Next Article in Journal
A Novel Method for Online Diagnostic Analysis of Partial Discharge in Instrument Transformers and Surge Arresters from the Correlation of HFCT and IEC Methods
Previous Article in Journal
An Integrated Artificial Intelligence Approach for Building Energy Demand Forecasting
 
 
Font Type:
Arial Georgia Verdana
Font Size:
Aa Aa Aa
Line Spacing:
Column Width:
Background:
Article

Application of PVT Coupled Solar Heat Pump System in the Renovation of Existing Campus Buildings

1
Three Gorges Electric Energy Co., Ltd., Wuhan 430010, China
2
National Industry-Education Platform of Energy Storage, Tianjin University, Tianjin 300072, China
3
APEC Sustainable Energy Center, Asia-Pacific Economic Cooperation (APEC)/National Energy Administration (NEA) of China, Tianjin 300072, China
4
Tianjin International Engineering Institute, Tianjin University, Tianjin 300072, China
*
Author to whom correspondence should be addressed.
Energies 2024, 17(19), 4922; https://doi.org/10.3390/en17194922
Submission received: 22 July 2024 / Revised: 26 August 2024 / Accepted: 25 September 2024 / Published: 1 October 2024
(This article belongs to the Section A2: Solar Energy and Photovoltaic Systems)

Abstract

A photovoltaic thermal panel (PV/T) is an integrated module that harnesses both photovoltaic and solar thermal technologies to convert solar energy into electricity and heat, thereby enhancing overall energy efficiency. This paper aims to explore the suitability of PV/T solar heat pump systems across various climate zones and assess their potential for widespread application. By analyzing the operating principles of an indirect expansion PV/T solar heat pump system in conjunction with the climate characteristics of different regions, MATLAB R2019b/Simulink software was employed to evaluate the photoelectric performance of PV and PV/T systems in representative cities across five distinct climate zones in China during typical winter days. Key metrics, such as power generation, hot water storage tank temperature, indoor temperature, and system COP, were chosen to assess the heating performance of the PV/T solar heat pump system. The findings indicate that the winter ambient temperature significantly affects the photoelectric efficiency of both the PV and PV/T systems. While higher latitudes with lower ambient temperatures yield greater photoelectric efficiency, the southern regions exhibit higher power generation during winter. The winter heating effectiveness of the PV/T solar heat pump system is mainly influenced by indoor and water tank temperatures, with Harbin’s system performing the poorest and failing to meet heating demands, whereas Nanjing’s system shows the best results.

1. Introduction

1.1. Background

Over the past decade, environmental concerns have grown significantly, leading to a deeper awareness of energy issues and an urgent need to reduce fossil fuel consumption, which has also caused people to urgently reduce the use of fossil energy and complete the global average temperature rise from the pre-industrial period to within 2 degrees Celsius. Simultaneously, there is a pressing need to establish a more sustainable energy system worldwide to address climate change and related challenges. In 2021, building construction and operation activities accounted for 37% of the global energy consumption, with building operations alone accounting for 30%, as reported by the International Energy Agency [1]. 28% of global emissions are due to carbon dioxide emissions from building operations. Similarly, the Research Center for Building Energy Efficiency at Tsinghua University [2] estimated that in 2021, as shown in Figure 1, building operation energy consumption in China accounted for 21% of the nation’s total energy consumption. China’s overall carbon emissions were approximately 11.5 billion tons of CO2, with emissions from building construction and operations making up about 33% of the national total and building operations alone contributing 19%. Northern Chinese cities account for 19% of the nation’s overall building energy consumption, which is equivalent to approximately 212 million tons of coal. While cogeneration is the primary method of heating, fossil fuels remain the dominant energy source, leading to 430 million tons of CO2 emissions from heating—a significant environmental challenge. As a result, there is an urgent requirement to speed up the advancement and adoption of renewable energy in the construction industry.
Solar energy, a key renewable resource, is primarily harnessed using two methods: photovoltaics and solar thermal technology. According to a report by Goldman Sachs, the worldwide expense of renewable energy has decreased by 70% in the last ten years, and the cost of photovoltaic power in China is now almost on par with that of conventional fossil fuels. Additionally, the IRENA report highlights a global decline in the cost of solar heating applications, pointing to a significant market potential for solar thermal energy worldwide. As the solar industry advances and government policies increasingly promote its use, solar energy is gaining traction in the building sector as a critical strategy for reducing energy consumption. Active solar utilization in buildings includes both photovoltaic and solar thermal technologies, which serve to meet the electrical, heating, and cooling demands of buildings. However, the efficiency of traditional photovoltaic panels decreases as their operating temperatures increase. Specifically, under standard conditions of 25 °C, crystalline silicon PV cells experience a 0.45–0.6% drop in efficiency per 1 °C increase in temperature, while amorphous silicon cells show a 0.25% decrease. Prolonged exposure to high temperatures not only reduces PV efficiency but also shortens their lifespan and can lead to damage. Consequently, the practical conversion efficiency of crystalline silicon cells is limited to 15–20%, with approximately 80% of solar energy being converted into electricity. The unconverted energy is mainly converted into heat, increasing the cell temperature and decreasing the photoelectric efficiency. To address this problem, a heat exchanger can be mounted on the rear of the PV panels to capture the surplus heat. This not only cools the panels, enhancing their efficiency and lifespan, but also allows for the concurrent production of electricity and heat. This dual approach significantly enhances the overall utilization of solar energy and reduces the cost of electricity and thermal supply. The integration of photovoltaic thermal (PV/T) systems, which combine these technologies, has become a significant area of recent research and is increasingly being acknowledged as a promising avenue in the solar energy sector.

