Higher Electrical Conductivity of Functionalized Graphene Oxide Doped with Silver and Copper (II) Ions
Abstract
:1. Introduction
2. Materials and Methods
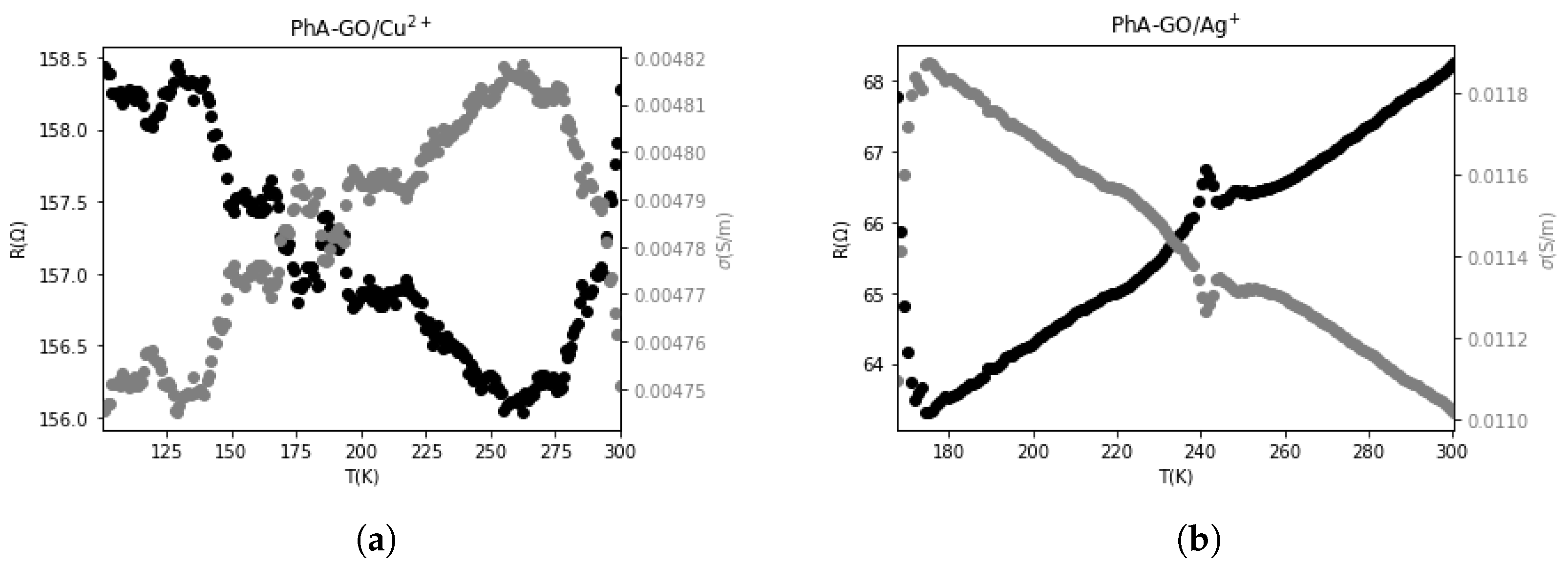
3. Result and Discussion
4. Conclusions
Author Contributions
Funding
Acknowledgments
Conflicts of Interest
References
- Bonaccorso, F.; Colombo, L.; Yu, G.; Stoller, M.; Tozzini, V.; Ferrari, A.C.; Ruoff, R.S.; Pellegrini, V. Graphene, related two-dimensional crystals, and hybrid systems for energy conversion and storage. Science 2015, 347, 1246501. [Google Scholar] [CrossRef] [PubMed]
- Huang, X.; Yin, Z.; Wu, S.; Qi, X.; He, Q.; Zhang, Q.; Yan, Q.; Boey, F.; Zhang, H. Graphene-Based Materials: Synthesis, Characterization, Properties, and Applications. Small 2011, 7, 1876–1902. [Google Scholar] [CrossRef] [PubMed]
- Osman, A.; Elhakeem, A.; Kaytbay, S.; Ahmed, A. A comprehensive review on the thermal, electrical, and mechanical properties of graphene-based multi-functional epoxy composites. Adv. Compos. Hybrid Mater. 2022, 5, 547–605. [Google Scholar] [CrossRef]
- Park, H.J.; Meyer, J.; Roth, S.; Skákalová, V. Growth and properties of few-layer graphene prepared by chemical vapor deposition. Carbon 2010, 48, 1088–1094. [Google Scholar] [CrossRef]
- Sharma, S.S.A.; Bashir, S.; Kasi, R.; Subramaniam, R.T. The significance of graphene based composite hydrogels as smart materials: A review on the fabrication, properties, and its applications. FlatChem 2022, 33, 100352. [Google Scholar] [CrossRef]
- Chung, C.; Kim, Y.K.; Shin, D.; Ryoo, S.R.; Hong, B.H.; Min, D.H. Biomedical Applications of Graphene and Graphene Oxide. Acc. Chem. Res. 2013, 46, 2211–2224. [Google Scholar] [CrossRef]
- Shen, S.; Wang, J.; Wu, Z.; Du, Z.; Tang, Z.; Yang, J. Graphene Quantum Dots with High Yield and High Quality Synthesized from Low Cost Precursor of Aphanitic Graphite. Nanomaterials 2020, 10, 375. [Google Scholar] [CrossRef]
- Sun, L.; Fugetsu, B. Mass production of graphene oxide from expanded graphite. Mater. Lett. 2013, 109, 207–210. [Google Scholar] [CrossRef]
- Yu, P.; Lowe, S.; Simon, G.; Zhong, Y. Electrochemical exfoliation of graphite and production of functional graphene. Curr. Opin. Colloid Interface Sci. 2015, 20, 329–338. [Google Scholar] [CrossRef]
- Oliveira, A.E.F.; Braga, G.B.; Tarley, C.R.T.; Pereira, A.C. Thermally reduced graphene oxide: Synthesis, studies and characterization. J. Mater. Sci. 2018, 53, 12005–12015. [Google Scholar] [CrossRef]
- Inagaki, M.; Tashiro, R.; Washino, Y.I.; Toyoda, M. Exfoliation process of graphite via intercalation compounds with sulfuric acid. J. Phys. Chem. Solids 2004, 65, 133–137. [Google Scholar] [CrossRef]
- Liu, M.; Zhang, X.; Wu, W.; Liu, T.; Liu, Y.; Guo, B.; Zhang, R. One-step chemical exfoliation of graphite to 100% few-layer graphene with high quality and large size at ambient temperature. Chem. Eng. J. 2019, 355, 181–185. [Google Scholar] [CrossRef]
