Generalized Quasi-Static Mooring System Modeling with Analytic Jacobians
Abstract
1. Introduction
1.1. Motivation for Quasi-Static Mooring Modeling
1.2. Quasi-Static Mooring Model Developments and Limitations
1.3. Objectives of This Work
- Robust modeling of individual mooring line sections with support for less-common situations, such as when lines on the seabed become full slack or rest entirely on the seabed.
- A fully general mooring system formulation allowing any number of floating bodies to be specified.
- Analytic computation of system Jacobians for greater efficiency and robustness.
2. Quasi-Static Line Section Model
2.1. Modeling a Basic Mooring Line Section
- The line segment profile falls along a vertical plane, and as such can be analyzed in only two dimensions.
- Because only vertical loads are applied along the segment length, the horizontal component of the tension along the segment will be uniform.
- Because the horizontal tension component H is uniform, the local incline angle and total tension magnitude T are interrelated at any point on the line by
- For suspended portions of the line segment, the change in vertical tension component is equal to the wet weight per unit length of the line segment.
2.2. Fully Suspended Sections
2.3. Sections Fully on the Seabed
2.4. Sections Partly on the Seabed
2.5. Sections Partly on the Seabed and Slack
2.6. Vertical Sections
2.7. Sections on the Seabed with Both Ends Suspended
2.8. Generalization to Other Cases
3. Mooring System Assembly and Solution
3.1. Mooring System Object Hierarchy
- A line is a single mooring line section with uniform distributed properties, as described in Section 2.
- A point is an entity with three translational degrees of freedom (DOFs); it can have weight and buoyancy properties, and serves as the attachment mechanism at the ends of lines. Any number of line ends can be attached to a point, while exactly one point must be assigned to every line end.
- A body is a representation of a rigid body that can both translate and rotate. It can have weight, buoyancy, and hydrostatic properties such that it can represent a floating platform. Points can be attached to a body, which then allows any lines attached to those points to impart forces and moments on the body’s six DOFs.
3.2. Line Forces and Stiffnesses
3.3. Point Forces and Stiffnesses
3.4. Body Forces and Stiffnesses
3.5. Cross-Coupling Stiffness Terms
3.6. System Stiffness Matrix and Equilibrium Solution
3.7. Stiffness of Coupled DOFs with Free DOFs
- Perform a system equilibrium solution for only the free DOFs.
- Compute the inverse of the full system stiffness matrix (including both free and coupled DOFs).
- Delete the rows and columns of free DOFs from the inverse of the matrix, leaving a matrix for only the coupled DOFs.