1.2. Research Status

In the past, the main focus of building energy consumption was on cooling and heating. According to EU statistics, these activities represent the largest energy consumption in Europe, accounting for approximately 51% of the total energy use, which was about 983 Mtoe in 2019. Buildings are the primary consumers, and residential structures alone are responsible for around 45% of this consumption [3,4]. A report by the International Energy Agency indicates that nearly half of the building energy demand in 2022 was driven by heating and hot water needs, resulting in direct carbon dioxide emissions of 2400 Mt and indirect emissions of 1700 Mt, with fossil fuels meeting over 60% of the heating demand.
In China, many buildings constructed in the late 20th and early 21st centuries, such as schools, factories, and older residential areas, lack energy-saving and consumption-reduction features. These structures often have poor insulation and rely on high-energy carbon-intensive boilers for heating. To align with China’s “Carbon Peaking and Carbon Neutrality” goals, reducing emissions and energy use in these buildings is essential, potentially by retrofitting with renewable energy heating technologies.
In recent years, photovoltaic thermal (PV/T) technology has seen rapid development and is being increasingly utilized in research and practical applications. This technology offers higher overall solar energy utilization efficiency compared to traditional photovoltaic and thermal systems because it generates both electricity and heat in a single process [5,6]. The PV/T collector is the system’s core component and can be integrated with other technologies to provide combined power generation, heating, and cooling. When paired with a heat pump system, the PV/T collector maximizes the use of solar radiation, enhancing the system’s energy efficiency and enabling it to produce both electricity and hot water for building use [7,8].
At present, solar-assisted heat pumps (SHP)are classified into direct expansion and indirect expansion types (IDESHP). The indirect expansion solar heat pump offers benefits, such as safety, stability, and ease of operation, making it widely applicable for domestic hot water production, space heating, and cooling. Depending on the energy source coupled with the system, they can be further divided into solar-assisted air sources, ground sources, and water sources heat pump systems.
In the area of solar-powered heat pumps, Zhang and colleagues designed an innovative solar heat pump system utilizing a photovoltaic/annular heat pipe(PV/LHP)configuration. Through simulations, they evaluated the impact of various operating parameters on the system’s energy performance and validated their findings experimentally [9]. Additionally, they investigated the socioeconomic feasibility of the system in three distinct climate zones by simulating its energy performance over a year, analyzing its lifecycle, and evaluating both its environmental and economic advantages [10]. Dannemand and colleagues carried out a performance analysis of a PV/T solar-assisted heat pump system over a nine-month period. The system included two storage options: a cold buffer tank that acted as a heat exchanger between the PV/T collector and the heat pump and a hot water heat storage tank. The PV/T collector directly supplied domestic hot water in summer and acted as a heat pump source in winter [11]. Additionally, further studies optimized the system, resulting in a 55% increase in power production, 23% reduction in power consumption, and 11% decrease in heat waste [12]. Chen et al. developed a mathematical model for a heat pipe PV/T solar heat pump system, optimizing its design and studying how system parameters and environmental conditions affect performance with subsequent verification [13]. Amo et al. designed a solar-assisted heat pump using Trnsys simulation and verified the installation in Spain. The system demonstrated good economic feasibility with a six-year cost recovery period. They also studied a solar heat pump system installed in an academic building at the University of Zaragoza, which provided heating and utilized the generated electricity on-site. The simulation results indicated 60% solar coverage in the current design, with optimized configurations reaching up to 98% [14,15]. Braun et al. examined the performance of a PV/T triple system in near-zero energy buildings, using parametric simulations to evaluate the impact of the PV/T surface area and heat storage tank volume on system performance [16]. Saad Odeh proposed a new PV/T system utilizing heat pipe technology to enhance energy efficiency, with studies showing that hot water temperatures at the collector outlet could reach up to 50 °C in summer and about 30 °C in winter, achieving energy efficiency more than four times that of traditional photovoltaic panels [17]. Md Tofael Ahmed used MATLAB R2019b to model a PV/T system, analyzing its electrical and thermal properties and studying the sensitivity of various factors such as irradiance, ambient temperature, panel temperature, wind speed, and humidity on system performance [18]. Talha Batuhan Korkut created a CFD model for a water-cooled hybrid PV/T system, conducted experiments to validate its accuracy, and discovered that the electrical efficiency of the cooled PV/T module could achieve 20.8% while maintaining a thermal efficiency of 53.5% [19]. Different models for system performance and economic evaluation continue to be key research areas [20,21,22].
