Research on Model Predictive Control of a 130 t/h Biomass Circulating Fluidized Bed Boiler Combustion System Based on Subspace Identification
Abstract
:1. Introduction
2. Controlled Object and Raw Material
2.1. Boiler Physical Object
2.2. Boiler Physical Object
2.3. BCFB Boiler Combustion System Model Based on Mworks
3. Results and Discussion
3.1. Subspace Identification Principle and Combustion System Subspace Model
3.1.1. Subspace Identification Algorithm
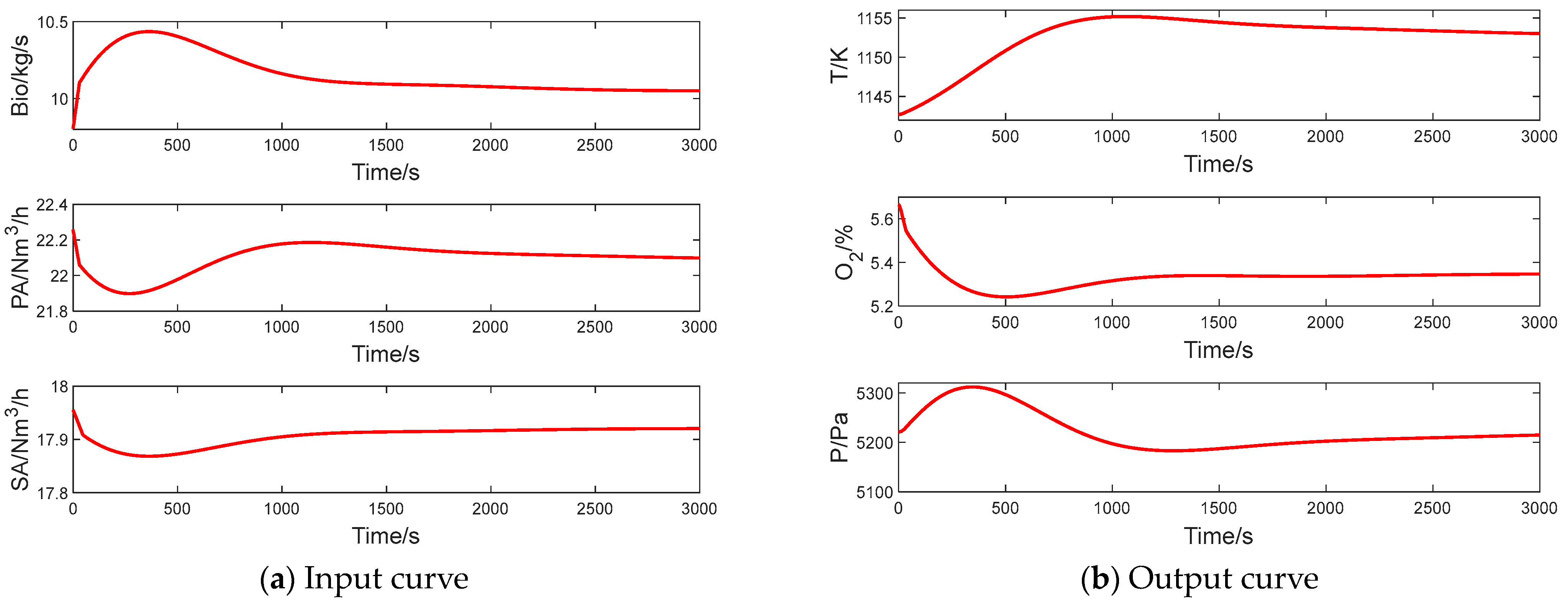
3.1.2. Subspace Identification Test of Combustion System
3.2. MPC of BCFB Boiler Combustion System
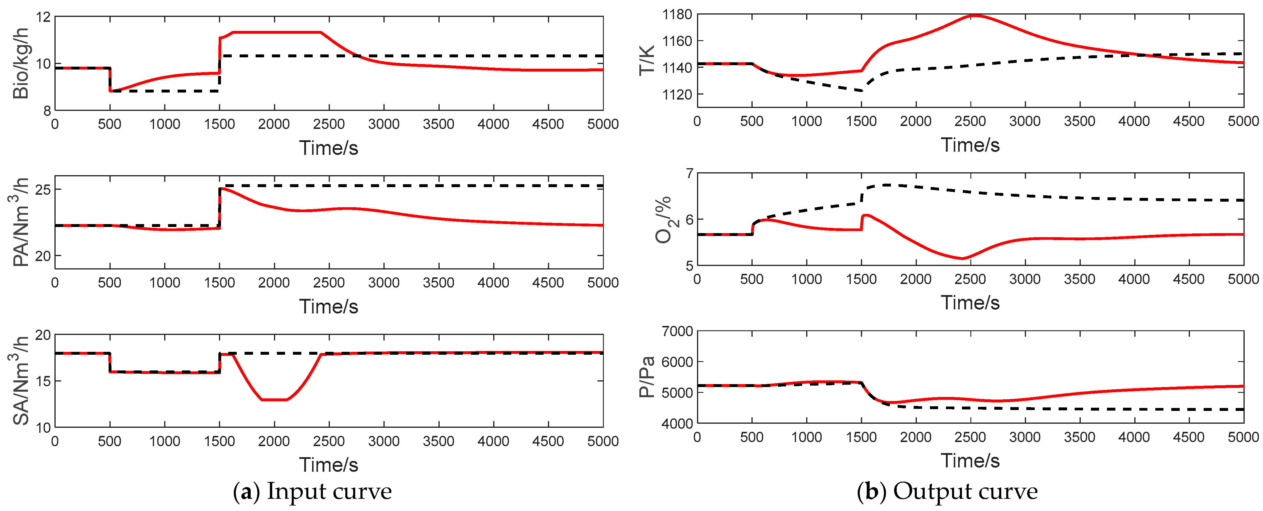
3.2.1. Control System Simulation under Given Value Disturbance
3.2.2. The Influence of Key Disturbances on Controller Characteristics
4. Conclusions
Author Contributions
Funding
Data Availability Statement
Acknowledgments
Conflicts of Interest
Nomenclature
| BCFB | Biomass circulating fluidized bed | 
| CCUS | Carbon Capture, Utilization, and Storage | 
| IRENA | International Renewable Energy Agency | 
| CFB | Circulating fluidized bed | 
| PI | Proportion Integral | 
| PD | Proportion Differential | 
| MPC | Model predictive control | 
| SID | System identification | 
| SVD | Singular value decomposition | 
| LS | Least square | 
| BMCR | Boiler maximum continuous rate | 
| KBio | Biomass fuel valve opening | 
| KPA | Primary air valve opening | 
| KSA | Secondary air valve opening | 
| T | Bed temperature in the furnace | 
| O2 | Oxygen content in the flue gas | 
| P | Bed pressure difference in the furnace | 
| Bed pressure difference error | |
| Oxygen content in the flue gas error | |
| Bed temperature error | |
| Ts | Sampling time | 
| Ny | Prediction time domain | 
| Nu | Control time domain | 
| Fuel valve opening, | |
| Primary air valve opening, | |
| Secondary air valve opening. | |
| Change rate of fuel valve, | |
| Change rate of primary air valve, and | |
| Change rate of secondary air valve. | |
| Bio | Biomass fuel flow | 
| PA | Primary air flow | 
| SA | Secondary air flow | 
References
- He, J.; Liu, S.; Yao, D.; Kong, R.; Liu, Y. Influence of fuel type and water content variation on pollutant emission characteristics of a biomass circulating fluidized bed boiler. Energies 2021, 14, 5962. [Google Scholar] [CrossRef]
- Niu, Y.; Tan, H. Ash-related issues during biomass combustion: Alkali-induced slagging, silicate melt-induced slagging (ash fusion), agglomeration, corrosion, ash utilization, and related countermeasures. Prog. Energy Combust. Sci. 2016, 52, 1–61. [Google Scholar] [CrossRef]
