Integrated Design and Experimental Validation of a Fixed-Pitch Rotor for Wind Tunnel Testing
Abstract
1. Introduction
2. Materials and Methods
2.1. Selection of Scale Factors
2.2. Aerodynamic Design
2.3. Closed-Loop Control
2.4. Actuators, Sensors, and Mechanical Design
2.5. Experimental and Simulation Setup
3. Results
3.1. Rotor Design
3.2. Active Generator Control
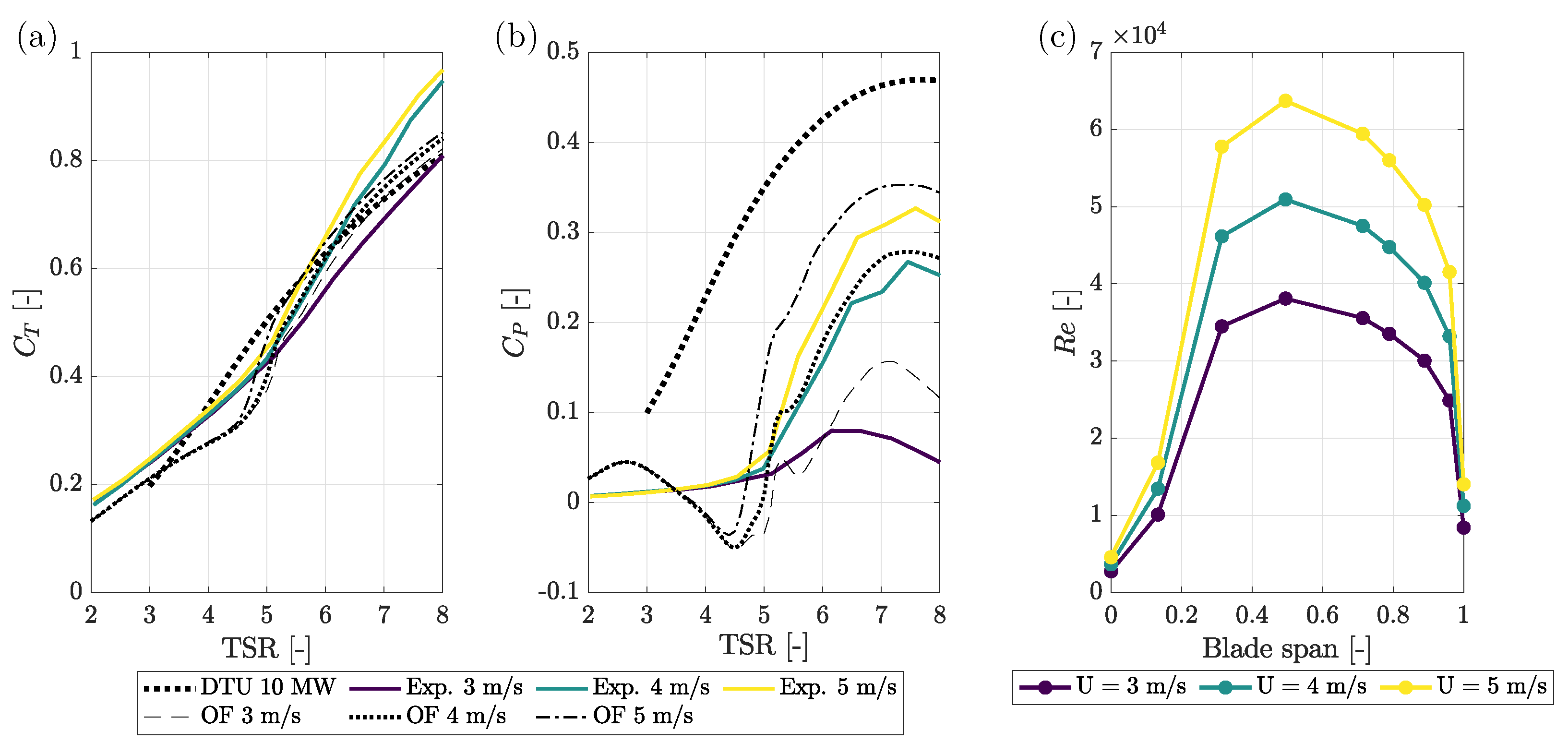
3.3. Verification of the Rotor Aerodynamic Response
4. Discussion
Author Contributions
Funding
Data Availability Statement
Conflicts of Interest
Abbreviations
| AoA | Angle of Attack |
| DTU | Danmarks Tekniske Universitet |
| OF | OpenFAST |
| TSR | Tip Speed Ratio |
| POLIMI | Politecnico di Milano |
Appendix A. Aerodynamic Model for Blade Design

References
- Meyers, J.; Bottasso, C.; Dykes, K.; Fleming, P.; Gebraad, P.; Giebel, G.; Göçmen, T.; van Wingerden, J.W. Wind farm flow control: Prospects and challenges. Wind. Energy Sci. 2022, 7, 2271–2306. [Google Scholar] [CrossRef]
- Wang, J.; Foley, S.; Nanos, E.; Yu, T.; Campagnolo, F.; Bottasso, C.; Zanotti, A.; Croce, A. Numerical and Experimental Study of Wake Redirection Techniques in a Boundary Layer Wind Tunnel. J. Phys. Conf. Ser. (JPCS) 2017, 854, 012048. [Google Scholar] [CrossRef]
- Schreiber, J.; Nanos, E.; Campagnolo, F.; Bottasso, C. Verification and Calibration of a Reduced Order Wind Farm Model by Wind Tunnel Experiments. J. Physics: Conf. Ser. (JPCS) 2017, 854, 012041. [Google Scholar] [CrossRef]
- Campagnolo, F.; Molder, A.; Schreiber, J.; Bottasso, C. Comparison of Analytical Wake Models with Wind Tunnel Data. J. Phys. Conf. Ser. 2019, 1256, 012006. [Google Scholar] [CrossRef]
- Campagnolo, F.; Schreiber, J.; Bottasso, C. Wake Deflection Control with Wind Direction Changes: Wind Tunnel Comparison of Different Wind Farm Flow Models. In Proceedings of the 2020 American Control Conference (ACC), Denver, CO, USA, 1–3 July 2020; Volume 2020, pp. 4817–4823. [Google Scholar]
- Hulsman, P.; Wosnik, M.; Petrović, V.; Hölling, M.; Kühn, M. Turbine Wake Deflection Measurement in a Wind Tunnel with a Lidar WindScanner. J. Phys. Conf. Ser. 2020, 1452, 012007. [Google Scholar] [CrossRef]
- Fontanella, A.; Bayati, I.; Mikkelsen, R.; Belloli, M.; Zasso, A. UNAFLOW: A holistic wind tunnel experiment about the aerodynamic response of floating wind turbines under imposed surge motion. Wind. Energy Sci. 2021, 6, 1169–1190. [Google Scholar] [CrossRef]
- Fontanella, A.; Facchinetti, A.; Di Carlo, S.; Belloli, M. Wind tunnel investigation of the aerodynamic response of two 15 MW floating wind turbines. Wind. Energy Sci. 2022, 7, 1711–1729. [Google Scholar] [CrossRef]
- Bayati, I.; Facchinetti, A.; Fontanella, A.; Taruffi, F.; Belloli, M. Analysis of FOWT dynamics in 2-DOF hybrid HIL wind tunnel experiments. Ocean. Eng. 2020, 195. [Google Scholar] [CrossRef]