A dual-source solar-assisted heat pump offers a superior alternative to single-source systems by incorporating an additional heat source to overcome the constraints of solar energy due to time and climate factors. Generally, air and ground heat sources are effective supplementary heat sources and have been the focus of many researchers. The second heat source allows the solar heat pump system to operate even under low or no solar radiation, reducing climate-related constraints. This was demonstrated in experiments involving dual-source heat pumps [23]. Croci et al. designed a PV/T dual-source heat pump system by optimizing the number of PV/T collectors, tank size, and control strategies using Trnsys. This dual-source system employed PV/T collectors, air heat exchangers, and reversible heat pumps to provide building heating, cooling, and domestic hot water [24]. Wang et al. incorporated a new composite air/water evaporator into a solar heat pump system that could draw energy from both the PV/T collector and air, outperforming traditional air source heat pumps [25]. Long et al. proposed an integrated heat pump evaporator using air and solar energy as heat sources, studying the effects of air and water flow temperatures on system performance. The refrigerant-water-refrigeration type evaporator exhibits better frost resistance at low temperatures [26]. Simonetti et al. tested a composite dual-source evaporator in a heat pump system and achieved 14% higher performance than a standard air source heat pump. They also utilized MATLAB R2019b to study and enhance the flow of the refrigerant, liquid, and air in the evaporator [27]. Ground source heat pumps are frequently combined with PV/T collectors, particularly in the northern regions where they typically surpass air source heat pumps in performance. Lazzarin and Noro developed a PV/T heat pump system that used the ground as a source and sink coupled with ground and solar energy. In summer, the ground serves as a heat sink for the PV/T collector and as a heat pump, offering high efficiency and low primary energy consumption [28]. Bae and Nam created a triple-generation heat pump system combining PV/T collectors and a ground source heat pump, and conducted experiments in Seoul, South Korea, to verify the simulation model’s accuracy. The system exhibited strong long-term performance with an annual COP of 4.03 [29].
In summary, due to their excellent heating performance and energy-saving effects, PV/T solar heat pumps have a significant potential for energy-saving retrofits in existing buildings. This paper uses MATLAB R2019b/Simulink software to simulate the entire operating state of a PV/T solar heat pump under typical winter conditions across five climate zones in China. The study investigates the system’s performance in building heating environments and analyzes technological, economic, and environmental factors. The parameters for the PV/T collector are provided by manufacturers, while the construction and economic data are sourced from the literature and Chinese national and regional standards. The aim of this study is to evaluate the adaptability of a PV/T solar heat pump system across diverse climate zones. This involves comparing its photovoltaic performance with that of the current PV systems and assessing the thermal efficiency of the PV/T system. These findings will establish a foundation for its potential application in a variety of climates.
The second section presents the mathematical model and simulation parameter settings of the PV/T solar heat pump system, including the assumptions made during model construction. The MATLAB R2019b/Simulink model is built by modeling each component of the PV/T coupled heat pump system individually, with the dynamic model created by connecting the operating parameters from each part in series. This allows for the dynamic simulation of the PV/T system, enabling the analysis of the impact of operating parameters, meteorological conditions, and system structure on performance. The model’s reliability is validated by comparing the simulation data with the experimental results. In the third section, the simulation outcomes are examined with a focus on comparing the power generation and efficiency of the PV/T system with traditional PV systems, in addition to evaluating the thermal performance of the PV/T system. The fourth section recaps the tasks and findings of the study and suggests future research areas.