- Bi, D.; Huang, F.; Jiang, M.; He, Z.; Lin, X. Effect of pyrolysis conditions on environmentally persistent free radicals (EPFRs) in biochar from co-pyrolysis of urea and cellulose. Sci. Total Environ. 2022, 805, 150339. [Google Scholar] [CrossRef] [PubMed]
- Vassilev, S.V.; Vassileva, C.G.; Vassilev, V.S. Advantages and disadvantages of composition and properties of biomass in comparison with coal: An overview. Fuel 2015, 158, 330–350. [Google Scholar] [CrossRef]
- Zhao, A.; Liu, S.; Yao, J.; Huang, F.; He, Z.; Liu, J. Characteristics of bio-oil and biochar from cotton stalk pyrolysis: Effects of torrefaction temperature and duration in an ammonia environment. Bioresour. Technol. 2022, 343, 126145. [Google Scholar] [CrossRef] [PubMed]
- Wang, Z.; Wang, Z.; Xu, G.; Ren, J.; Wang, H.; Li, J. Sustainability assessment of straw direct combustion power generation in China: From the environmental and economic perspectives of straw substitute to coal. J. Clean. Prod. 2020, 273, 122890. [Google Scholar] [CrossRef]
- Guo, H.; Cui, J.; Li, J. Biomass power generation in China: Status, policies and recommendations. Energy Rep. 2022, 8, 687–696. [Google Scholar] [CrossRef]
- Tang, Y.; Wang, Z.; Liu, Q.; Li, J.; He, J.; He, N.; Liao, Z. Design of Biomass-fired Circulating Fluidized Bed Boiler. Gas Heat 2014, 34, 6–8. [Google Scholar]
- Deng, M.; Nie, Y.; Yuan, Y.; Ma, R.; Shan, M.; Yang, X. The impact of oxygen content in the primary air supply on fuel burning rate and pollutant emissions in a forced-draft biomass stove. Fuel 2022, 321, 124129. [Google Scholar] [CrossRef]
- Wang, S.; Feng, H.; Zou, B.; Yang, Z.; Ding, Y. Correlation between biomass burning and air pollution in China: Spatial heterogeneity and corresponding factors. Glob. Planet. Change 2022, 213, 103823. [Google Scholar] [CrossRef]
- Wu, J.; Kong, S.; Yan, Y.; Yao, L.; Yan, Q.; Liu, D.; Shen, G.; Zhang, X.; Qi, S. Neglected biomass burning emissions of air pollutants in China-views from the corncob burning test, emission estimation, and simulations. Atmos. Environ. 2022, 278, 119082. [Google Scholar] [CrossRef]
- Kong, R.; Bi, D.; Yao, D.; Zhang, Y.; He, J.; Liu, J. CFD-DEM study of a V-shaped Down-tube pyrolysis Reactor: Flow and heat transfer between heat carrier and biomass. Appl. Therm. Eng. 2022, 207, 118179. [Google Scholar] [CrossRef]
- Di Renzo, A.; Napolitano, E.S.; Di Maio, F.P. Coarse-grain dem modelling in fluidized bed simulation: A review. Processes 2021, 9, 279. [Google Scholar] [CrossRef]