- Letoffé, A.; Cuynet, S.; Noel, C.; de Poucques, L.; Royaud, I.; Hérold, C.; Henrion, G.; Ponçot, M.; Fontana, S. Functionalization and exfoliation of graphite with low temperature pulse plasma in distilled water. Phys. Chem. Chem. Phys. 2022, 24, 5578–5589. [Google Scholar] [CrossRef] [PubMed]
- Loudiki, A.; Matrouf, M.; Azriouil, M.; Farahi, A.; Lahrich, S.; Bakasse, M.; El Mhammedi, M. Preparation of graphene samples via electrochemical exfoliation of pencil electrode: Physico-electrochemical Characterization. Appl. Surf. Sci. Adv. 2022, 7, 100195. [Google Scholar] [CrossRef]
- Aksu, Z.; Şahin, C.H.; Alanyalıoğlu, M. Fabrication of Janus GO/rGO humidity actuator by one-step electrochemical reduction route. Sens. Actuators B Chem. 2022, 354, 131198. [Google Scholar] [CrossRef]
- Padma, N. Exfoliation Routes to the Production of Nanoflakes of Graphene Analogous 2D Materials and Their Applications. In Handbook on Synthesis Strategies for Advanced Materials; Springer: Berlin/Heidelberg, Germany, 2022; pp. 377–443. [Google Scholar]
- Liu, W.W.; Aziz, A. Review on the Effects of Electrochemical Exfoliation Parameters on the Yield of Graphene Oxide. ACS Omega 2022, 7, 33719–33731. [Google Scholar] [CrossRef]
- Biranje, P.M.; Patwardhan, A.W.; Joshi, J.B.; Prakash, J.; Dasgupta, K. Kinetic study of graphene oxide synthesis by electrochemical exfoliation of graphite. J. Ind. Eng. Chem. 2023, 119, 335–345. [Google Scholar] [CrossRef]
- Lei, Z.; Zhang, J.; Zhang, L.L.; Kumar, N.A.; Zhao, X.S. Functionalization of chemically derived graphene for improving its electrocapacitive energy storage properties. Energy Environ. Sci. 2016, 9, 1891–1930. [Google Scholar] [CrossRef]
- Wang, H.S.; Tian, S.Y.; Yang, S.W.; Wang, G.; You, X.F.; Xu, L.X.; Li, Q.T.; He, P.; Ding, G.Q.; Liu, Z.; et al. Anode coverage for enhanced electrochemical oxidation: A green and efficient strategy towards water-dispersible graphene. Green Chem. 2018, 20, 1306–1315. [Google Scholar] [CrossRef]
- Li, C.; Shi, Y.; Chen, X.; He, D.; Shen, L.; Bao, N. Controlled synthesis of graphite oxide: Formation process, oxidation kinetics, and optimized conditions. Chem. Eng. Sci. 2018, 176, 319–328. [Google Scholar] [CrossRef]
- Wang, X.; Sun, G.; Routh, P.; Kim, D.H.; Huang, W.; Chen, P. Heteroatom-doped graphene materials: Syntheses, properties and applications. Chem. Soc. Rev. 2014, 43, 7067–7098. [Google Scholar] [CrossRef] [PubMed]
- Xie, G.; Forslund, M.; Pan, J. Direct Electrochemical Synthesis of Reduced Graphene Oxide (rGO)/Copper Composite Films and Their Electrical/Electroactive Properties. ACS Appl. Mater. Interfaces 2014, 6, 7444–7455. [Google Scholar] [CrossRef] [PubMed]
- Quan, J.; Zhang, J.; Li, J.; Zhang, X.; Wang, M.; Wang, N.; Zhu, Y. Three-dimensional AgNPs-graphene-AgNPs sandwiched hybrid nanostructures with sub-nanometer gaps for ultrasensitive surface-enhanced Raman spectroscopy. Carbon 2019, 147, 105–111. [Google Scholar] [CrossRef]
