Experimental Study on Spray Cooling Heat Transfer of LN2 for a Large Area
Abstract
:1. Introduction
2. Experimental Setup
- (1)
- Turn on the solenoid valve to keep the pipeline open, then pass nitrogen gas in the pipeline to discharge the air in the pipeline;
- (2)
- The initial temperature of the cooled surface is controlled at 20 °C by the electric heating sheet and the temperature controller. The opening and closing of the solenoid valve are controlled by another temperature controller, and the solenoid valve closes when the temperature of the cooled surface drops to −60 °C;
- (3)
- Turn on the data-acquisition instrument and detect the temperature data of the thermocouples. After initialization of the equipment is completed, open the regulator connected with the electric heating sheet so that the temperature of the cooled surface gradually rises and reaches stability. After the temperature of the cooled surface is stabilized for a period of time, close the regulator to stop the heating, and open the liquid supply valve so that the spray cooling system begins to work;
- (4)
- When the cooled surface temperature decreases to the set temperature, the solenoid valve automatically closes. As the surface temperature gradually rises, the temperature controller automatically adjusts the opening frequency and the duty cycle of the solenoid valve based on the temperature of the thermocouple and the set temperature to achieve the stability of the cooled surface temperature;
- (5)
- In the cooling process of the cooled surface, the temperature-change data of the temperature picking point on the back of the test plate is measured by the thermocouples with time, and the time taken for the temperature of the cooled surface to drop is displayed. The weighted average of the thermocouple test data is taken so that the cooling curve can be fitted. Then, the spray heat-transfer coefficients of the flat surface, micro-grooved surface, and porous surface can be calculated.
2.1. Spray System
2.2. Test Surface
2.3. Heater Assembly and Experimental Measurement Facilities
3. Error Analysis
4. Results and Discussion
4.1. The Effect of Different Surfaces on Cooling
4.2. The Effect of the Direction of Spray on Cooling
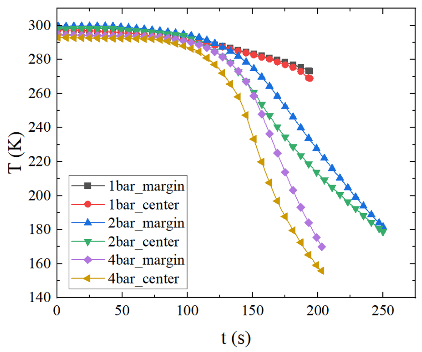
4.3. The Effect of Pressure on Cooling
5. Conclusions
- Five surfaces could achieve the goal of rapid cooling and a temperature-control reaction time of less than 1 min, but only the smooth flat surface could achieve the stability of low temperature control under high heat flux. In this paper, the enhanced heat-transfer effects of five different surfaces were compared. The experimental results showed that the enhanced heat-transfer effect of the smooth flat surface was the best, and the low temperature-control function could still be realized under the large heat power of 10 kW/m2;
- In the experiment which studied the influence of spray direction, the heat-transfer coefficient was about 103.34 ± 4.34 W/(m2·K) when spraying vertically downward, and 86.28 ± 9.13 W/(m2·K) when spraying horizontally. When spraying vertically upward, the heat-transfer coefficient was about 65.7 ± 5.86 W/(m2·K). The results showed that the surface heat-transfer coefficient was significantly lower when spraying upward at 4 × 105 Pa, and the change of heat-transfer coefficient was about ±20% when the spraying direction was different. It could be seen that gravity had a great influence on the heat-transfer coefficient of the spray;
- With the increase in the surface spray pressure, the surface heat-transfer coefficient increased. The results showed that the surface spray strengthening of the heat-transfer coefficient increases linearly along with the change of pressure, but the increased rate under a different spray direction was different, and, when spraying down, the surface heat-transfer coefficient with the increase in the pressure rate was higher.
