Preliminary Results of Heat Transfer and Pressure Drop Measurements on Al2O3/H2O Nanofluids through a Lattice Channel
Abstract
1. Introduction
2. Al2O3/H2O Nanofluid, Test Channel and Experimental Apparatus
3. Physical and Thermophysical Properties of the Nanofluid
4. Results and Discussion
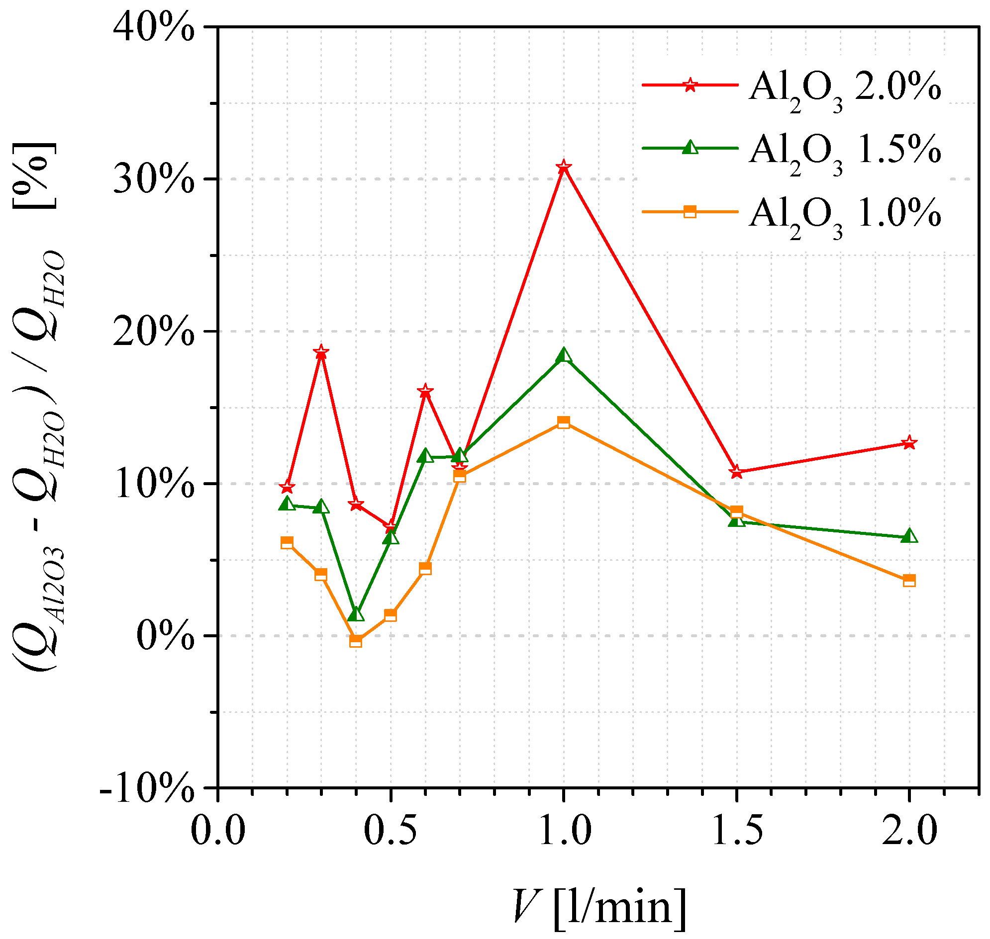
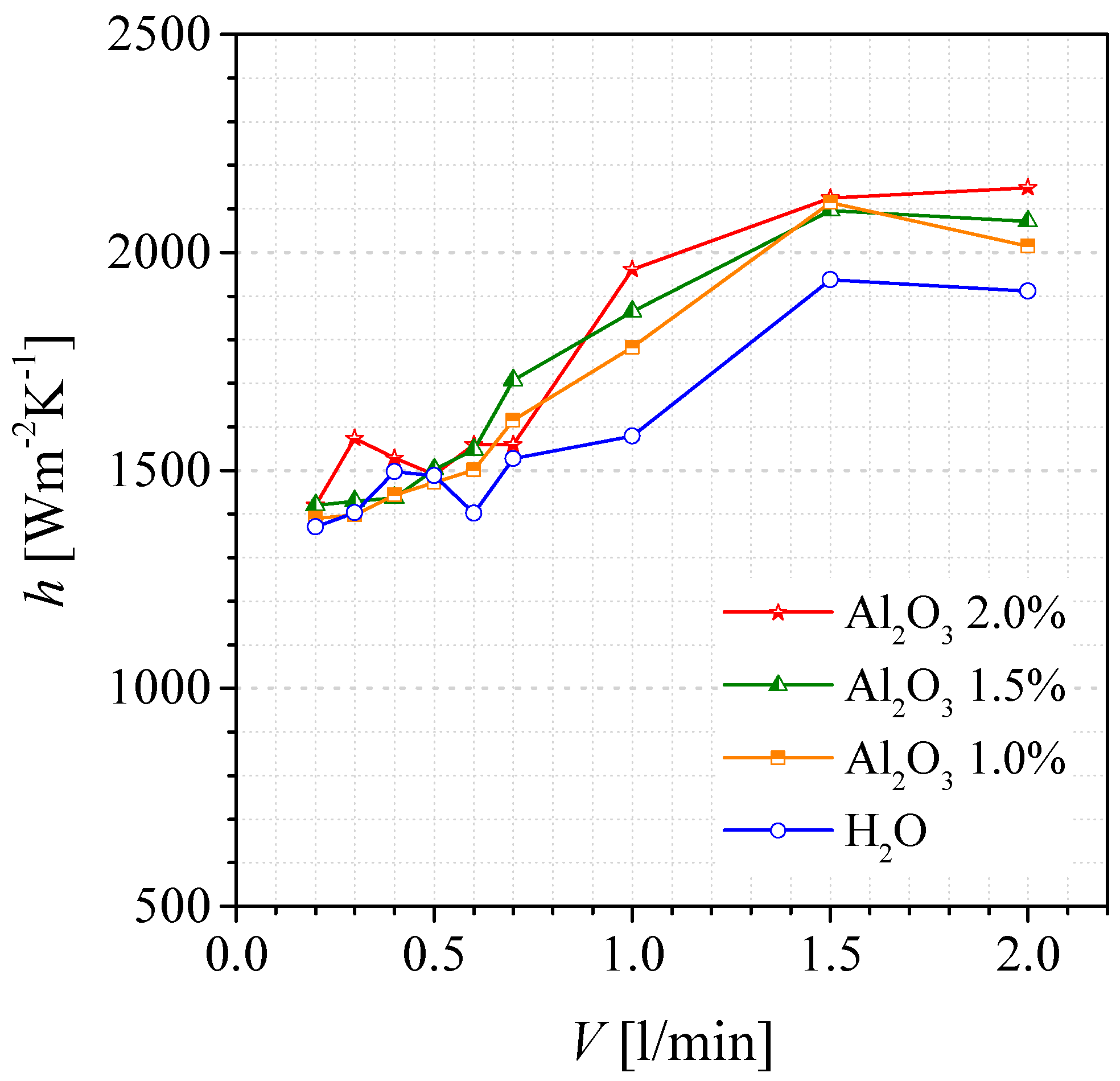
4.1. Heat Transfer Measurements
- is the difference between the nanofluid temperature at the post-test duct and the temperature at the inlet measured in the pre-test duct;
- is the mass flow rate in kg/s, with ρnf the nanofluid density (calculated with Equation (2)) and V the measured volumetric flow rate;
- cnf is the nanofluid specific heat calculated with Equation (3).
