Adaptive Neural Network Q-Learning-Based Full Recurrent Adaptive NeuroFuzzy Nonlinear Control Paradigms for Bidirectional-Interlinking Converter in a Grid-Connected Hybrid AC-DC Microgrid
Abstract
1. Introduction
Remark
| Ref. No. | Year | Frequency Regulation | Voltage Regulation | THD Reduction | Limitations/Features | |
|---|---|---|---|---|---|---|
| [33] | 2016 | ✗ | ✓ | ✓ | ☞ | Independent of communication and model parameters. However, general hybrid AC-DC model is assumed with negligence of frequency regulation. |
| [34] | 2017 | ✗ | ✓ | ✗ | ☞ | Applicable only on low voltage hybrid grid. Frequency regulation and THD reduction are neglected. |
| [35] | 2018 | ✗ | ✓ | ✗ | ☞ | Leader follower consensus and particle swarm optimization are prone to SPF . Only voltage regulation is considered. |
| [36] | 2019 | ✗ | ✗ | ✗ | ☞ | Synchronization control increases the risk of SPF. Only voltage regulation is considered. |
| [37] | 2020 | ✓ | ✓ | ✗ | ☞ | Hierarchical control strategy has drawback of SPF. THD reduction is neglected. |
| [18] | 2021 | ✗ | ✓ | ✓ | ☞ | Model predictive control algorithm requires model and parameters. It is complex and consumes more time. Moreover, frequency regulation is neglected. |
| [38] | 2021 | ✗ | ✗ | ✓ | ☞ | Plug-in-hybrid vehicles and other renewable resources are not taken into account. THD reduction is neglected. |
| [39] | 2021 | ✗ | ✓ | ✗ | ☞ | PI controller cannot operate under highly nonlinear conditions and prone to SPF. Only voltage regulation is considered. |
| [40] | 2022 | ✓ | ✓ | ✗ | ☞ | Coordinated control scheme requires communication network. THD regulation is neglected. |
| [41] | 2022 | ✗ | ✓ | ✓ | ☞ | Multiple control schemes are integrated. SPF of any control scheme results in power instability that may lead to blackout. Only wind power, PV and BSS are considered. Frequency regulation is neglected. |
| Proposed | 2022 | ✓ | ✓ | ✓ | ☞ | Model free control strategy is used. No communication required. Advantages of Q-learning and full recurrent neurfuzzy are combined to avoid SPF. Complete microgrid with multiple DGs is considered. Real time solar irradiance, temperature and wind speed is used. Optimal active-reactive power flow, voltage-frequency regulation, and THD reduction are considered. |
2. System Overview and Model Description
Modeling and Description of Interlinking Inverter
3. Supervisory Control of Microgrid and Operation Strategy
3.1. Modes of Operation of Supervisory Control System
3.1.1. Mode of Power Deficit
Mode 1: WT, PV and BSS Fulfill the Load Demand
Mode 2: WT, PV, BSS and SC Fulfill the Load Demand
Mode 3: WT, PV, BSS, SC and SOFC Fulfill the Load Demand
Mode 4: WT, PV, BSS, SC, SOFC and Grid Fulfill the Load Demand
Mode 5: WT, PV, BSS, SC, SOFC, Grid and MT Fulfill the Load Demand
3.1.2. Modes of Excess Power
Mode 6: Excess Power Given to Electrolyzer
Mode 7: Excess Power Given to SC and Electrolyzer
Mode 8: Excess Power Given to SC, Grid, and Electrolyzer
Mode 9: Excess Power Given to SC, Grid, and Electrolyzer, while BSS Is Disconnected
4. Description and Modeling of Proposed Control Schemes
5. Neural Network Q-Learning-Based Full Recurrent Adaptive NeuroFuzzy Control
5.1. Back Propagation NN for Estimating
6. Full Recurrent Adpative NeuroFuzzy Architectures
6.1. Variants of Antecedent Part
6.1.1. Gaussian Membership Function
- local and nonlinear nature
- smooth output
6.1.2. B-Spline Membership Function
6.2. Variants of Consequent Part
6.2.1. Fuzzy Wavelet Neural Networks (NNs)
- Mexican hat wavelet (MHW) is a negative normalized, non-orthogonal second derivative of Gaussian function. MHW function is expressed as;where, is the family of wavelets obtained by single function, , represents the output of the consequent part, is adaptive recurrent feedback weight, is the translation, and for is dilation respectively.
- Morlet wavelet (Mor-W) is given as [44]:where;where represents the output of the consequent part, is adaptive recurrent feedback weight, is the translation, and is dilation of Mor-W.
