined with DTS monitoring technology, the measured temperature value of string leakage under pressure was obtained. By comparing the calculated value with the predicted value, the prediction of the leakage rate was realized, and the maximum error was less than 5%, which verified the accuracy of the mathematical model.
- The sensitivity of the leakage rate, ambient temperature, and related heat transfer coefficient was evaluated. The results showed that when the leakage rate value was reduced to 0.16 m3/h, it would be difficult to accurately monitor the DTS when the temperature change range was less than 0.5 °C; the ambient temperature significantly influences temperature monitoring, and the temperature fluctuation error at 20 to 50 °C is 26%. This influence factor should be considered when designing the DTS.
Author Contributions
Funding
Data Availability Statement
Acknowledgments
Conflicts of Interest
Nomenclature
| A | leakage port area, m2 |
| Cv,g | specific heat capacity of the fluid, J/(kg∙°C) |
| H | energy carried by the fluid, J/kg |
| M | molar mass of gas, kg/kmol |
| p | fluid pressure, Pa |
| PA | wellhead annulus pressure, Pa |
| R | molar gas constant, J/(mol∙K) |
| t | leakage time, s |
| T | temperature of leakage point, °C |
| Tf | temperature of pore fluid, °C |
| U | internal energy of a molar gas at every moment, J/kg |
| v | fluid leakage rate, m2/s |
| Z | compression factor |
| ρ | fluid density, kg/m3 |
| μjT | Joule–Thomson effect coefficient, K/Pa |
| Δt | increment of time, s |
| Δz | a micro-expression of the length of the leakage path from the pipe column to the annulus |
References
- Yang, C.; Wang, T. Deep Underground Energy Storage: Aiming for Carbon Neutrality and Its Challenges. In Engineering; Elsevier: Amsterdam, The Netherlands, 2023. [Google Scholar]
- Haldorsen, H.H. Invited Perspective: The Outlook for Energy: A View to 2040. J. Pet. Technol. 2015, 67, 14–19. [Google Scholar]
- Yang, C.; Wang, T.; Chen, H. Theoretical and Technological Challenges of Deep Underground Energy Storage in China. Engineering 2022. [Google Scholar] [CrossRef]
- Al-Shafi, M.; Massarweh, O.; Abushaikha, A.S.; Bicer, Y. A review on underground gas storage systems: Natural gas, hydrogen and carbon sequestration. Energy Rep. 2023, 9, 6251–6266. [Google Scholar] [CrossRef]
- Zhang, Y.; Oldenburg, C.M.; Zhou, Q.; Pan, L.; Freifeld, B.M.; Jeanne, P.; Tribaldos, V.R.; Vasco, D.W. Advanced monitoring and simulation for underground gas storage risk management. J. Pet. Sci. Eng. 2022, 208, 109763. [Google Scholar] [CrossRef]
- He, T.; Wang, T.; Wang, D.; Xie, D.; Dong, Z.; Zhang, H.; Ma, T.; Daemen, J. Integrity analysis of wellbores in the bedded salt cavern for energy storage. Energy 2023, 263, 125841. [Google Scholar] [CrossRef]
- Evans, D.J. A review of underground fuel storage events and putting risk into perspective with other areas of the energy supply chain. Geol. Soc. Lond. Spec. Publ. 2009, 313, 173–216. [Google Scholar] [CrossRef]
- Li, H.Z.; Saint-Vincent, P.M.B.; Mundia-Howe, M.; Pekney, N.J. A national estimate of U.S. underground natural gas storage incident emissions. Environ. Res. Lett. 2022, 17, 084013. [Google Scholar] [CrossRef]
- Zhao, L.; Yan, Y.; Wang, P.; Yan, X. A risk analysis model for underground gas storage well integrity failure (Article). J. Loss Prev. Process Ind. 2019, 62, 103951. [Google Scholar] [CrossRef]