- Tadyszak, K.; Majchrzycki, Ł.; Szyller, Ł.; Scheibe, B. Preparation and characterization of partially reduced graphene oxide aerogels doped with transition metal ions. J. Mater. Sci. 2018, 53, 16086–16098. [Google Scholar] [CrossRef]
- Jibrael, R.I.; Mohammed, M.K. Production of graphene powder by electrochemical exfoliation of graphite electrodes immersed in aqueous solution. Optik 2016, 127, 6384–6389. [Google Scholar] [CrossRef]
- Zhang, R.; Yang, Y.; Guo, L.; Luo, Y. A fast and high-efficiency electrochemical exfoliation strategy towards antimonene/carbon composite for selective lubrication and sodium-ion storage applications. Phys. Chem. Chem. Phys. 2022, 24, 4957–4965. [Google Scholar] [CrossRef]
- Kochergin, V.; Komarova, N.; Kotkin, A.; Manzhos, R.; Krivenko, A. Bipolar Electrochemical Exfoliation of Graphite for Synthesizing Electrocatalysts of Oxygen Reduction. Russ. J. Electrochem. 2022, 58, 88–92. [Google Scholar] [CrossRef]
- Pavoski, G.; Maraschin, T.; Fim, F.d.C.; Balzaretti, N.M.; Galland, G.B.; Moura, C.S.; Basso, N.R.d.S. Few layer reduced graphene oxide: Evaluation of the best experimental conditions for easy production. Mater. Res. 2016, 20, 53–61. [Google Scholar] [CrossRef]
- Devi, L.G.; Murthy, B.N.; Kumar, S.G. Photocatalytic activity of TiO2 doped with Zn2+ and V5+ transition metal ions: Influence of crystallite size and dopant electronic configuration on photocatalytic activity. Mater. Sci. Eng. B 2010, 166, 1–6. [Google Scholar] [CrossRef]
- Yang, H.; Shan, C.; Li, F.; Han, D.; Zhang, Q.; Niu, L. Covalent functionalization of polydisperse chemically-converted graphene sheets with amine-terminated ionic liquid. Chem. Commun. 2009, 26, 3880–3882. [Google Scholar] [CrossRef]
- Fathy, M.; Moghny, T.A.; Mousa, M.A.; El-Bellihi, A.H.A.A.; Awadallah, A.E. Absorption of calcium ions on oxidized graphene sheets and study its dynamic behavior by kinetic and isothermal models. Appl. Nanosci. 2016, 6, 1105–1117. [Google Scholar] [CrossRef]
- Zhang, C.; Fu, X.; Yan, Q.; Li, J.; Fan, X.; Zhang, G. Study on the thermal decomposition mechanism of graphene oxide functionalized with triaminoguanidine (GO-TAG) by molecular reactive dynamics and experiments. RSC Adv. 2019, 9, 33268–33281. [Google Scholar] [CrossRef]
- Li, X.; Bandyopadhyay, P.; Nguyen, T.T.; Park, O.-k.; Lee, J.H. Fabrication of functionalized graphene oxide/maleic anhydride grafted polypropylene composite film with excellent gas barrier and anticorrosion properties. J. Membr. Sci. 2018, 547, 80–92. [Google Scholar] [CrossRef]
- Al-Tamimi, B.H.; Farid, S.B.H.; Chyad, F.A. Modified Unzipping Technique to Prepare Graphene Nano-Sheets. J. Phys. Conf. Ser. 2018, 1003, 012020. [Google Scholar] [CrossRef]
- Sedaghat, S.; Ahadian, M.M.; Jafarian, M.; Hatamie, S. Model Fuel Deep Desulfurization Using Modified 3D Graphenic Adsorbents: Isotherm, Kinetic, and Thermodynamic Study. Ind. Eng. Chem. Res. 2019, 58, 10341–10351. [Google Scholar] [CrossRef]