- Legendre wavelets (Leg-W) are also known as spherical harmonic wavelets. They are based on Legendre polynomial, compactly supported, and orthonormal wavelets. They can be expressed as [45]:where, and shows decomposition level and integer translation, respectively. shows the Legendre polynomial as given in (66), with k being the degree of the polynomial [45].where, . The first four Legendre polynomials for used in this work are given below [45]:Six Leg-W basis functions were used in this research work for and defined on .
7. Proposed Full Recurrent Adaptive NeuroFuzzy Identifier
- Layer 1
- Layer 2
- Layer 3
- Layer 4
- Layer 5
- Layer 6
- Layer 7
7.1. Optimization Algorithm
8. Full Recurrent Adaptive NeuroFuzzy Identifiers
8.1. FRNF-HBs-LegW Identifier
8.2. FRNF-MHW Identifier
8.3. FRNF-Mor-W Identifier
9. Exploration Policy and Action Modifier
10. Proposed Hybrid Adaptive Neural Network Q-Learning-Based Full Recurrent Adaptive NeuroFuzzy Control Paradigms
- Hybrid adaptive full recurrent Legendre wavelet-based Neural Network Q-learning controlIn this control scheme, the NNQLNF was embedded with an FRNF-Leg wavelet identifier, discussed in Section 5.1 and Section 8.1.
- Hybrid adaptive full recurrent Mexican hat wavelet-based Neural Network Q-learning controlIn this control scheme, the NNQLNF was embedded with the FRNF-MHW identifier, discussed in Section 5.1 and Section 8.2.
- Hybrid adaptive full recurrent molet wavelet-based Neural Network Q-learning-based controlIn this control scheme, the NNQLNF was embedded with the FRNF-Mor-W identifier, discussed in Section 5.1 and Section 8.3.
11. Implementation Procedure of Hybrid Adaptive NNQLNF Control Paradigms
- In the first step, the initialization of , the parameters of FRNF and the weights , of QEN took place.
- Control output was obtained from the FRNF identifier.
- was then processed by AEM, according to Equation (103).
- was the actual control output fed to the system.
- The estimated was obtained from QEN, depending on control action, previous and current states.
- QEN was updated, based on Equations (43) and (46).
- Parameters of FRNF were updated.
- was updated to .
- If the parameters of QEN and FRNF were not updated for a specific interval of time, then the learning procedure terminated; otherwise, the algorithm was repeated from step 2 again.
12. PQ Control of Interlinking Inverter Using Hybrid Adaptive NN Based Q-Learning Full Recurrent Adaptive NeuroFuzzy Control Paradigms
13. Formulation of Control Problem
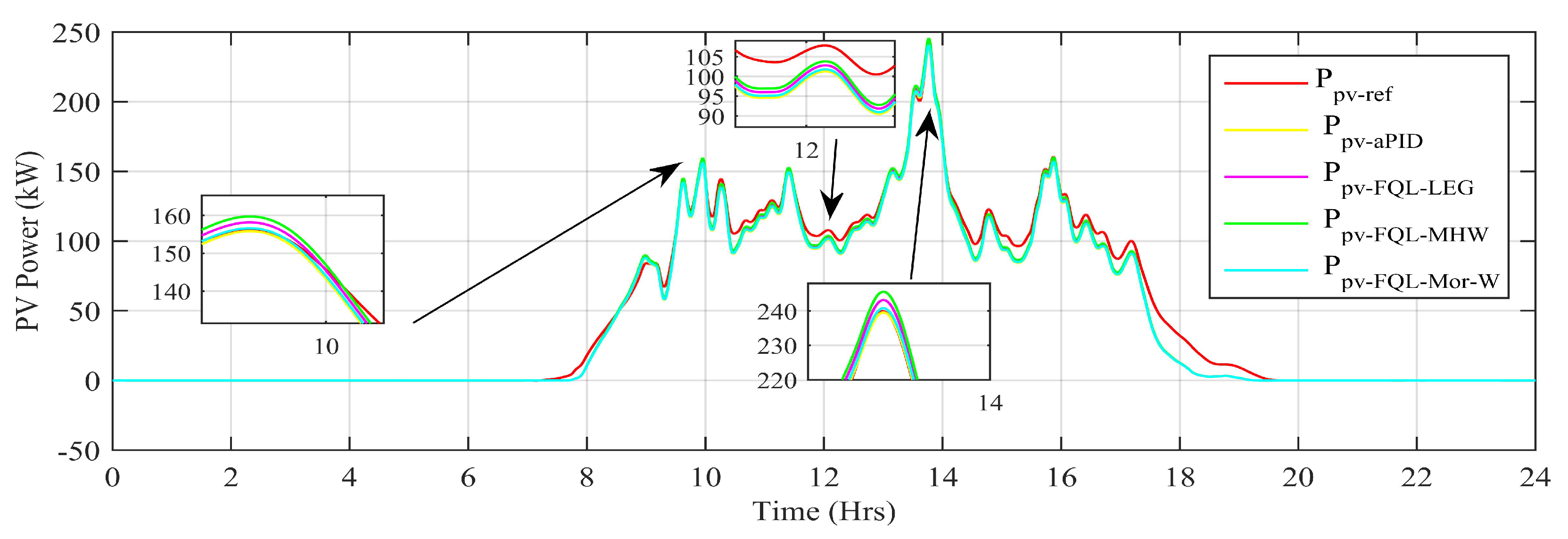
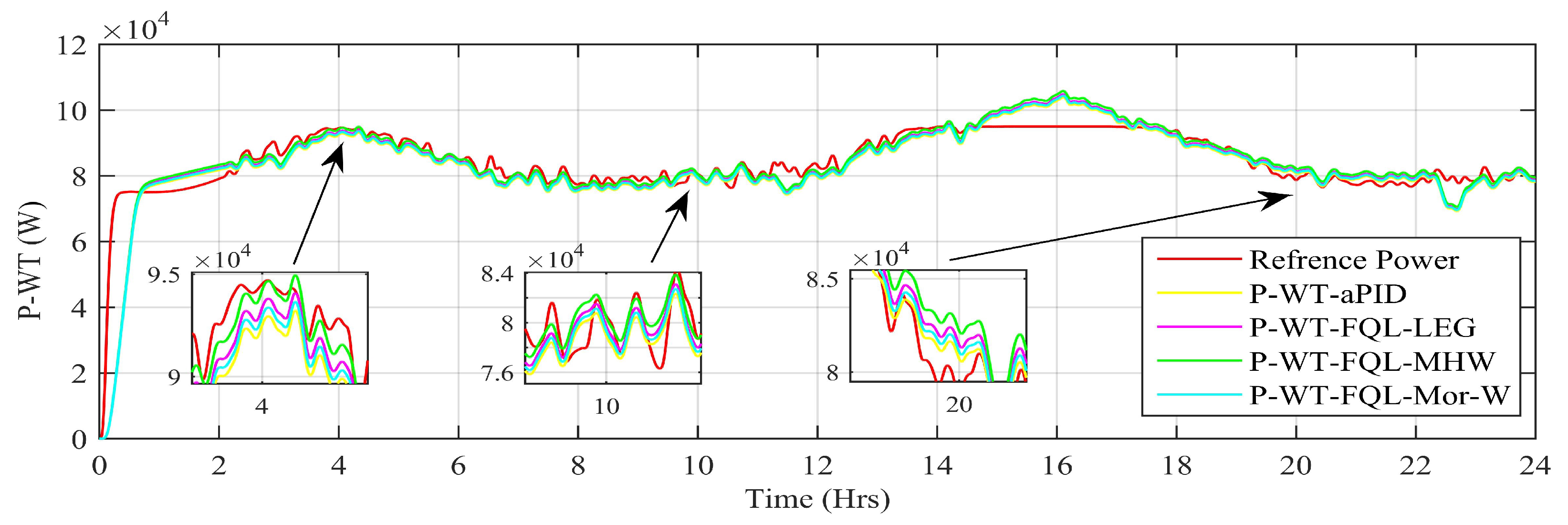
14. Results and Discussion
15. Conclusions
16. Future Work
Author Contributions
Funding
Conflicts of Interest
Abbreviations
| AEM | Action exploration modifier |
| aPID | Adaptive PID |
| BP | Back propagation |
| BIC | Bidirectional interlinking converter |
| BSS | Battery storage system |
| CS | Charging station |