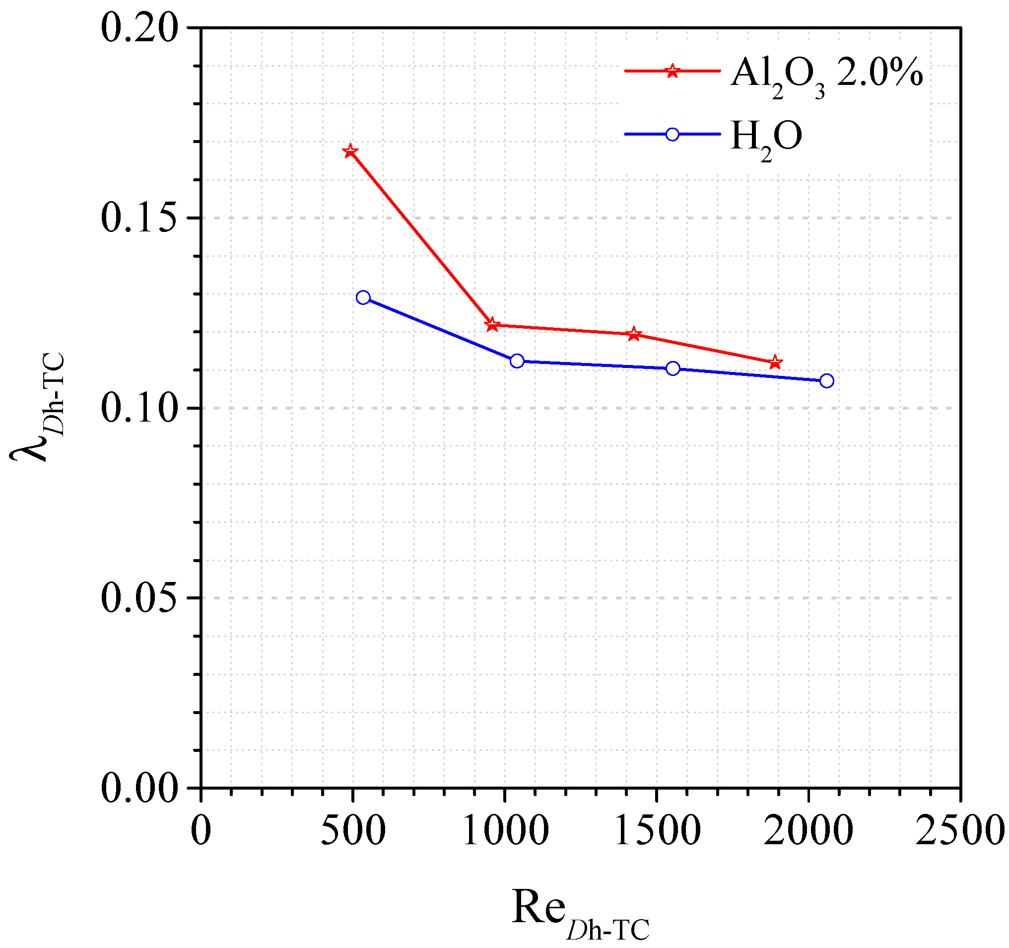
4.2. Pressure Drops Measurements
4.3. Experimental Uncertanties
- Error distribution is Gaussian according to the central limit theorem;
- Contribution of each variable to the global uncertainty is reciprocally independent;
- Measurement accuracy is expressed with a confidence level of 95%.
4.3.1. Friction Factor Uncertainty
- Differential pressure measurement;
- Velocity evaluation.