Author Contributions
Funding
Data Availability Statement
Conflicts of Interest
Nomenclature
| U | speed vector | 
| Sg | generalized source term | 
| md | quality of droplet | 
| Td | droplet temperature | 
| Ta | temperature of environment | 
| hc | convection heat-transfer coefficient | 
| h | surface heat-transfer coefficient | 
| t | time | 
| Lh | droplet evaporation coefficient | 
| Ad | droplet surface area | 
| Bm | mass exchange coefficient | 
| FD | drag coefficient | 
| ud | velocity of droplet | 
| ua | velocity of environment fluid | 
| g | gravity acceleration | 
| Re | Reynolds number | 
| Red | Reynolds number of droplet | 
| q | heat flux | 
| Bi | Biot number | 
| Tw | temperature of the test surface | 
| c | specific heat capacity of the test plate | 
| P | heating power of the electric heater | 
| R | resistance of the electric heater | 
| S | heat area of the electric heater | 
| Ti | measurement temperature of thermocouples | 
| average of the measurement temperature of thermocouples | |
| error of surface temperature change rate | |
| error of time | |
| error of the surface heat-transfer coefficient | |
| error of the test thickness | |
| Greek Letters | |
| ϕ | common variable | 
| Γϕ | generalized diffusion coefficient | 
| ρ | variable density | 
| ρa | environment fluid density | 
| ρd | droplet density | 
| δ | test plate thickness | 
References
- Yalong, T. Application of Spray Cooling Technology in Multi-connected Air Conditioning (Heat Pump) Units. Mod. Ind. Econ. Inf. 2022, 12, 115–117. [Google Scholar]
- Dong, B.; Sun, Q.; Gao, C.; Liang, K.; Li, Y.; Wang, L. Study on Spray Cooling Heat Transfer Performance of Power Battery. J Eng. Thermophys-Rus. 2022, 43, 1588–1595. [Google Scholar]
- Niu, C.; Hua, J.; Wang, K.; Liu, Z. Numerical Investigation on Flow and Heat Transfer in Spray Cooling of Gas Turbines. J. Eng. Therm. Energy Power 2022, 37, 91–96+194. [Google Scholar]
- Silk, E.A.; Kim, J.; Kiger, K. Spray cooling of enhanced surfaces: Impact of structured surface geometry and spray axis inclination. Int. J. Heat Mass Tran. 2006, 49, 4910–4920. [Google Scholar] [CrossRef]
- Hu, C. Online Local Enhanced Cooling and Property Control of Hot Rolled H-Beam. Master’s Thesis, Yanshan University, Qinhuangdao, China, 2022. [Google Scholar]
- Lou, J. Experimental Measurements and Theoretical Analysis Spray Cooling under Low Pressure. Master’s Thesis, Harbin Institute of Technology, Harbin, China, 2014. [Google Scholar]
- Liu, N.; Li, L.; Kang, Y.T. Experimental study on heat transfer performance enhancement by micro-structured surfaces for inclination spray application. Int. J. Heat Mass Tran. 2019, 133, 631–640. [Google Scholar] [CrossRef]
- Long, H. Experimental Study on Heat Transfer Enhancement for Spray Cooling. Ph.D. Thesis, Nanjing University of Aeronautics and Astronautics, Nanjing, China, 2018. [Google Scholar]
- Liu, L.; Wang, X.; Ge, M.; Zhao, Y. Experimental study on heat transfer and power consumption of low-pressure spray cooling. Appl. Therm. Eng. 2021, 184, 116253. [Google Scholar] [CrossRef]
- Chunchao, Q. Investigation on Heat Performance of Spray Cooling System. Master’s Thesis, Zhongyuan University of Technology, Zhengzhou, China, 2015. [Google Scholar]
- Ranran, Y. Experimental and Theoretical Study on Spray Cooling to Enhance Heat Transfer. Master’s Thesis, Hebei University of Technology, Tianjin, China, 2017. [Google Scholar]