| DG | Distributed generator |
| ESS | Energy storage system |
| FPT | Fuzzy parameter tuning |
| FQL | Fuzzy Q-learning |
| FRNF | Full recurrent adaptive Neurofuzzy |
| Leg-W | Legendre wavelet |
| MHW | Mexican hat wavelet |
| Mor-W | Morlet wavelet |
| MT | Micro-turbine |
| NFPT | Neurofuzzy parameter tuning |
| NN | Neural network |
| NNQLNF | Neural network Q-learning based full recurrent adaptive Neurofuzzy |
| PHEV | Plug-in-hybrid-vehicle |
| PQ | P shows real power and Q shows reactive power |
| PV | Photovoltaic |
| QEN | estimator network |
| RES | Renewable energy resource |
| SC | Supercapacitor |
| SMG-HPS | Smart microgrid hybrid power system |
| SOFC | Solid oxide fuel cell |
| SOC | State of charge |
| SPF | Single point failure |
| TD | Temporal difference |
| THD | Total harmonic distortion |
| WT | Wind Turbine |
Appendix A. Entire System Parameters
Appendix A.1. Parameters of VS-WECS
| Type | nED-100 |
|---|---|
| Base wind speed | 10 m/s |
| Rotor speed | 3367 rpm |
| Drive train | 2-mass model |
| Pitch angle | |
| Rated power | 100 kW |
Appendix A.2. Parameters of SOFC
| Type | Bloom Energy USA ES-5700 |
|---|---|
| Number of cells in seires | 768 |
| SOFC stack | 4 kW |
| SOFC array | |
| SOFC array power rating | 50 × 4 kW = 200 kW |
Appendix A.3. Parameters of PV
| Type | SunPower SPR-305-WHT |
|---|---|
| Module unit | 305 W @ 1 kW/m, 25 C |
| Number of series string/module | 13 |
| Number of parallel string/module | 66 |
| Power rating | kW |
Appendix A.4. Parameters of Charging Station
| Vehicle Company | Battery Type | Battery Capacity | Rated Voltage |
|---|---|---|---|
| (kWh) | (V) | ||
| Nissan | Li-ion | 24.0 | 360 |
| Renault | Li-ion | 22.0 | 300 |
| Mitsubishi | Li-ion | 16.0 | 20 |
| Toyota | Li-ion | 6.7 | 300 |
| Honda | Li-ion | 4.4 | 201 |
Appendix A.5. Modeling and Parameters of Battery
| Type | CINCO FM/BB12100T |
|---|---|
| Capacity | 200 Ah |
| Voltage/string | 12 V |
| Number of parallel strings | 3 |
| Number of series strings | 34 |
| Rated voltage | 12 × 34 ≈ 400 V |
Appendix A.6. Parameters of Electrolyzer
| Type | QualeanQL-85000 |
|---|---|
| Rated power | 150 kW |
| Rated voltage | 380 V |
| Number of cells in the stack | 30 |
| Number of electrolyzers | 6 |
Appendix A.7. Parameters of Microturbine
| Type | Ingersoll Rand MT250 |
|---|---|
| Rated power | 200 kVA, 160 kW |
| Rated voltage | 440 V |
| Rated frequency | 50 |
Appendix A.8. Parameters of Utility Grid
| Parameter | Rating |
|---|---|
| Phase Voltage | 11 kV |
| Frequency | 50 Hz |
| Rated power | 10 MVA |
Appendix A.9. Parameters of Interlinking Inverter
| Type | Zhejiang, China CHZIRI-2VF |
|---|---|
| Rated power | 400 kW |
| Rated voltage | 200/540 V |
| Inductance L-filter | 2.1 H |
Appendix A.10. Adaptive PID Control System
References
- Wang, P.; Jin, C.; Zhu, D.; Tang, Y.; Loh, P.C.; Choo, F.H. Distributed Control for Autonomous Operation of a Three-Port AC/DC/DS Hybrid Microgrid. IEEE Trans. Ind. Electron. 2015, 62, 1279–1290. [Google Scholar] [CrossRef]