4.3.2. Nusselt Number Uncertainty
5. Conclusions
- The heat power absorbed by the nanofluid results are higher than heat power absorbed by pure water for each volumetric concentration of nanoparticles and for each volumetric flow rate (an average increase of 6%, 9%, and 14% for 1.00%, 1.50%, and 2.05% volume concentrations, respectively, has been estimated);
- The heat convective coefficient of nanofluid is greater than water when the volumetric flow rate is greater than 0.5 L/min; however, there is not a significant difference when volumetric flow rate ranges from 0.2 and 0.5 L/min;
- When the volumetric flow rate is greater than 1 L/min, the heat convective coefficient results are almost the same (saturation effect);
- The pressure drop of nanofluids is almost the same as that of pure water;
- In laminar flow, the lattice channel (crossed by water or nanofluids independently) gives better thermal performances compared to the smooth duct..The aim of this paper is to match the advantage of nanofluid itself and its possible use in reticular ducts already widely used by many researchers to increase heat transfer, and although this paper represents a preliminary study to estimate the heat transfer enhancement due to both nanofluids and lattice structure, it can be concluded that nanofluids that flow through a reticular duct represent a combination that increases the heat exchange when volumetric flow rate is greater than 0.5 L/min and when the laminar regime is assured. Moreover, given that the pressure drop of nanofluids is almost the same as that of pure water, the use of nanofluids represents a solution that increases the cooling efficiency of heat exchange. Certainly, traditional fluids can be handled more easily; the use of nanofluids involves higher production and maintenance costs considering the phenomena to which they could be subject, such as sedimentation or clustering.
Author Contributions
Funding
Institutional Review Board Statement
Informed Consent Statement
Data Availability Statement
Conflicts of Interest
Nomenclature
| Latin | |
| A | surface [m2] | 
| C | specific heat [J·kg−1·K−1] | 
| d | diameter [m] | 
| D | diameter [m] | 
| H | convective heat transfer coefficient [W·m−2·K−1] | 
| H | inner duct height [m] | 
| I | electrical current [A] | 
| K | thermal conductivity [W·m−1·K−1] | 
| L | length of the lattice channel [m] | 
| M | molecular weight [kg·mol−1] | 
| mass flow rate [kg·s−1] | |
| N | Avogadro number [mol−1] | 
| Nu | Nusselt number [-] | 
| P | pressure [Pa] | 
| Pr | Prandtl number [-] | 
| heat transfer rate [W] | |
| R | electrical resistance [Ω] | 
| Re | Reynolds number [-] | 
| W | particle weight fraction [-] or velocity [m·s−1] | 
| W | inner duct width [m] | 
| T | temperature [°C] or [K] | 
| volumetric flow rate [m3·s−1] or [l·min−1] | |
| Greek | |
| A | thermal diffusivity [m2·s−1] | 
| Δ | difference [-] | 
| Φ | particle volume fraction [-] | 
| Λ | friction factor [-] | 
| Μ | dynamic viscosity [kg·m−1·s−1] | 
| Ν | kinematic viscosity [m2·s−1] | 
| Ρ | density [kg·m−3] | 
| Subscripts | |
| Cd | conduction | 
| be | energy balance | 
| F | fluid | 
| Fc | forced convection | 
| He | heater | 
| Nf | nanofluid | 
| P | particle | 
| SD | supply duct | 
| Tot | total | 
| TC | test channel | 