- Zhao, K.; She, Y.; Jiang, Y.; Qin, J.; Zhang, Z. Numerical study on phase change behavior of liquid nitrogen droplets impinging on solid surface. Acta Phys. Sin. 2019, 68, 244401. [Google Scholar] [CrossRef]
- Zhou, Z.; Lin, Y.; Tang, H.; Fang, Y.; Chen, B.; Wang, Y. Heat transfer enhancement due to surface modification in the close-loop R410A flash evaporation spray cooling. Int. J. Heat Mass Tran. 2019, 139, 1047–1055. [Google Scholar] [CrossRef]
- Xu, R.; Cao, L.; Wang, G.; Chen, J.; Jiang, P. Experimental investigation of closed loop spray cooling with micro- and hybrid micro-/nano-engineered surfaces. Appl. Therm. Eng. 2020, 180, 115697. [Google Scholar] [CrossRef]
- Opoku, R.; Kizito, J.P. Experimental investigation of heat transfer characteristics and performance of smooth and wicking surfaces in spray cooling for high heat flux applications. Results Eng. 2020, 6, 100119. [Google Scholar] [CrossRef]
- Wang, J.; Li, Y.; Zhong, M.; Zhang, H. Investigation on a gas-atomized spray cooling upon flat and micro-structured surfaces. Int. J. Therm. Sci. 2021, 161, 106751. [Google Scholar] [CrossRef]
- Liang, Z. Design of Circulatory Spray Cooling System and Experimental Study of Spray Cooling. Master’s Thesis, Xidian University, Xi’an, China, 2010. [Google Scholar]
- Wei, Z. Investigation of Heat Transfer Characteristics of Spray Cooling on Micro-Grooved Surface. Ph.D. Thesis, China University of Petroleum (East China), Dongying, China, 2013. [Google Scholar]
- Yang, Q.; Jionghui, L.; Mei, L.; Xiufang, L.; Yu, H. Experimental Study on Heat Transfer Performance of Phase Change Spray Cooling with R134a. J. Xi’an Jiaotong Univ. 2015, 49, 97–101. [Google Scholar]
- Lijia, J. Study on Heat Transfer Characteristics of Compact Micro Spray Cold Plate. Master’s Thesis, University of Science and Technology of China, Beijing, China, 2019. [Google Scholar]
- Ruan, Y.; Hou, Y.; Xue, R.; Luo, G.; Zhu, K.; Liu, X.; Chen, L. Effects of operational parameters on liquid nitrogen spray cooling. Appl. Therm. Eng. 2019, 146, 85–91. [Google Scholar] [CrossRef]
- She, Y.; Jiang, Y. Investigation on the spray cooling performance with liquid nitrogen. Int. Commun. Heat Mass 2022, 136, 106200. [Google Scholar] [CrossRef]
- Hou, Y.; Tao, Y.; Huai, X.; Zou, Y.; Sun, D. Numerical simulation of multi-nozzle spray cooling heat transfer. Int. J. Therm. Sci. 2018, 125, 81–88. [Google Scholar] [CrossRef]
- Gong, Y.; Zhao, J.; Li, W.; Ai, Q.; Gong, J.; Shuai, Y.; Sun, C. Experimental Investigation on Heat Transfer Characteristics of Liquid Nitrogen Spray Cooling for Large Area. Energies 2023, 16, 403. [Google Scholar] [CrossRef]


















| Year | Application | Area of Cooling (mm2) | Surface Nature | Spray Fluid | 
|---|---|---|---|---|
| 2006 | Space and avionic device [4] | 200 | Flat surface | PF-5060 | 
| 400 | Cubic pin fins | |||
| 400 | Straight fins | |||
| 450 | Pyramids | |||
| 2010 | Electronic devices cooling [17] | 30 × 30 | Copper surface | Water | 
| 2013 | Electronic devices cooling [18] | 20 × 20 | Flat surface | Water | 
| Micro-grooved surface | ||||
| 2014 | Electronic devices cooling [6] | 7854 | Stainless-steel surface | Water | 
| Copper surface | ||||
| Aluminum surface | ||||
| 2015 | Electronic devices cooling [10] | 113 | Copper surface | R134a | 
| Al2O3-water-based nanofluid | ||||
| 2015 | Electronic devices cooling [19] | 254 | Copper surface | R134a | 