- Jin, C.; Dong, C.; Wang, J.; Wang, P. Uniform Control Scheme for the Interlinking Converter Enhancing the Economy and Resilience of Hybrid AC/DC Microgrids. In Proceedings of the 2018 IEEE Innovative Smart Grid Technologies–Asia (ISGT Asia), Singapore, 22–25 May 2018. [Google Scholar] [CrossRef]
- Kebede, A.A.; Kalogiannis, T.; Van Mierlo, J.; Berecibar, M. A comprehensive review of stationary energy storage devices for large scale renewable energy sources grid integration. Renew. Sustain. Energy Rev. 2022, 159, 112213. [Google Scholar] [CrossRef]
- Wang, G.; Sadiq, M.; Bashir, T.; Jain, V.; Ali, S.A.; Shabbir, M.S. The dynamic association between different strategies of renewable energy sources and sustainable economic growth under SDGs. Energy Strategy Rev. 2022, 42, 100886. [Google Scholar] [CrossRef]
- Pires, V.F.; Cordeiro, A.; Roncero-Clemente, C.; Rivera, S.; Dragičević, T. DC-DC Converters for Bipolar Microgrid Voltage Balancing: A Comprehensive Review of Architectures and Topologies. IEEE J. Emerg. Sel. Top. Power Electron. 2022, 11, 981–998. [Google Scholar] [CrossRef]
- Ali, M.; Hossain, M.I.; Shafiullah, M. Fuzzy logic for energy management in hybrid energy storage systems integrated DC microgrid. In Proceedings of the 2022 International Conference on Power Energy Systems and Applications (ICoPESA), Singapore, 25–27 February 2022; pp. 424–429. [Google Scholar]
- Jovcic, D.; Ahmed, K. High-Voltage Direct-Current Transmission; John Wiley & Sons, Ltd.: New York, NY, USA, 2015. [Google Scholar] [CrossRef]
- Alzahrani, A.; Ramu, S.K.; Devarajan, G.; Vairavasundaram, I.; Vairavasundaram, S. A review on hydrogen-based hybrid microgrid system: Topologies for hydrogen energy storage, integration, and energy management with solar and wind energy. Energies 2022, 15, 7979. [Google Scholar] [CrossRef]
- Sarwar, S.; Kirli, D.; Merlin, M.; Kiprakis, A.E. Major Challenges towards Energy Management and Power Sharing in a Hybrid AC/DC Microgrid: A Review. Energies 2022, 15, 8851. [Google Scholar] [CrossRef]
- Wang, H.; Li, W.; Yue, Y.; Zhao, H. Distributed economic control for AC/DC hybrid microgrid. Electronics 2022, 11, 13. [Google Scholar] [CrossRef]
- Ullah, Z.; Wang, S.; Lai, J.; Azam, M.; Badshah, F.; Wu, G.; Elkadeem, M.R. Implementation of various control methods for the efficient energy management in hybrid microgrid system. Ain Shams Eng. J. 2022, 101961. [Google Scholar] [CrossRef]
- Boche, A.; Foucher, C.; Villa, L.F.L. Understanding Microgrid Sustainability: A Systemic and Comprehensive Review. Energies 2022, 15, 2906. [Google Scholar] [CrossRef]
- Fotopoulou, M.; Rakopoulos, D.; Stergiopoulos, F.; Voutetakis, S. A Review on the Driving Forces, Challenges, and Applications of AC/DC Hybrid Smart Microgrids. In Smart Grids Technology and Applications; IntechOpen: London, UK, 2022. [Google Scholar] [CrossRef]