References
- Choi, S.U.S.; Eastman, J.A. Enhancing thermal conductivity of fluids with nanoparticles. In Proceedings of the ASME, San Francisco, CA, USA, 12–17 November 1995. [Google Scholar]
- Li, J.; Zhang, X.; Xu, B.; Yuan, M. Nanofluid research and applications: A review. Int. Commun. Heat Mass Transf. 2021, 127, 105543. [Google Scholar] [CrossRef]
- Sheremet, M.A. Applications of nanofluids. Nanomater 2021, 11, 1716. [Google Scholar] [CrossRef] [PubMed]
- Zhang, Y.; Zhou, Y. The recent progress of nanofluids and the state-of-art thermal devices. Highlights Sci. Eng. Technol. 2022, 13. [Google Scholar] [CrossRef]
- Lee, S.; Choi SU, S.; Li, S.; Eastman, J.A. Measuring Thermal Conductivity of Fluids Containing Oxide Nanoparticles. J. Heat Transf. 1999, 121, 280–289. [Google Scholar] [CrossRef]
- Corasaniti, S.; Bovesecchi, G.; Gori, F. Experimental thermal conductivity of alumina nanoparticles in water with and without sonication. Int. J. Thermophys. 2021, 42, 23. [Google Scholar] [CrossRef]
- Lenin, R.; Joy, P.A.; Bera, C. A review of the recent progress on thermal conductivity of nanofluid. J. Mol. Liq. 2021, 338, 116929. [Google Scholar] [CrossRef]
- Bovesecchi, G.; Corasaniti, S.; Costanza, G.; Piccotti, F.; Potenza, M.; Tata, M.E. Heat Conduction and microconvection in nanofluids: Comparison between theoretical models and experimental results. Aerospace 2022, 9, 608. [Google Scholar] [CrossRef]
- Scott, T.O.; Ewim, D.R.E.; Eloka-Eboka, A.C. Hybrid nanofluids flow and heat transfer in cavities: A technological review. Int. J. Low Carbon Technol. 2022, 17, 1104–1123. [Google Scholar] [CrossRef]
- Lin, H.; Jian, Q.; Bai, X.; Li, D.; Huang, Z.; Huang, W.; Feng, S.; Cheng, Z. Recent advances in thermal conductivity and thermal applications of graphene and its derivatives nanofluids. Appl. Therm. Eng. 2023, 218, 119176. [Google Scholar] [CrossRef]
- Trisaksri, V.; Wongwises, S. Critical review of heat transfer characteristics of nanofluids. Renew. Sustain. Energy Rev. 2007, 11, 512–523. [Google Scholar] [CrossRef]
- Yu, W.; France, D.; Choi, S.; Routbort, J. Review and Assessment of Nanofluid Technology for Transportation and Other Applications; No. ANL/ESD/07-9; Argonne National Lab. (ANL): Argonne, IL, USA, 2007. [Google Scholar]
- Mohammed, H.; Bhaskaran, G.; Shuaib, N.; Saidur, R. Heat transfer and fluid flow characteristics in microchannels heat exchanger using nanofluids. Renew. Sustain. Energy Rev. 2011, 15, 1502–1512. [Google Scholar] [CrossRef]
- Kumar, S.; Sharma, M.; Bala, A.; Kumar, A.; Maithani, R.; Sharma, S.; Alam, T.; Kumar Gupta, N.; Sharifpur, M. Enhanced heat transfer using oil-based nanofluid flow through Conduits: A Review. Energies 2022, 15, 8422. [Google Scholar] [CrossRef]
- Ma, H.; He, B.; Su, L.; He, D. Heat transfer enhancement of nanofluid flow at the entry region of microtubes. Int. J. Therm. Sci. 2023, 184, 107944. [Google Scholar] [CrossRef]
- Cieśliński, J.T.; Lubocki, D.; Smolen, S. Impact of temperature and nanoparticle concentration on turbulent forced convective heat transfer of nanofluids. Energies 2022, 15, 7742. [Google Scholar] [CrossRef]
- Abdelaziz, A.H.; El-Maghlany, W.M.; El-Din, A.A.; Alnakeeb, M.A. Mixed convection heat transfer utilizing nanofluids, ionic nanofluids, and hybrid nanofluids in a horizontal tube. Alex. Eng. J. 2022, 61, 9495–9508. [Google Scholar] [CrossRef]