| 2017 | Air-conditioning refrigeration and electronic devices cooling [11] | 314 | Copper surface | Water | 
| 2018 | Airborne electronics cooling [8] | 113 | Micro-grooved surface | Water | 
| 2019 | Spray cooling mechanism study [7] | 408.9 | Rectangular fins | Water | 
| 361.8 | Trapezoidal fins | |||
| 316.2 | Triangular fins | |||
| 201.1 | Projected area | |||
| 2019 | Spray cooling mechanism study [12] | - | No-slip wall surface | Liquid nitrogen | 
| 2019 | Electronic devices cooling [13] | 177 | Pyramid fins surface | R410a | 
| Square fins surface | ||||
| Flat surface | ||||
| Nano-porous flat surface | ||||
| 2019 | Electronic devices cooling [20] | 380 × 80 | Aluminum surface | Water | 
| 40% ethylene glycol aqueous solution | ||||
| 2019 | Wind tunnel [21] | - | - | Liquid nitrogen | 
| 2020 | Electronic devices cooling [14] | 113 | Flat surface | R134a | 
| Rough surface | ||||
| Micro-structured surface | ||||
| Hybrid micro-/nano-engineered surface | ||||
| 2020 | Electronic devices cooling [15] | - | Smooth surface | Deionized water | 
| V-grooved surface | ||||
| 2021 | Electronic devices cooling [9] | 314 | Copper surface | Water | 
| 2021 | Electronic devices cooling [16] | 13 × 13 | Micro-square fin surface | Distilled water | 
| 2022 | Air-conditioning refrigeration [1] | - | - | Water | 
| 2022 | Battery cooling [2] | 45 × 270 | Aluminium surface | R134a | 
| 2022 | Gas turbine [3] | - | - | Water | 
| 2022 | Metal smelting and processing industry [5] | 200 × 200 | Steel surface | Water | 
| 2022 | Thermal management [22] | 148 | Copper surface | Liquid nitrogen | 
| Nozzle Type | Orifice Diameter (mm) | Spray Diffusion Angle (°) | Distance to Test Surface (mm) | 
|---|---|---|---|
| Cone | 1.6 | 120 | 42 | 
| Name | Scale Range | Error Range | 
|---|---|---|
| TDGC2J voltage regulator | 0~300 V | - | 
| Electric heating sheet | ~200 °C | ±5% | 
| Cold solenoid valve | ~1.6 MPa | - | 
| TT-T-36-SLE thermocouple | −200–260 °C | ±0.4% | 
| Data-acquisition instrument (Keysight DAQ970A) | - | 0.004% | 
| Disclaimer/Publisher’s Note: The statements, opinions and data contained in all publications are solely those of the individual author(s) and contributor(s) and not of MDPI and/or the editor(s). MDPI and/or the editor(s) disclaim responsibility for any injury to people or property resulting from any ideas, methods, instructions or products referred to in the content. | 
© 2023 by the authors. Licensee MDPI, Basel, Switzerland. This article is an open access article distributed under the terms and conditions of the Creative Commons Attribution (CC BY) license (https://creativecommons.org/licenses/by/4.0/).
Share and Cite
Zhao, J.; Guo, Y.; Ai, Q.; Gong, J.; Shuai, Y. Experimental Study on Spray Cooling Heat Transfer of LN2 for a Large Area. Energies 2023, 16, 3877. https://doi.org/10.3390/en16093877
Zhao J, Guo Y, Ai Q, Gong J, Shuai Y. Experimental Study on Spray Cooling Heat Transfer of LN2 for a Large Area. Energies. 2023; 16(9):3877. https://doi.org/10.3390/en16093877
Chicago/Turabian StyleZhao, Jinhong, Yanming Guo, Qing Ai, Jiaming Gong, and Yong Shuai. 2023. "Experimental Study on Spray Cooling Heat Transfer of LN2 for a Large Area" Energies 16, no. 9: 3877. https://doi.org/10.3390/en16093877
APA StyleZhao, J., Guo, Y., Ai, Q., Gong, J., & Shuai, Y. (2023). Experimental Study on Spray Cooling Heat Transfer of LN2 for a Large Area. Energies, 16(9), 3877. https://doi.org/10.3390/en16093877
 
        



 
       