- Prasad, T.N.; Devakirubakaran, S.; Muthubalaji, S.; Srinivasan, S.; Karthikeyan, B.; Palanisamy, R.; Bajaj, M.; Zawbaa, H.M.; Kamel, S. Power management in hybrid ANFIS PID based AC-DC microgrids with EHO based cost optimized droop control strategy. Energy Rep. 2022, 8, 15081–15094. [Google Scholar] [CrossRef]
- Sajid, A.; Sabzehgar, R.; Rasouli, M.; Fajri, P. Control of Interlinking Bidirectional Converter in AC/DC Hybrid Microgrid Operating in Stand-Alone Mode. In Proceedings of the 2019 IEEE Milan PowerTech, Milan, Italy, 23–27 June 2019. [Google Scholar] [CrossRef]
- Unamuno, E.; Barrena, J.A. Hybrid AC/DC microgrids—Part II: Review and classification of control strategies. Renew. Sustain. Energy Rev. 2015, 52, 1123–1134. [Google Scholar] [CrossRef]
- Shen, X.; Tan, D.; Shuai, Z.; Luo, A. Control Techniques for Bidirectional Interlinking Converters in Hybrid Microgrids: Leveraging the advantages of both AC and DC. IEEE Power Electron. Mag. 2019, 6, 39–47. [Google Scholar] [CrossRef]
- Ali, S.U.; Aamir, M.; Jafri, A.R.; Subramaniam, U.; Haroon, F.; Waqar, A.; Yaseen, M. Model predictive control—Based distributed control algorithm for bidirectional interlinking converter in hybrid microgrids. Int. Trans. Electr. Energy Syst. 2021, 31, e12817. [Google Scholar] [CrossRef]
- Guo, Y.; Guo, Y.; Sun, H.; Xi, J.; Hao, Y. Overview of Improved Droop Control Methods of Hybrid AC/DC Microgrid Interlinking Converter. In Proceedings of the 2nd International Conference on Computer Engineering, Information Science & Application Technology (ICCIA 2017), Beijing, China, 8–11 September 2017. [Google Scholar] [CrossRef]
- Malik, S.M.; Sun, Y.; Huang, W.; Ai, X.; Shuai, Z. A Generalized Droop Strategy for Interlinking Converter in a Standalone Hybrid Microgrid. Appl. Energy 2018, 226, 1056–1063. [Google Scholar] [CrossRef]
- Wang, C.; Deng, C.; Pan, X. Line impedance compensation control strategy for multiple interlinking converters in hybrid AC/DC microgrid. IET Gener. Transm. Distrib. 2022. [Google Scholar] [CrossRef]
- Rault, P.; Guillaud, X.; Colas, F.; Nguefeu, S. Investigation on interactions between AC and DC grids. In Proceedings of the 2013 IEEE Grenoble Conference, Grenoble, France, 16–20 June 2013. [Google Scholar] [CrossRef]
- Martinez, S.; Torres, F.; Roa, C.; Lopez, E. Interaction between AC Grids and MTDC Systems Based on Droop Controllers. In Proceedings of the 2018 IEEE International Conference on Automation/XXIII Congress of the Chilean Association of Automatic Control (ICA-ACCA), Concepcion, Chile, 17–19 October 2018. [Google Scholar] [CrossRef]
- Zhang, J.; Guo, D.; Wang, F.; Zuo, Y.; Zhang, H. Control strategy of interlinking converter in hybrid AC/DC microgrid. In Proceedings of the 2013 International Conference on Renewable Energy Research and Applications (ICRERA), Madrid, Spain, 20–23 October 2013. [Google Scholar] [CrossRef]