- Mancini, S.; Boorsma, K.; Caboni, M.; Cormier, M.; Lutz, T.; Schito, P.; Zasso, A. Characterization of the unsteady aerodynamic response of a floating offshore wind turbine. Wind Energy Sci. 2020, 5, 1713–1730. [Google Scholar] [CrossRef]
- Bergua, R.; Robertson, A.; Jonkman, J.; Branlard, E.; Fontanella, A.; Belloli, M.; Schito, P.; Zasso, A.; Persico, G.; Sanvito, A.; et al. OC6 Project Phase III: Validation of the Aerodynamic Loading on a Wind Turbine Rotor Undergoing Large Motion Caused by a Floating Support Structure. Wind Energy Sci. Discuss. 2022, 2022, 1–33. [Google Scholar]
- Bak, C.; Zahle, F.; Bitsche, R.; Taeseong, K.; Yde, A.; Henriksen, L.C.; Hansen, M.H.; Jose, J.P.A.A.; Gaunaa, M.; Natarajan, A. The DTU 10-MW Reference Wind Turbine; DTU Wind Energy Report; DTU Department of Wind Energy: Roskilde, Denmark, 2013. [Google Scholar]
- Nanos, E.M.; Bottasso, C.L.; Campagnolo, F.; Mühle, F.; Letizia, S.; Iungo, G.V.; Rotea, M.A. Design, steady performance and wake characterization of a scaled wind turbine with pitch, torque and yaw actuation. Wind. Energy Sci. 2022, 7, 1263–1287. [Google Scholar] [CrossRef]
- Bayati, I.; Belloli, M.; Bernini, L.; Giberti, H.; Zasso, A. Scale model technology for floating offshore wind turbines. IET Renew. Power Gener. 2017, 11, 1120–1126. [Google Scholar] [CrossRef]
- Madsen, F.; Nielsen, T.; Kim, T.; Bredmose, H.; Pegalajar-Jurado, A.; Mikkelsen, R.; Lomholt, A.; Borg, M.; Mirzaei, M.; Shin, P. Experimental analysis of the scaled DTU10MW TLP floating wind turbine with different control strategies. Renew. Energy 2020, 155, 330–346. [Google Scholar] [CrossRef]
- Azcona, J.; Bouchotrouch, F.; González, M.; Garciandía, J.; Munduate, X.; Kelberlau, F.; Nygaard, T.A. Aerodynamic Thrust Modelling in Wave Tank Tests of Offshore Floating Wind Turbines Using a Ducted Fan. J. Phys. Conf. Ser. 2014, 524, 012089. [Google Scholar] [CrossRef]
- Wang, C.; Campagnolo, F.; Canet, H.; Barreiro, D.J.; Bottasso, C.L. How realistic are the wakes of scaled wind turbine models? Wind. Energy Sci. 2021, 6, 961–981. [Google Scholar] [CrossRef]
- Fontanella, A.; Bayati, I.; Mikkelsen, R.; Belloli, M.; Zasso, A. UNAFLOW: UNsteady Aerodynamics of FLOating Wind turbines. Zenodo 2021. [Google Scholar]
- Du, Z.; Selig, M. A 3-D Stall-Delay Model for Horizontal Axis Wind Turbine Performance Prediction. In Proceedings of the 1998 ASME Wind Energy Symposium, Reno, NV, USA, 15 January 1998. [Google Scholar]
- Jüchter, J.; Peinke, J.; Lukassen, L.J.; Hölling, M. Reduction and analysis of rotor blade misalignments on a model wind turbine. J. Phys. Conf. Ser. 2022, 2265, 022071. [Google Scholar] [CrossRef]
- Bossanyi, E.A. The Design of closed loop controllers for wind turbines. Wind Energy 2000, 3, 149–163. [Google Scholar] [CrossRef]
- Abbas, N.J.; Zalkind, D.S.; Pao, L.; Wright, A. A reference open-source controller for fixed and floating offshore wind turbines. Wind. Energy Sci. 2022, 7, 53–73. [Google Scholar] [CrossRef]