- Invert the reduced inverse stiffness matrix to obtain the stiffness matrix for coupled DOFs with other DOFs in equilibrium.
4. Demonstration and Verification
4.1. Overview of the Verification Cases
- “Regular” (Reg.) has high weight and stiffness to represent chains that are commonly used for mooring systems, as well as a dynamic power cable in Case 4.
- “Rope” is nearly neutrally buoyant and has lower stiffness to represent fiber rope mooring line sections used in semi-taut and taut mooring configurations.
- “Buoyant” (Buoy.) has the same weight as Regular, but with much greater diameter to represent the buoyancy section of a dynamic power cable.
4.2. Numerical Modeling Settings
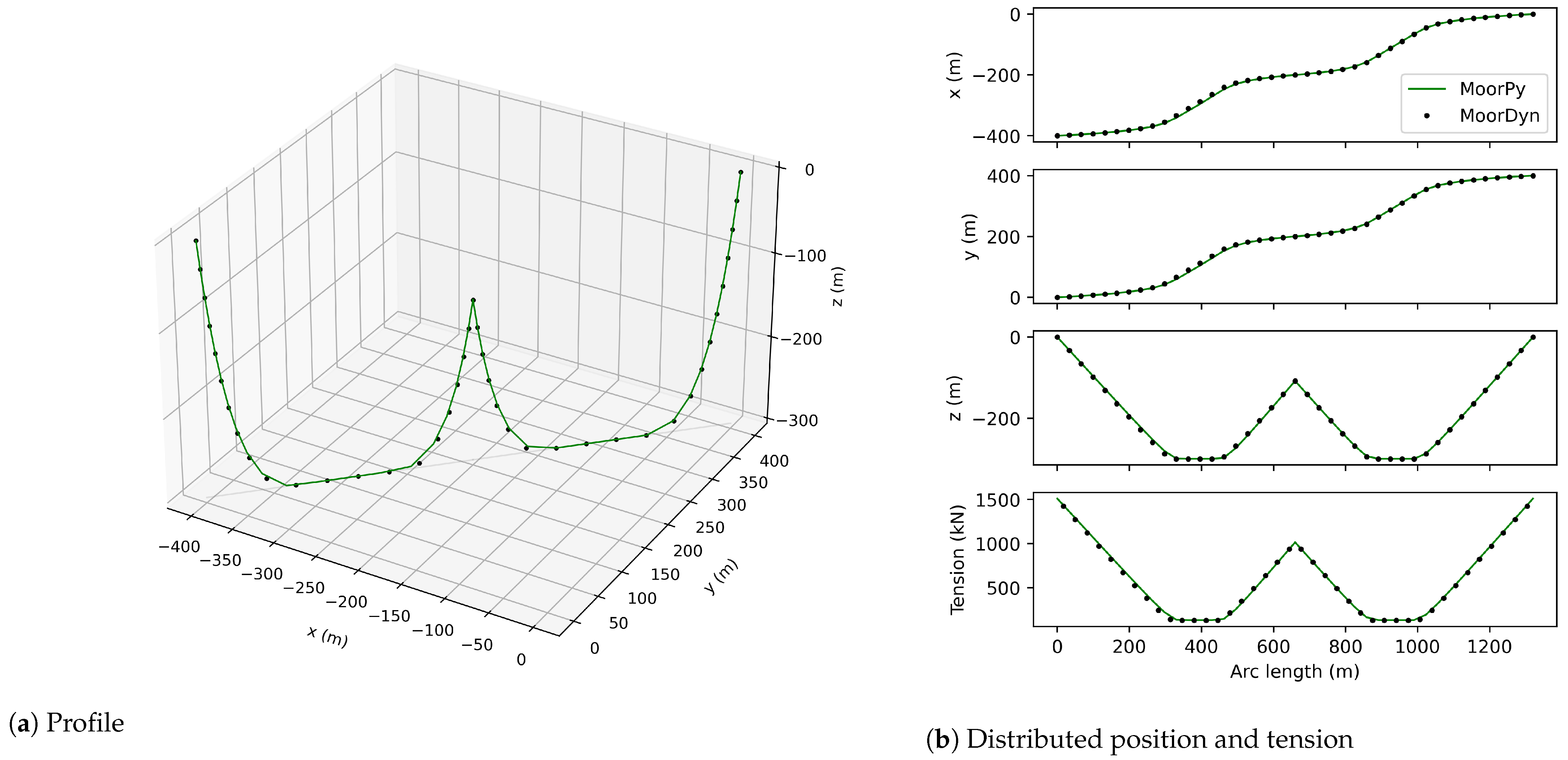
4.3. Cases 1–6: Individual Mooring Line Assemblies
4.4. Case 7: Mooring Line Attached to a Body
4.5. Case 8: Floating Wind Turbine Bridle Mooring System
- MoorDyn finite differencing, where each body DOF is purturbed and then the rest of the system is allowed to settle into equilibrium.
- MoorPy analytic with free DOFs frozen, where only body DOFs are varied and the free DOFs of the bridle points are assumed to not move.
- MoorPy finite differencing, where each body DOF is perturbed while the bridle points are equilibrated.
- MoorPy analytic, where the full system stiffness matrix is used to directly find the coupled stiffness using the analytic technique described in Section 3.7.
4.6. Case 9: Two Floating Bodies and a Shared Mooring Line
5. Conclusions
- Mooring line profiles and tensions agree very closely between MoorPy and MoorDyn, within 1% in most configurations, verifying the quasi-static line section model (Section 2) and the handling of point objects and equilibrium solution (Section 3.2, Section 3.3 and Section 3.6).
- Mooring system stiffness matrices typically agree to around 1–2% between MoorPy and MoorDyn, and agree very closely between the MoorPy finite difference and analytic methods, verifying the quasi-static stiffness formulations for bodies and coupled systems (Section 3.4, Section 3.5 and Section 3.6), including cases where certain DOFs are allowed to equilibrate (Section 3.7).
- Small differences in the results between MoorPy and MoorDyn are attributable to MoorDyn’s lumped-mass discretization and the numerical approximations inherent in computing finite differences from equilibrium results of a time domain model. All of these factors could be asymptotically improved at the cost of computation time.
- The many off-diagonal stiffness terms arising in the tests with rigid bodies are captured similarly in the various methods, indicating that no non-negligible terms are missing from the analytic stiffness computation method, even when there are couplings between bodies or when certain DOFs are allowed to equilibrate.