- Wai, O.J.; Gunnasegaran, P.; Hasini, H. A review on experimental and numerical investigations of jet impingement cooling performance with nanofluids. Micromachines 2022, 13, 2059. [Google Scholar] [CrossRef] [PubMed]
- Alammar, K.N.; Mohammed, A. Flow and heat transfer characteristics of heterogeneous nanofluids in pipes. In Proceedings of the ASME, Denver, CO, USA, 11–17 November 2011. [Google Scholar]
- Zeng, X.; Hao, Y.; He, T.; Mao, N. A numerical study on heat transfer characteristics of a novel rectangular grooved microchannel with nanofluids. Energies 2022, 15, 7187. [Google Scholar] [CrossRef]
- Wadley, H.N.G. Multifunctional periodic cellular metals. Philos. Trans. R. Soc. A 2006, 364, 31–68. [Google Scholar] [CrossRef]
- Kim, T.; Zhao, C.Y.; Lu, T.J.; Hodson, H.P. Convective heat dissipation with lattice-frame materials. Mech. Mater. 2004, 36, 767–780. [Google Scholar] [CrossRef]
- Kim, T.; Hodson, H.P.; Lu, T.J. Fluid-flow and endwall heat-transfer characteristics of an ultralight lattice-frame material. Int. J. Heat Mass Transf. 2004, 47, 1129–1140. [Google Scholar] [CrossRef]
- Shen, B.; Yan, H.; Xue, H.; Xie, G. The effects of geometrical topology on fluid flow and thermal performance in Kagome cored sandwich panels. Appl. Therm. Eng. 2018, 142, 79–88. [Google Scholar] [CrossRef]
- Zhang, Q.; Han, Y.; Chen, C.; Lu, T. Ultralight X-type lattice sandwich structure (I): Concept, fabrication and experimental characterization. Sci. China Ser. E-Technol. Sci. 2009, 52, 2147–2154. [Google Scholar] [CrossRef]
- Yan, H.B.; Zhang, Q.C.; Lu, T.J.; Kim, T. A lightweight X-type metallic lattice in single-phase forced convection. Int. J. Heat Mass Transf. 2015, 83, 273–283. [Google Scholar] [CrossRef]
- Petracci, I.; Corasaniti, S.; Potenza, M.; Santoro, D.; Consolini, L.; Gori, F. In a 3D printed lattice channel for a combined hydrodynamic and thermal entry length problem. Appl. Therm. Eng. 2023. submitted for publication. [Google Scholar]
- Ghambari, M.; Rezazadeh, G. A MEMS-based methodology for measurement of effective density and viscosity of nanofluids. Eur. J. Mech.–B Fluids 2021, 86, 67–77. [Google Scholar] [CrossRef]
- Maxwell, J.C.A. Treatise on Electricity and Magnetism; Clarendon Press: Oxford, UK, 1881. [Google Scholar]
- Corcione, M. Empirical correlating equations for predicting the effective thermal conductivity and dynamic viscosity of nanofluids. Energy Conv. Manag. 2011, 52, 789–793. [Google Scholar] [CrossRef]
- Kays, W.M.; Crawford, M.E. Convection Heat and Mass Transfer, 3rd ed.; McGraw-Hill: New York, NY, USA, 1993. [Google Scholar]
- Kreith, F.; Manglik, R.M.; Bohn, M.S. Principles of Heat Transfer, 7th ed.; Cengage Learning: Boston, MA, USA, 2011. [Google Scholar]
- Tam, L.M.; Ghajar, A.J. Transitional heat transfer in plain horizontal tubes. Heat Transfer Eng. 2006, 27, 23–38. [Google Scholar] [CrossRef]
- Moffat, R.J. Describing the Uncertainties in Experimental Results. Exp. Therm. Fluid Sci. 1988, 1, 3–17. [Google Scholar] [CrossRef]
- JCGM 100:2008; Evaluation of Measurement Data—Guide to the Expression of Uncertainty in Measurement. Naitional Oceanic and Atmospheric Administration: Washington, DC, USA, 2008.

