- Liu, Y.; Pamososuryo, A.K.; Ferrari, R.M.G.; van Wingerden, J.W. The Immersion and Invariance Wind Speed Estimator Revisited and New Results. IEEE Control. Syst. Lett. 2022, 6, 361–366. [Google Scholar] [CrossRef]
- Bianchi, F.; de Battista, H.; Mantz, R. Wind Turbine Control Systems; Springer: Cham, Switzerland, 2007; p. 208. [Google Scholar]
- Borg, M. DTU 10MW Reference Wind Turbine FAST Model v1.00; European Comission: Brussels, Belgium, 2016. [Google Scholar]
- Selig, M. Low Reynolds Number Airfoil Design Lecture Notes. In Proceedings of the Applied Vehicle Technology (AVT) Panel, 24–28 November 2003; pp. 1–43. [Google Scholar]
- Sanderse, B.; Dighe, V.V.; Boorsma, K.; Schepers, G. Efficient Bayesian calibration of aerodynamic wind turbine models using surrogate modeling. Wind. Energy Sci. 2022, 7, 759–781. [Google Scholar] [CrossRef]









| Parameter | DTU 10 MW | Scale Model |
|---|---|---|
| Cut in wind speed (m/s) | 4.0 | 2.0 |
| Cut out wind speed (m/s) | 25.0 | 12.5 |
| Rated wind speed (m/s) | 11.4 | 5.7 |
| Rotor diameter (m) | 178.4 | 1.2 |
| Hub height (m) | 118.0 | 0.79 |
| Design TSR (-) | 7.5 | 7.5 |
| Design blade pitch () | 0 | 0 |
| Minimum rotor speed (rpm) | 6.0 | 446 |
| Maximum rotor speed (rpm) | 9.6 | 713 |
| Rotor tilt () | 5 | 0 |
| Rotor mass (kg) | 0.069 (target) |
Disclaimer/Publisher’s Note: The statements, opinions and data contained in all publications are solely those of the individual author(s) and contributor(s) and not of MDPI and/or the editor(s). MDPI and/or the editor(s) disclaim responsibility for any injury to people or property resulting from any ideas, methods, instructions or products referred to in the content. |
© 2023 by the authors. Licensee MDPI, Basel, Switzerland. This article is an open access article distributed under the terms and conditions of the Creative Commons Attribution (CC BY) license (https://creativecommons.org/licenses/by/4.0/).
Share and Cite
Fontanella, A.; Da Pra, G.; Belloli, M. Integrated Design and Experimental Validation of a Fixed-Pitch Rotor for Wind Tunnel Testing. Energies 2023, 16, 2205. https://doi.org/10.3390/en16052205
Fontanella A, Da Pra G, Belloli M. Integrated Design and Experimental Validation of a Fixed-Pitch Rotor for Wind Tunnel Testing. Energies. 2023; 16(5):2205. https://doi.org/10.3390/en16052205
Chicago/Turabian StyleFontanella, Alessandro, Giulia Da Pra, and Marco Belloli. 2023. "Integrated Design and Experimental Validation of a Fixed-Pitch Rotor for Wind Tunnel Testing" Energies 16, no. 5: 2205. https://doi.org/10.3390/en16052205
APA StyleFontanella, A., Da Pra, G., & Belloli, M. (2023). Integrated Design and Experimental Validation of a Fixed-Pitch Rotor for Wind Tunnel Testing. Energies, 16(5), 2205. https://doi.org/10.3390/en16052205