Funding
Data Availability Statement
Acknowledgments
Conflicts of Interest
References
- Trubat, P.; Molins, C.; Alarcon, D.; Arramounet, V.; Mahfouz, M.Y. Mooring Fatigue Verification of the WindCrete for a 15 MW Wind Turbine. In Proceedings of the ASME Third International Offshore Wind Technical Conference, Virtual, Online, 16–17 February 2021. [Google Scholar] [CrossRef]
- Goldschmidt, M.; Muskulus, M. Coupled Mooring Systems for Floating Wind Farms. Energy Procedia 2015, 80, 255–262. [Google Scholar] [CrossRef]
- Connolly, P.; Hall, M. Comparison of Pilot-Scale Floating Offshore Wind Farms with Shared Moorings. Ocean. Eng. 2019, 171, 172–180. [Google Scholar] [CrossRef]
- Howey, B.; Collins, K.M.; Hann, M.; Iglesias, G.; Gomes, R.P.F.; Henriques, J.C.C.; Gato, L.M.C.; Greaves, D. Compact floating wave energy converter arrays: Inter-device mooring connectivity and performance. Appl. Ocean. Res. 2021, 115, 102820. [Google Scholar] [CrossRef]
- Davidson, J.; Ringwood, J. Mathematical Modelling of Mooring Systems for Wave Energy Converters—A Review. Energies 2017, 10, 666. [Google Scholar] [CrossRef]
- Hall, M.; Housner, S.; Sirnivas, S.; Wilson, S. MoorPy (Quasi-Static Mooring Analysis in Python); OSTI: Oak Ridge, TN, USA, 2021. [CrossRef]
- Kwan, C.T.; Bruen, F.J. Mooring Line Dynamics: Comparison of Time Domain, Frequency Domain, and Quasi-Static Analyses. In Proceedings of the Offshore Technology Conference, Houston, TX, USA, 6–9 May 1991. [Google Scholar] [CrossRef]
- Ramzan, F.A.; Robinson, R.W. An Engineering Assessment of the Validity of the Quasi-Static Approach to Semisubmersible Mooring Design. In Proceedings of the Offshore Technology Conference, Houston, TX, USA, 5–8 May 1986. [Google Scholar] [CrossRef]
- Hall, M.; Buckham, B.; Crawford, C. Evaluating the importance of mooring line model fidelity in floating offshore wind turbine simulations. Wind. Energy 2014, 17, 1835–1853. [Google Scholar] [CrossRef]
- Masciola, M.; Robertson, A.; Jonkman, J.; Coulling, A.; Goupee, A. Assessment of the importance of mooring dynamics on the global response of the DeepCWind Floating semisubmersible offshore wind turbine. In Proceedings of the Twenty-Third International Offshore and Polar Engineering Conference, Anchorage, AL, USA, 30 June–5 July 2013. [Google Scholar]
- Hall, M.; Goupee, A. Validation of a lumped-mass mooring line model with DeepCwind semisubmersible model test data. Ocean. Eng. 2015, 104, 590–603. [Google Scholar] [CrossRef]
- Miller, R.I.S. Analysis of Cable Structures by Newton’s Method. Ph.D. Thesis, University of British Columbia, Vancouver, BC, Canada, 1971. Available online: https://www.researchgate.net/publication/277821462_Analysis_of_cable_structures_by_Newton's_method (accessed on 20 March 2024).
- Wang, C.Y.; Watson, L.T. The elastic catenary. Int. J. Mech. Sci. 1982, 24, 349–357. [Google Scholar] [CrossRef]
- Huang, S.; Vassalos, D. A semi-analytic treatment of three-dimensional statics of marine cables. Ocean. Eng. 1993, 20, 409–420. [Google Scholar] [CrossRef]
- Chai, Y.T.; Varyani, K.S.; Barltrop, N.D.P. Semi-analytical quasi-static formulation for three-dimensional partially grounded mooring system problems. Ocean. Eng. 2002, 29, 627–649. [Google Scholar] [CrossRef]
- Jonkman, J.M. Dynamics Modeling and Loads Analysis of an Offshore Floating Wind Turbine. Ph.D. Thesis, University of Colorado, Boulder, CO, USA, 2007. [Google Scholar]
- Masciola, M.; Jonkman, J.; Robertson, A. Implementation of a multisigmented, quasi-static cable mode. In Proceedings of the Twenty-Third International Offshore and Polar Engineering Conference, Anchorage, AL, USA, 30 June–5 July 2013. [Google Scholar]
- Al-Solihat, M.K.; Nahon, M. Stiffness of slack and taut moorings. Ships Offshore Struct. 2016, 11, 890–904. [Google Scholar] [CrossRef]