- Adi, F.S.; Song, H.; Kim, J.S. Interlink Converter Controller Design based on System Identification of DC Sub-Grid Model in Hybrid AC/DC Microgrid. IFAC-PapersOnLine 2019, 52, 45–50. [Google Scholar] [CrossRef]
- Watson, J.D.; Lestas, I. Control of Interlinking Converters in Hybrid AC/DC Grids: Network Stability and Scalability. IEEE Trans. Power Syst. 2021, 36, 769–780. [Google Scholar] [CrossRef]
- Zhang, Z.; Fang, J.; Dong, C.; Jin, C.; Tang, Y. Enhanced Grid Frequency and DC-link Voltage Regulation in Hybrid AC/DC Microgrids through Bidirectional Virtual Inertia Support. IEEE Trans. Ind. Electron. 2022, 1–10. [Google Scholar] [CrossRef]
- Awais, M.; Khan, L.; Ahmad, S.; Mumtaz, S.; Badar, R. Nonlinear adaptive NeuroFuzzy feedback linearization based MPPT control schemes for photovoltaic system in microgrid. PLoS ONE 2020, 15, e0234992. [Google Scholar] [CrossRef]
- Awais, M.; Khan, L.; Badar, R.; Ahmad, S.; Mumtaz, S.; Ullah, S. NeuroFuzzy Full-Recurrent Hybrid B-Spline Wavelet Based Feedback Linearization Control for PMSG-WECS in a Grid-connected Hybrid Power System. In Proceedings of the 2021 International Bhurban Conference on Applied Sciences and Technologies (IBCAST), Islamabad, Pakistan, 12–16 January 2021. [Google Scholar] [CrossRef]
- Awais, M.; Khan, L.; Ahmad, S.; Mumtaz, S.; Badar, R.; Ullah, S. Legendre-wavelet embedded NeuroFuzzy feedback linearization based controlscheme for PHEVs charging station in a microgrid. Turk. J. Electr. Eng. Comput. Sci. 2021, 29, 2046–2066. [Google Scholar] [CrossRef]
- Awais, M.; Khan, L.; Ahmad, S.; Jamil, M. Feedback-Linearization-Based Fuel-Cell Adaptive-Control Paradigm in a Microgrid Using a Wavelet-Entrenched NeuroFuzzy Framework. Energies 2021, 14, 1850. [Google Scholar] [CrossRef]
- Awais, M.; Khan, L.; Badar, R.; Mumtaz, S.; Ahmad, S.; Ullah, S. Wavelet-Hybridized NeuroFuzzy Feedback Linearization based Control Strategy for PHEVs Charging Station in a Smart Microgrid. In Proceedings of the 2020 International Symposium on Recent Advances in Electrical Engineering & Computer Sciences (RAEE & CS), Islamabad, Pakistan, 20–22 October 2020. [Google Scholar] [CrossRef]
- Dehkordi, N.M.; Sadati, N.; Hamzeh, M. Robust backstepping control of an interlink converter in a hybrid AC/DC microgrid based on feedback linearisation method. Int. J. Control 2016, 90, 1990–2004. [Google Scholar] [CrossRef]
- Zhang, B.; Cao, G.; Ren, C.; Wang, J.; Han, X. Autonomous control strategy of bidirectional AC/DC converter in low voltage hybrid microgrid. In Proceedings of the 2017 12th IEEE Conference on Industrial Electronics and Applications (ICIEA), Siem Reap, Cambodia, 18–20 June 2017. [Google Scholar] [CrossRef]
- Saad, N.H.; El-Sattar, A.A.; Mansour, A.E.A.M. A novel control strategy for grid connected hybrid renewable energy systems using improved particle swarm optimization. Ain Shams Eng. J. 2018, 9, 2195–2214. [Google Scholar] [CrossRef]