- Kumar, S. Spectroscopy of organic compounds. Cosm. Rays 2006, 10, 1–36. [Google Scholar]
- Kettle, S.F.A. Physical Inorganic Chemistry; Springer: Berlin/Heidelberg, Germany, 1996. [Google Scholar] [CrossRef]
- Kettle, S. Physical Inorganic Chemistry: A Coordination Chemistry Approach; Springer: Berlin/Heidelberg, Germany, 2013. [Google Scholar]
- Cordeiro, G.L.; Ussui, V.; Messias, N.A.; Piasentin, R.M.; de Lima, N.B.; Neto, A.O.; Lazar, D.R. Effect of Sn loading on the characteristics of Pt electrocatalysts supported on reduced graphene oxide for application as direct ethanol fuel cell anode. Int. J. Electrochem. Sci. 2017, 12, 3795–3813. [Google Scholar] [CrossRef]
- Johra, F.T.; Lee, J.W.; Jung, W.G. Facile and safe graphene preparation on solution based platform. J. Ind. Eng. Chem. 2014, 20, 2883–2887. [Google Scholar] [CrossRef]
- Ban, F.; Majid, S.R.; Huang, N.M.; Lim, H. Graphene oxide and its electrochemical performance. Int. J. Electrochem. Sci. 2012, 7, 4345–4351. [Google Scholar] [CrossRef]
- Najafi, F.; Moradi, O.; Rajabi, M.; Asif, M.; Tyagi, I.; Agarwal, S.; Gupta, V.K. Thermodynamics of the adsorption of nickel ions from aqueous phase using graphene oxide and glycine functionalized graphene oxide. J. Mol. Liq. 2015, 208, 106–113. [Google Scholar] [CrossRef]
- Bark, H.; Ko, M.; Lee, M.; Lee, W.; Hong, B.; Lee, H. Thermoelectric properties of thermally reduced graphene oxide observed by tuning the energy states. ACS Sustain. Chem. Eng. 2018, 6, 7468–7474. [Google Scholar] [CrossRef]
- Kaiser, A.B.; Skákalová, V. Electronic conduction in polymers, carbon nanotubes and graphene. Chem. Soc. Rev. 2011, 40, 3786. [Google Scholar] [CrossRef] [PubMed]
- Neto, A.C.; Guinea, F.; Peres, N.M. Drawing conclusions from graphene. Phys. World 2006, 19, 33. [Google Scholar] [CrossRef]
- Liang, B.; Song, Z.; Wang, M.; Wang, L.; Jiang, W. Fabrication and Thermoelectric Properties of Graphene/Bi2Te3Composite Materials. J. Nanomater. 2013, 2013, 210767. [Google Scholar] [CrossRef]
- Poyato, R.; Osuna, J.; Morales-Rodríguez, A.; Gallardo-López, Á. Electrical conduction mechanisms in graphene nanoplatelet/yttria tetragonal zirconia composites. Ceram. Int. 2018, 44, 14610–14616. [Google Scholar] [CrossRef]
- Pham, V.H.; Pham, H.D.; Dang, T.T.; Hur, S.H.; Kim, E.J.; Kong, B.S.; Kim, S.; Chung, J.S. Chemical reduction of an aqueous suspension of graphene oxide by nascent hydrogen. J. Mater. Chem. 2012, 22, 10530. [Google Scholar] [CrossRef]
- Fogler, M.; Teber, S.; Shklovskii, B. Variable-range hopping in quasi-one-dimensional electron crystals. Phys. Rev. B 2004, 69, 035413. [Google Scholar] [CrossRef]
- Liu, H.; Pourret, A.; Guyot-Sionnest, P. Mott and Efros-Shklovskii variable range hopping in CdSe quantum dots films. ACS Nano 2010, 4, 5211–5216. [Google Scholar] [CrossRef]
- El Hassan, M.; Dlimi, S.; Limouny, L.; El Oujdi, A.; Echchelh, A.; El Kaaouachi, A. Electrical transport phenomenon and variable range hopping conduction in reduced graphene oxide/polystyrene composites. Mol. Cryst. Liq. Cryst. 2022, 726, 82–89. [Google Scholar] [CrossRef]