- Jayawickrema, U.M.N.; Herath, H.; Hettiarachchi, N.; Sooriyaarachchi, H.; Epaarachchi, J. Fibre-optic sensor and deep learning-based structural health monitoring systems for civil structures: A review. Measurement 2022, 199, 111543. [Google Scholar] [CrossRef]
- Wang, J.; Han, Y.; Cao, Z.; Xu, X.; Zhang, J.; Xiao, F. Applications of optical fiber sensor in pavement Engineering: A review. Constr. Build. Mater. 2023, 400, 132713. [Google Scholar] [CrossRef]
- Sun, Y.; Xue, Z.; Hashimoto, T. Fiber optic distributed sensing technology for real-time monitoring water jet tests: Implications for wellbore integrity diagnostics. J. Nat. Gas Sci. Eng. 2018, 58, 241–250. [Google Scholar] [CrossRef]
- Tabjula, J.L.; Wei, C.; Sharma, J.; Santos, O.L.; Chen, Y.; Kunju, M.; Almeida, M.; Upchurch, E.R.; Samdani, G.A.; Moganaradjou, Y.; et al. Well-scale experimental and numerical modeling studies of gas bullheading using fiber-optic DAS and DTS. Geoenergy Sci. Eng. 2023, 225, 211662. [Google Scholar] [CrossRef]
- Leone, M. (INVITED)Advances in fiber optic sensors for soil moisture monitoring: A review. Results Opt. 2022, 7, 100213. [Google Scholar] [CrossRef]
- Liu, Y.H.; Ai, G. Numerical Study on the Heat Transfer in the Leakage of Pressure Vessels Considering the Joule-Thomson Cooling Effect. Procedia Eng. 2015, 130, 232–249. [Google Scholar] [CrossRef]
- Nuñez-Lopez, V.; Muñoz-Torres, J.; Zeidouni, M. Temperature monitoring using Distributed Temperature Sensing (DTS) technology. Energy Procedia 2014, 63, 3984–3991. [Google Scholar] [CrossRef]
- Tarmoom, I.; Thabet, H.B.; Samad, S.; Chishti, K.; Hussain, A.; Arafat, M. A Comprehensive Approach to Well-Integrity Management in Adma-Opco. In SPE Middle East Oil and Gas Show and Conference; SPE: Kuala Lumpur, Malaysia, 2007. [Google Scholar]
- Wu, S.; Zhang, L.; Fan, J.; Zhang, X.; Zhou, Y.; Wang, D. Prediction analysis of downhole tubing leakage location for offshore gas production wells. Measurement 2018, 127, 546–553. [Google Scholar] [CrossRef]
- Kabir, C.; Izgec, B.; Hasan, A.; Wang, X. Computing flow profiles and total flow rate with temperature surveys in gas wells. J. Nat. Gas Sci. Eng. 2012, 4, 1–7. [Google Scholar] [CrossRef]
- Alan, C.; Cinar, M. Interpretation of temperature transient data from coupled reservoir and wellbore model for single phase fluids. J. Pet. Sci. Eng. 2022, 209, 109913. [Google Scholar] [CrossRef]
- Pan, L.; Oldenburg, C.M.; Wu, Y.-S.; Pruess, K. Wellbore flow model for carbon dioxide and brine. Energy Procedia 2009, 1, 71–78. [Google Scholar] [CrossRef]
- Wiese, B. Thermodynamics and heat transfer in a CO2 injection well using distributed temperature sensing (DTS) and pressure data. Int. J. Greenh. Gas Control 2014, 21, 232–242. [Google Scholar] [CrossRef]
- Soliman, E.M.; Lee, D.; Stormont, J.C.; Taha, M.M.R. New mathematical formulations for accurate estimate of nitrogen leakage rate using distributed temperature sensing in Mechanical Integrity Tests. J. Pet. Sci. Eng. 2022, 215, 110710. [Google Scholar] [CrossRef]
- Trudel, E.; Frigaard, I.A. Stochastic modelling of wellbore leakage in British Columbia. J. Pet. Sci. Eng. 2023, 220, 111199. [Google Scholar] [CrossRef]
- Wu, S.; Zhang, L.; Fan, J.; Zhang, X.; Liu, D.; Wang, D. A leakage diagnosis testing model for gas wells with sustained casing pressure from offshore platform. J. Nat. Gas Sci. Eng. 2018, 55, 276–287. [Google Scholar] [CrossRef]