- Jiao, J.; Meng, R.; Guan, Z.; Ren, C.; Wang, L.; Zhang, B. Grid-connected Control Strategy for Bidirectional AC-DC Interlinking Converter in AC-DC Hybrid Microgrid. In Proceedings of the 2019 IEEE 10th International Symposium on Power Electronics for Distributed Generation Systems (PEDG), Xi’an, China, 3–6 June 2019. [Google Scholar] [CrossRef]
- Yu, H.; Niu, S.; Zhang, Y.; Jian, L. An integrated and reconfigurable hybrid AC/DC microgrid architecture with autonomous power flow control for nearly/net zero energy buildings. Appl. Energy 2020, 263, 114610. [Google Scholar] [CrossRef]
- Sinha, S.; Ghosh, S.; Bajpai, P. Power sharing through interlinking converters in adaptive droop controlled multiple microgrid system. Int. J. Electr. Power Energy Syst. 2021, 128, 106649. [Google Scholar] [CrossRef]
- Jayalakshmi, N.S.; Nempu, P.B. Performance Enhancement of a Hybrid AC-DC Microgrid Operating with Alternative Energy Sources Using Supercapacitor. Int. J. Electr. Comput. Eng. Syst. 2021, 12, 67–76. [Google Scholar] [CrossRef]
- Ahmed, M.; Meegahapola, L.; Datta, M.; Vahidnia, A. A Novel Hybrid AC/DC Microgrid Architecture with a Central Energy Storage System. IEEE Trans. Power Deliv. 2022, 37, 2060–2070. [Google Scholar] [CrossRef]
- Antalem, D.T.; Muneer, V.; Bhattacharya, A. Decentralized control of islanding/grid-connected hybrid DC/AC microgrid using interlinking converters. Sci. Technol. Energy Transit. 2022, 77, 22. [Google Scholar] [CrossRef]
- Hu, Y.; Li, W.; Xu, H.; Xu, G. An online learning control strategy for hybrid electric vehicle based on fuzzy Q-learning. Energies 2015, 8, 11167–11186. [Google Scholar] [CrossRef]
- Dai, X.; Li, C.K.; Rad, A.B. An approach to tune fuzzy controllers based on reinforcement learning for autonomous vehicle control. IEEE Trans. Intell. Transp. Syst. 2005, 6, 285–293. [Google Scholar] [CrossRef]
- Khan, L.; Badar, R. Hybrid adaptive neuro-fuzzy B-spline-based SSSC damping control paradigm using online system identification. Turk. J. Electr. Eng. Comput. Sci. 2015, 23, 395–420. [Google Scholar] [CrossRef]
- Badar, R.; Khan, L. Online adaptive Legendre wavelet embedded neurofuzzy damping control algorithm. In Proceedings of the INMIC, Lahore, Pakistan, 19–20 December 2013; pp. 7–12. [Google Scholar] [CrossRef]
- Werbos, P.J. Generalization of backpropagation with application to a recurrent gas market model. Neural Netw. 1988, 1, 339–356. [Google Scholar] [CrossRef]
- Tutschku, K. Recurrent Multilayer Perceptrons for Identification and Control: The Road to Applications. 1995. Available online: https://www.researchgate.net/profile/Kurt-Tutschku/publication/229087124_Recurrent_multilayer_perceptrons_for_identification_and_control_The_road_to_applications/links/0912f50bdf57c64002000000/Recurrent-multilayer-perceptrons-for-identification-and-control-The-road-to-applications.pdf (accessed on 30 December 2022).