- Chung, F.Y.; Hasibuan, D.P.; Saragih, C.S.; Patil, R.A.; Tsai, C.H.; Liou, Y.; Ma, Y.R. Transmission-path Dependent Electron Hopping Transport in Thin Films and Nanorods of NiO. Surf. Interfaces 2022, 30, 101845. [Google Scholar] [CrossRef]
- Kovtun, A.; Candini, A.; Vianelli, A.; Boschi, A.; Dell’Elce, S.; Gobbi, M.; Kim, K.H.; Avila, S.L.; Samorì, P.; Affronte, M.; et al. Multiscale Charge Transport in van der Waals Thin Films: Reduced Graphene Oxide as a Case Study. ACS Nano 2021, 15, 2654–2667. [Google Scholar] [CrossRef] [PubMed]














| Characteristics | Stages of Degradation | ||
|---|---|---|---|
| 25–100 C | 100–488 C | 488–1000 C | |
| Weight loss (%) | 1.40 | 17.00 | 58.5 |
| Residue (%) at 1000 C | 23.1 | ||
| Sample | (S/m) | (K) | (S/m) | ||
|---|---|---|---|---|---|
| GO | 167.16 | 4.49 | 298.30 | 167.16 | 4.49 |
| PhA-GO/Cu | 158.26 | 4.77 | 255.13 | 156.05 | 4.81 |
| PhA-GO/Ag | 68.11 | 1.10 | 174.47 | 63.3 | 11.87 |
| Sample | (meV) |
|---|---|
| PhA-GO/Cu | 0.0330 ± 0.002 |
| PhA-GO/Ag | (2.0 ± 0.9) |
Disclaimer/Publisher’s Note: The statements, opinions and data contained in all publications are solely those of the individual author(s) and contributor(s) and not of MDPI and/or the editor(s). MDPI and/or the editor(s) disclaim responsibility for any injury to people or property resulting from any ideas, methods, instructions or products referred to in the content. |
© 2023 by the authors. Licensee MDPI, Basel, Switzerland. This article is an open access article distributed under the terms and conditions of the Creative Commons Attribution (CC BY) license (https://creativecommons.org/licenses/by/4.0/).
Share and Cite
Pereira, N.G.A.; Gonzaléz, M.E.L.; Queiroz, A.A.A.d.; Oliveira, A.F.; Tavares Wanderley Neto, E. Higher Electrical Conductivity of Functionalized Graphene Oxide Doped with Silver and Copper (II) Ions. Energies 2023, 16, 7019. https://doi.org/10.3390/en16207019
Pereira NGA, Gonzaléz MEL, Queiroz AAAd, Oliveira AF, Tavares Wanderley Neto E. Higher Electrical Conductivity of Functionalized Graphene Oxide Doped with Silver and Copper (II) Ions. Energies. 2023; 16(20):7019. https://doi.org/10.3390/en16207019
Chicago/Turabian StylePereira, Nelson Gustavo Alves, Maria Elena Leyva Gonzaléz, Alvaro Antonio Alencar de Queiroz, Adhimar Flávio Oliveira, and Estácio Tavares Wanderley Neto. 2023. "Higher Electrical Conductivity of Functionalized Graphene Oxide Doped with Silver and Copper (II) Ions" Energies 16, no. 20: 7019. https://doi.org/10.3390/en16207019
APA StylePereira, N. G. A., Gonzaléz, M. E. L., Queiroz, A. A. A. d., Oliveira, A. F., & Tavares Wanderley Neto, E. (2023). Higher Electrical Conductivity of Functionalized Graphene Oxide Doped with Silver and Copper (II) Ions. Energies, 16(20), 7019. https://doi.org/10.3390/en16207019