| Parameter | Description | Value | 
|---|---|---|
| distance between the centres of two unit-cells, z direction | 7.07 | |
| distance between the centres of two unit-cells, x direction | 4.06 | |
| diameter of each internal segment of the unit cell | 2.09 | |
| distance between the centre of the unit-cell and the duct base | 3.42 | |
| length of the single pillar of the unit-cell | 4.06 | |
| length of the lattice channel, x direction | 80 | |
| inner duct height | 5 | |
| inner duct width | 15 | |
| wall thickness | 1 | |
| Dh-TC [mm] | hydraulic diameter of frontal section (y–z plane) | 1.51 | 
| Smin-TC [mm2] | minimum flow passage section | 24.4 | 
| V [L/min] | H2O | Al2O3 (1.0%) | Al2O3 (1.5%) | Al2O3 (2.0%) | 
|---|---|---|---|---|
| 0.2 | 20.7 | 20.8 | 20.8 | 21.1 | 
| 0.3 | 20.6 | 20.5 | 20.4 | 20.5 | 
| 0.4 | 20.4 | 20.4 | 20.3 | 20.4 | 
| 0.5 | 20.3 | 20.3 | 20.2 | 20.4 | 
| 0.6 | 20.3 | 20.2 | 20.2 | 20.3 | 
| 0.7 | 20.3 | 20.2 | 20.2 | 20.3 | 
| 1.0 | 20.2 | 20.2 | 20.2 | 20.2 | 
| 1.5 | 20.2 | 20.2 | 20.1 | 20.2 | 
| 2.0 | 20.1 | 20.2 | 20.1 | 20.2 | 
| V [L/min] | H2O | Al2O3 (1.0%) | Al2O3 (1.5%) | Al2O3 (2.0%) | 
|---|---|---|---|---|
| 0.2 | 30.0 | 30.7 | 30.9 | 31.3 | 
| 0.3 | 26.5 | 26.7 | 27.8 | 27.6 | 
| 0.4 | 25.0 | 24.9 | 24.9 | 25.4 | 
| 0.5 | 23.8 | 24.0 | 23.9 | 24.1 | 
| 0.6 | 23.0 | 23.1 | 23.2 | 23.5 | 
| 0.7 | 22.7 | 22.9 | 22.7 | 23.0 | 
| 1.0 | 21.8 | 22.1 | 22.1 | 22.4 | 
| 1.5 | 21.5 | 21.6 | 21.5 | 21.6 | 
| 2.0 | 21.1 | 21.1 | 21.1 | 21.2 | 
| Type | Model | Range | Accuracy | 
|---|---|---|---|
| Flowmeter | Dwyer, RMB 82D-SSV | 0.06 ÷ 0.73 L/min | 3% of full scale | 
| Flowmeter | Dwyer, RMA 85D-SSV | 0.8 ÷ 6.2 L/min | 3% of full scale | 
| Pressure transducer | Dwyer, 629C01 | 0 ÷ 35 kPa | ±0.5% of full scale | 
| Disclaimer/Publisher’s Note: The statements, opinions and data contained in all publications are solely those of the individual author(s) and contributor(s) and not of MDPI and/or the editor(s). MDPI and/or the editor(s) disclaim responsibility for any injury to people or property resulting from any ideas, methods, instructions or products referred to in the content. | 
© 2023 by the authors. Licensee MDPI, Basel, Switzerland. This article is an open access article distributed under the terms and conditions of the Creative Commons Attribution (CC BY) license (https://creativecommons.org/licenses/by/4.0/).
Share and Cite
Corasaniti, S.; Potenza, M.; Petracci, I. Preliminary Results of Heat Transfer and Pressure Drop Measurements on Al2O3/H2O Nanofluids through a Lattice Channel. Energies 2023, 16, 3835. https://doi.org/10.3390/en16093835
Corasaniti S, Potenza M, Petracci I. Preliminary Results of Heat Transfer and Pressure Drop Measurements on Al2O3/H2O Nanofluids through a Lattice Channel. Energies. 2023; 16(9):3835. https://doi.org/10.3390/en16093835
Chicago/Turabian StyleCorasaniti, Sandra, Michele Potenza, and Ivano Petracci. 2023. "Preliminary Results of Heat Transfer and Pressure Drop Measurements on Al2O3/H2O Nanofluids through a Lattice Channel" Energies 16, no. 9: 3835. https://doi.org/10.3390/en16093835
APA StyleCorasaniti, S., Potenza, M., & Petracci, I. (2023). Preliminary Results of Heat Transfer and Pressure Drop Measurements on Al2O3/H2O Nanofluids through a Lattice Channel. Energies, 16(9), 3835. https://doi.org/10.3390/en16093835
 
        





 
       