- Sun, W.; Wang, Y. A recurrent fuzzy neural network based adaptive control and its application on robotic tracking control. Neural Inf. Process.-Lett. Rev. 2004, 5, 19–26. [Google Scholar]
- Song, J.; Shi, H. Dynamic system modeling based on wavelet recurrent fuzzy neural network. In Proceedings of the 2011 Seventh International Conference on Natural Computation, Shanghai, China, 26–28 July 2011; Volume 2, pp. 766–770. [Google Scholar] [CrossRef]
- Liu, Y.; Lin, Y.; Wu, S.; Chuang, C.; Lin, C. Brain Dynamics in Predicting Driving Fatigue Using a Recurrent Self-Evolving Fuzzy Neural Network. IEEE Trans. Neural Netw. Learn. Syst. 2016, 27, 347–360. [Google Scholar] [CrossRef]
- Pratama, M.; Lu, J.; Lughofer, E.; Zhang, G.; Er, M.J. An Incremental Learning of Concept Drifts Using Evolving Type-2 Recurrent Fuzzy Neural Networks. IEEE Trans. Fuzzy Syst. 2017, 25, 1175–1192. [Google Scholar] [CrossRef]
- Watkins, C.J.C.H. Learning from Delayed Rewards. Ph.D. Thesis, University of Cambridge, Cambridge, UK, 1989. [Google Scholar]
- IEEE Std 1547-2018 (Revision of IEEE Std 1547-2003); IEEE Standard for Interconnection and Interoperability of Distributed Energy Resources with Associated Electric Power Systems Interfaces. IEEE: Piscataway, NJ, USA, 2018; pp. 1–138. [CrossRef]
- Huang, B.; Wang, J. Deep-reinforcement-learning-based capacity scheduling for PV-battery storage system. IEEE Trans. Smart Grid 2020, 12, 2272–2283. [Google Scholar] [CrossRef]
- Mumtaz, S.; Ali, S.; Ahmad, S.; Khan, L.; Hassan, S.Z.; Kamal, T. Energy management and control of plug-in hybrid electric vehicle charging stations in a grid-connected hybrid power system. Energies 2017, 10, 1923. [Google Scholar] [CrossRef]
- Sharma, V.; Haque, M.H.; Aziz, S.M. Energy cost minimization for net zero energy homes through optimal sizing of battery storage system. Renew. Energy 2019, 141, 278–286. [Google Scholar] [CrossRef]
- Braeuer, F.; Rominger, J.; McKenna, R.; Fichtner, W. Battery storage systems: An economic model-based analysis of parallel revenue streams and general implications for industry. Appl. Energy 2019, 239, 1424–1440. [Google Scholar] [CrossRef]




















| Control Scheme | P | Q |
|---|---|---|
| (Watts) | (VARs) | |
| aPID | 1.0700 | 0.191100 |
| FRNF-Leg wavelet based NNQLNF control | 0.008600 | 0.008863 |
| FRNF-Mor-W based NNQLNF control | 0.008642 | 0.008794 |
| FRNF-MHW based NNQLNF control | 0.008472 | 0.008698 |
| Control Scheme | %f | %THD |
|---|---|---|
| aPID | 0.0025480 | 1.29900 |
| FRNF-Leg wavelet based NNQLNF control | 0.0006112 | 0.06519 |
| FRNF-Mor-W based NNQLNF control | 0.0006130 | 0.06551 |
| FRNF-MHW based NNQLNF control | 0.0005992 | 0.06423 |
Disclaimer/Publisher’s Note: The statements, opinions and data contained in all publications are solely those of the individual author(s) and contributor(s) and not of MDPI and/or the editor(s). MDPI and/or the editor(s) disclaim responsibility for any injury to people or property resulting from any ideas, methods, instructions or products referred to in the content. |
© 2023 by the authors. Licensee MDPI, Basel, Switzerland. This article is an open access article distributed under the terms and conditions of the Creative Commons Attribution (CC BY) license (https://creativecommons.org/licenses/by/4.0/).
Share and Cite
Awais, M.; Khan, L.; Khan, S.G.; Awais, Q.; Jamil, M. Adaptive Neural Network Q-Learning-Based Full Recurrent Adaptive NeuroFuzzy Nonlinear Control Paradigms for Bidirectional-Interlinking Converter in a Grid-Connected Hybrid AC-DC Microgrid. Energies 2023, 16, 1902. https://doi.org/10.3390/en16041902
Awais M, Khan L, Khan SG, Awais Q, Jamil M. Adaptive Neural Network Q-Learning-Based Full Recurrent Adaptive NeuroFuzzy Nonlinear Control Paradigms for Bidirectional-Interlinking Converter in a Grid-Connected Hybrid AC-DC Microgrid. Energies. 2023; 16(4):1902. https://doi.org/10.3390/en16041902
Chicago/Turabian StyleAwais, Muhammad, Laiq Khan, Said Ghani Khan, Qasim Awais, and Mohsin Jamil. 2023. "Adaptive Neural Network Q-Learning-Based Full Recurrent Adaptive NeuroFuzzy Nonlinear Control Paradigms for Bidirectional-Interlinking Converter in a Grid-Connected Hybrid AC-DC Microgrid" Energies 16, no. 4: 1902. https://doi.org/10.3390/en16041902
APA StyleAwais, M., Khan, L., Khan, S. G., Awais, Q., & Jamil, M. (2023). Adaptive Neural Network Q-Learning-Based Full Recurrent Adaptive NeuroFuzzy Nonlinear Control Paradigms for Bidirectional-Interlinking Converter in a Grid-Connected Hybrid AC-DC Microgrid. Energies, 16(4), 1902. https://doi.org/10.3390/en16041902