- Huttunen, M.; Peltola, J.; Kallio, S.; Karvonen, L.; Niemi, T.; Ylä-Outinen, V. Analysis of the processes in fluidized bed boiler furnaces during load changes. Energy Procedia 2017, 120, 580–587. [Google Scholar] [CrossRef]
- Xie, Z.; Wang, S.; Shen, Y. CFD-DEM modelling of the migration of fines in suspension flow through a solid packed bed. Chem. Eng. Sci. 2021, 231, 116261. [Google Scholar] [CrossRef]
- Valsalam, S.R.; Anish, S.; Singh, B.R. Boiler modelling and optimal control of steam temperature in power plants. IFAC Proc. Vol. 2009, 42, 125–130. [Google Scholar] [CrossRef]
- Zhu, H.; Shen, J.; Lee, K.Y.; Sun, L. Multi-model based predictive sliding mode control for bed temperature regulation in circulating fluidized bed boiler. Control Eng. Pract. 2020, 101, 104484. [Google Scholar] [CrossRef]
- Tomochika, N.; Maeda, T.; Nakayama, M.; Kitamura, A.; Shiraishi, Y. Combustion Control for Energy Recovery Furnace Using Model Predictive Control. IFAC Proc. Vol. 2001, 34, 409–414. [Google Scholar] [CrossRef]
- Zlatkovikj, M.; Li, H.; Zaccaria, V.; Aslanidou, I. Development of feed-forward model predictive control for applications in biomass bubbling fluidized bed boilers. J. Process Control 2022, 115, 167–180. [Google Scholar] [CrossRef]
- Zhen, J.; Liu, X.-J. Constrained Power Plant Coordinated Predictive Control Using Neurofuzzy Model1. ACTA Autom. Sin. 2006, 32, 785–790. [Google Scholar]
- Liu, X.; Guan, P.; Chan, C. Nonlinear multivariable power plant coordinate control by constrained predictive scheme. IEEE Trans. Control Syst. Technol. 2009, 18, 1116–1125. [Google Scholar] [CrossRef]
- Patel, N.; Corbett, B.; Mhaskar, P. Model predictive control using subspace model identification. Comput. Chem. Eng. 2021, 149, 107276. [Google Scholar] [CrossRef]
- Priori, C.; De Angelis, M.; Betti, R. On the selection of user-defined parameters in data-driven stochastic subspace identification. Mech. Syst. Signal Process. 2018, 100, 501–523. [Google Scholar] [CrossRef]
- Alenany, A.; Shang, H. Recursive subspace identification with prior information using the constrained least squares approach. Comput. Chem. Eng. 2013, 54, 174–180. [Google Scholar] [CrossRef]
- Jhinaoui, A. Subspace-Based Identification and Vibration Monitoring Algorithms for Rotating Systems. Ph.D. Thesis, University of Rennes 1, Rennes, France, 2014. [Google Scholar]