- Amaral, G.A.; Pesce, C.P.; Franzini, G.R. Mooring system stiffness: A six-degree-of-freedom closed-form analytical formulation. Mar. Struct. 2022, 84, 103189. [Google Scholar] [CrossRef]
- Pesce, C.P.; Amaral, G.A.; Franzini, G.R. Mooring System Stiffness: A General Analytical Formulation with an Application to Floating Offshore Wind Turbines. In Proceedings of the ASME First International Offshore Wind Technical Conference, San Francisco, CA, USA, 4–7 November 2018. [Google Scholar] [CrossRef]
- Wilson, S.; Hall, M.; Housner, S.; Sirnivas, S. Linearized modeling and optimization of shared mooring systems. Ocean. Eng. 2021, 241, 110009. [Google Scholar] [CrossRef]
- Andersen, M.T.; Wendt, F.T.; Robertson, A.N.; Jonkman, J.M.; Hall, M. Verification and Validation of multisegmented mooring capabilities in FAST v8. In Proceedings of the Twenty-Sixth International Offshore and Polar Engineering Conference, Rhodes, Greece, 26 June–1 July 2016. [Google Scholar]





























| Case | 1 | 2 | 3 | 4 | 5 | 6 | 7 (a, b) | 8 | 9 | |
|---|---|---|---|---|---|---|---|---|---|---|
| Depth | 300 | 300 | 300 | 300 | 300 | 300 | 50 | 100 | 100 | |
| Anchor | (m) | −800 | −800 | −800 | −800 | −400 | −400 | 100 | 200 | −141.4 |
| (m) | 0 | 0 | 0 | 0 | 0 | 0 | 0 | 0 | −141.4 | |
| (m) | −300 | −300 | −300 | −300 | −300 | 0 | −50 | −100 | −100 | |
| Section 1 | Type | Reg. | Reg. | Reg. | Reg. | Reg. | Reg. | Reg. | Rope | Reg. |
| L (m) | 900 | 500 | 400 | 360 | 890 | 660 | 112 | 160 | 210 | |
| Point 1 | (m) | −400 | −400 | −300 | 0 | 40 | ||||
| (m) | 0 | 0 | 0 | 0 | 0 | |||||
| (m) | −100 | −100 | −200 | −100 | −50 | |||||
| m (kg) | 0 | 0 | 0 | 0 | 0 | |||||
| v (m3) | 0 | 200 | 0 | 200 | 0 | |||||
| Section 2 | Type | Rope | Reg. | Buoy. | Reg. | Rope | ||||
| L (m) | 350 | 250 | 240 | 330 | 45.36 | |||||
| Point 2 | (m) | −200 | −100 | 0 | ||||||
| (m) | 0 | 0 | 200 | |||||||
| (m) | −100 | −200 | −200 | |||||||
| m (kg) | 100,000 | 0 | 0 | |||||||
| v (m3) | 0 | 0 | 0 | |||||||
| Section 3 | Type | Reg. | Reg. | Reg. | ||||||
| L (m) | 250 | 360 | 330 | |||||||
| Fairlead | (m) | 0 | 0 | 0 | 0 | 0 | 0 | 0, 5 | 3.94 | −14.14 |
| (m) | 0 | 0 | 0 | 0 | 0 | 400 | 0, 3 | ±6.82 | −14.14 | |
| (m) | 0 | 0 | 0 | 0 | 0 | 0 | −10 | −21 | −20 |
| Name | Regular | Rope | Buoyant |
|---|---|---|---|
| Diameter (m) | 0.2 | 0.15 | 0.7 |
| Linear density (kg/m) | 500 | 25 | 500 |
| Stiffness, EA (MN) | 2000 | 30 | 2000 |
| Case | 1 | 2 | 3 | 4 | 5 | 6 |
|---|---|---|---|---|---|---|
| Profile positions (m) | 0.062 | 0.020 | 0.023 | 0.062 | 43.4 | 2.67 |
| Distributed tension (kN) | 1.57 | 0.09 | 2.82 | 0.77 | 4.02 | 18.6 |
Disclaimer/Publisher’s Note: The statements, opinions and data contained in all publications are solely those of the individual author(s) and contributor(s) and not of MDPI and/or the editor(s). MDPI and/or the editor(s) disclaim responsibility for any injury to people or property resulting from any ideas, methods, instructions or products referred to in the content. |
© 2024 by the author. Licensee MDPI, Basel, Switzerland. This article is an open access article distributed under the terms and conditions of the Creative Commons Attribution (CC BY) license (https://creativecommons.org/licenses/by/4.0/).
Share and Cite
Hall, M. Generalized Quasi-Static Mooring System Modeling with Analytic Jacobians. Energies 2024, 17, 3155. https://doi.org/10.3390/en17133155
Hall M. Generalized Quasi-Static Mooring System Modeling with Analytic Jacobians. Energies. 2024; 17(13):3155. https://doi.org/10.3390/en17133155
Chicago/Turabian StyleHall, Matthew. 2024. "Generalized Quasi-Static Mooring System Modeling with Analytic Jacobians" Energies 17, no. 13: 3155. https://doi.org/10.3390/en17133155
APA StyleHall, M. (2024). Generalized Quasi-Static Mooring System Modeling with Analytic Jacobians. Energies, 17(13), 3155. https://doi.org/10.3390/en17133155