- Hasan, A.R.; Kabir, C.S. Wellbore heat-transfer modeling and applications (Review). J. Pet. Sci. Eng. 2012, 86–87, 127–136. [Google Scholar] [CrossRef]
- Wang, T.; Chai, G.; Cen, X.; Yang, J.; Daemen, J. Safe distance between debrining tubing inlet and sediment in a gas storage salt cavern. J. Pet. Sci. Eng. 2021, 196, 107707. [Google Scholar] [CrossRef]











| DTS | Index |
|---|---|
| Detection unit length (spatial resolution) | 0.02 m |
| Positioning accuracy | ±1 m |
| Measuring time | <30 s |
| Temperature resolution | 0.1 °C |
| Sampling interval | 0.02 m |
| Temperature variation accuracy | 0.5 °C (2000 m) |
| No. | Leakage Position (m) | Test Phase | Average Leakage Rate (m3/h) | Interface Displacement (m/h) |
|---|---|---|---|---|
| W1# | 892.1~894.5 | Phase 1 | 3.06 | 4.33 |
| Phase 2 | 0.71 | 4.11 | ||
| W2# | 893.2~895.4 | Phase 1 | 0.10 | 0.40 |
| Phase 2 | 0.08 | 0.08 | ||
| W3# | 894.3~896.2 | Phase 1 | 0.16 | 1.05 |
| Phase 2 | 0.03 | 0.42 | ||
| W4# | 903.2~904.3 | Phase 1 | 0.12 | 0.05 |
| Phase 2 | 0.04 | 0.18 | ||
| W5# | 888.9~889.7 | Phase 1 | 0.14 | 0.24 |
| Phase 2 | 0.09 | 0.03 |
| Parameter | Value | Parameter | Value |
|---|---|---|---|
| Wellbore diameter | 0.254 m | Ground temperature | 20 °C |
| Gas recovery rate | 35 m3/s | Geothermal gradient | 0.03 °C/m |
| Gas production duration | 8 d | Resting time | 8 d |
| Initial gas storage pressure | 16.5 MPa | The density of the surrounding rock | 2650 kg/m3 |
| Specific heat of gas | 2347 J/(kg∙K) | Thermal conductivity of gas | 0.15 W/(m∙K) |
| Specific heat of surrounding rock | 999 J/(kg∙K) | Thermal conductivity of surrounding rock | 2.09 W/(m∙K) |
Disclaimer/Publisher’s Note: The statements, opinions and data contained in all publications are solely those of the individual author(s) and contributor(s) and not of MDPI and/or the editor(s). MDPI and/or the editor(s) disclaim responsibility for any injury to people or property resulting from any ideas, methods, instructions or products referred to in the content. |
© 2023 by the authors. Licensee MDPI, Basel, Switzerland. This article is an open access article distributed under the terms and conditions of the Creative Commons Attribution (CC BY) license (https://creativecommons.org/licenses/by/4.0/).
Share and Cite
Jiang, T.; Cao, D.; Liao, Y.; Xie, D.; He, T.; Zhang, C. Leakage Monitoring and Quantitative Prediction Model of Injection–Production String in an Underground Gas Storage Salt Cavern. Energies 2023, 16, 6173. https://doi.org/10.3390/en16176173
Jiang T, Cao D, Liao Y, Xie D, He T, Zhang C. Leakage Monitoring and Quantitative Prediction Model of Injection–Production String in an Underground Gas Storage Salt Cavern. Energies. 2023; 16(17):6173. https://doi.org/10.3390/en16176173
Chicago/Turabian StyleJiang, Tingting, Dongling Cao, Youqiang Liao, Dongzhou Xie, Tao He, and Chaoyang Zhang. 2023. "Leakage Monitoring and Quantitative Prediction Model of Injection–Production String in an Underground Gas Storage Salt Cavern" Energies 16, no. 17: 6173. https://doi.org/10.3390/en16176173
APA StyleJiang, T., Cao, D., Liao, Y., Xie, D., He, T., & Zhang, C. (2023). Leakage Monitoring and Quantitative Prediction Model of Injection–Production String in an Underground Gas Storage Salt Cavern. Energies, 16(17), 6173. https://doi.org/10.3390/en16176173