- Cadoret, A.; Denimal, E.; Leroy, J.-M.; Pfister, J.-L.; Mevel, L. Linear time invariant approximation for subspace identification of linear periodic systems applied to wind turbines. IFAC-PapersOnLine 2022, 55, 49–54. [Google Scholar] [CrossRef]
- Carrasco, D.S.; Goodwin, G.C. Feedforward model predictive control. Annu. Rev. Control 2011, 35, 199–206. [Google Scholar] [CrossRef]
- Qin, S.J. An overview of subspace identification. Comput. Chem. Eng. 2006, 30, 1502–1513. [Google Scholar] [CrossRef]
- Atsonios, K.; Nesiadis, A.; Detsios, N.; Koutita, K.; Nikolopoulos, N.; Grammelis, P. Review on dynamic process modeling of gasification based biorefineries and bio-based heat & power plants. Fuel Process. Technol. 2020, 197, 106188. [Google Scholar]
- Kortela, J.; Jämsä-Jounela, S.-L. Modeling and model predictive control of the BioPower combined heat and power (CHP) plant. Int. J. Electr. Power Energy Syst. 2015, 65, 453–462. [Google Scholar] [CrossRef]
- Lu, Z.; Chen, X.; Yao, S.; Qin, H.; Zhang, L.; Yao, X.; Yu, Z.; Lu, J. Feasibility study of gross calorific value, carbon content, volatile matter content and ash content of solid biomass fuel using laser-induced breakdown spectroscopy. Fuel 2019, 258, 116150. [Google Scholar] [CrossRef]
- Liu, Y.; Liu, S.; Li, Y.; Li, Y.; He, J. Influence of Operating Parameters on Chlorine Release and Pollutant Emission Characteristics of a 130 t/h BCFB Combustion System. ACS Omega 2021, 6, 12530–12540. [Google Scholar] [CrossRef] [PubMed]
- Brück, D.; Elmqvist, H.; Mattsson, S.E.; Olsson, H. In Dymola for multi-engineering modeling and simulation. Proc. Model. Citeseer 2002, 2002, 55-1–55-8. [Google Scholar]
- Huang, B.; Kadali, R. Dynamic Modeling, Predictive Control and Performance Monitoring: A Data-Driven Subspace Approach; Springer: Berlin/Heidelberg, Germany, 2008. [Google Scholar]
- Oh, T.H.; Kim, J.W.; Son, S.H.; Jeong, D.H.; Lee, J.M. Multi-strategy control to extend the feasibility region for robust model predictive control. J. Process Control 2022, 116, 25–33. [Google Scholar] [CrossRef]
- Jamaludin, I.; Wahab, N.; Khalid, N.; Sahlan, S.; Ibrahim, Z.; Rahmat, M.F. N4SID and MOESP subspace identification methods. In Proceedings of the 2013 IEEE 9th International Colloquium on Signal Processing and Its Applications, Kuala Lumpur, Malaysia, 8–10 March 2013; pp. 140–145. [Google Scholar]
- Chen, C.; Pan, L.; Shen, J.; Lee, K.Y.; Zhang, F.; Sun, L.; Wu, X.; Zhang, J.; Xue, W. Control of Nonlinear Constrained Ultra-Supercritical Boiler–Turbine Units Using Offset-Free Output-Feedback Stable MPC. IFAC-PapersOnLine 2018, 51, 155–160. [Google Scholar] [CrossRef]
- Zhang, Z.; Zhu, M.; Liu, S.; Wu, X. Dynamic modeling and coupling characteristics analysis of biomass power plant integrated with carbon capture process. Energy Convers. Manag. 2022, 273, 116431. [Google Scholar] [CrossRef]











| Design and Operation Parameters | Numerical Value | 
|---|---|
| Furnace size (width × depth × height) | 8.76 m × 5.4 m × 30 m | 
| Primary air temperature (Air preheater outlet) | 175 °C | 
| Secondary air temperature (Air preheater outlet) | 175 °C | 
| Fuel flow | 35.286 t/h | 
| Primary air flow (Air preheater outlet) | 101,974 m3/h | 
| Secondary air flow (Air preheater outlet) | 101,974 m3/h | 
| Fuel particle size | 0–100 mm | 
| Bed material particle size (River sand) | 0–2 mm | 
| Boiler maximum continuous rate (BMCR) | 143 t/h | 
| Disclaimer/Publisher’s Note: The statements, opinions and data contained in all publications are solely those of the individual author(s) and contributor(s) and not of MDPI and/or the editor(s). MDPI and/or the editor(s) disclaim responsibility for any injury to people or property resulting from any ideas, methods, instructions or products referred to in the content. | 
© 2023 by the authors. Licensee MDPI, Basel, Switzerland. This article is an open access article distributed under the terms and conditions of the Creative Commons Attribution (CC BY) license (https://creativecommons.org/licenses/by/4.0/).
Share and Cite
Wei, H.; Liu, S.; He, J.; Liu, Y.; Zhang, G. Research on Model Predictive Control of a 130 t/h Biomass Circulating Fluidized Bed Boiler Combustion System Based on Subspace Identification. Energies 2023, 16, 3421. https://doi.org/10.3390/en16083421
Wei H, Liu S, He J, Liu Y, Zhang G. Research on Model Predictive Control of a 130 t/h Biomass Circulating Fluidized Bed Boiler Combustion System Based on Subspace Identification. Energies. 2023; 16(8):3421. https://doi.org/10.3390/en16083421
Chicago/Turabian StyleWei, Heng, Shanjian Liu, Jianjie He, Yinjiao Liu, and Guanshuai Zhang. 2023. "Research on Model Predictive Control of a 130 t/h Biomass Circulating Fluidized Bed Boiler Combustion System Based on Subspace Identification" Energies 16, no. 8: 3421. https://doi.org/10.3390/en16083421
APA StyleWei, H., Liu, S., He, J., Liu, Y., & Zhang, G. (2023). Research on Model Predictive Control of a 130 t/h Biomass Circulating Fluidized Bed Boiler Combustion System Based on Subspace Identification. Energies, 16(8), 3421. https://doi.org/10.3390/en16083421
 
        


 
       