2. System Description and Model Construction

For existing campus buildings, the building structure, envelope, and equipment have already been established. In zero-carbon retrofitting, the transformation of a building’s energy supply system (including heating, cooling, and power supply) is generally straightforward and does not require altering the building structure. The PV/T heat pump system, which can simultaneously provide hot water and electricity, is a key solution for achieving zero carbonization on campuses. This study examines the performance of a PV/T solar heat pump system in a typical campus teaching building across different climate zones in China, and analyzes its technical, economic, and environmental potential.

2.1. Geographic Location and Climatic Conditions

To study the impact of climate conditions on the system performance, we selected representative cities from each of the five building climate zones defined by China’s national codes. These zones are classified based on the average dry bulb temperature of the coldest and warmest months and include cold, severe cold, hot summer and cold winter, hot summer and warm winter, and mild areas. For example, in cities like Harbin and Tianjin, winter temperatures typically fall below 0 °C, with the coldest temperatures reaching −20 °C, making heating demand dominant in winter. In regions characterized by hot summers and cold winters, like Nanjing and Kunming, the climate remains consistent year-round, with minimal extreme winter conditions and a distinct change from autumn to winter. In hot summer and warm winter areas like Guangzhou, temperatures are consistently high, with winter temperatures generally above 10 °C, reducing the need for significant insulation.

2.2. Building Structure and Standards

This paper focuses on a typical existing campus teaching building, with an area of approximately 3400 m2 and a height of 3.2 m. The building is a four-story structure oriented along the east-west axis, facing south. Due to varying climatic conditions across different regions, the thermal insulation performance requirements also differ. To account for this, the standard limit values are used as a reference. According to the Chinese Building Energy Conservation Code GB55015-2021 [30], the building envelope parameters for different climate zones are detailed in Table 1.
The advantage of using a PV/T system for building renovation is that it can significantly offset the energy consumption of buildings by supplying electricity for teaching and other daily activities. Given the characteristics and purpose of teaching buildings, this study does not account for domestic hot water consumption.

2.3. PV/T Solar Heat Pump System

The PV/T solar heat pump system comprises key components, such as the PV/T collector, hot water storage tank, compressor, evaporator, condenser, electronic expansion valve, inverter, and combiner box. Figure 2 shows the structure of the PV/T solar heat pump system. The system operates by integrating both the photovoltaic and solar thermal functions. When sunlight strikes the photovoltaic modules on the PV/T collector, they absorb solar radiation and convert a portion of it into electricity. This electricity is then converted from direct current to alternating current using an inverter and combiner box for consumption inside the building. At the same time, the cooling fluid circulates through channels on the back of the PV/T collector, absorbing any excess heat and transferring it to the evaporator of the heat pump system for further thermal exchange. The thermal energy that has been recovered is stored in a hot water tank. The choice of cooling fluid, usually antifreeze, such as ethylene glycol, depends on the climate to optimize the performance in different environments. Once the heat pump cycle is initiated, the hot water in the storage tank serves as a heat source in the evaporator, enabling the refrigerant to absorb heat and vaporize. This vapor is then compressed into a high-temperature, high-pressure vapor, which enters the condenser to release heat and, converts it back into a high-pressure, low-temperature liquid. After passing through the expansion valve, the liquid transforms into a low-pressure and low-temperature fluid, ready to re-enter the evaporator and continue the cycle. The produced heat is subsequently circulated to the heating system in order to heat the building.

2.4. Model Construction

For a PV/T heat pump system, both the internal heat pump components and their interactions with the external environment and building conditions are important. Therefore, the system’s mathematical model must individually model each component while capturing their interrelationships.
  • The PV/T collector model
In the numerical simulation, the following assumptions are made to model the energy transfer process within the PV/T collector:
(1)
The temperature within each layer of the PV/T collector is uniform, with no internal temperature gradients.
(2)
Heat transfer occurs only in the direction perpendicular to the plate surface.
(3)
There is perfect thermal contact between the layers inside the collector with no thermal resistance.
(4)
The thermal properties of each material layer are stable and do not vary with temperature.
(5)
The insulation materials used are highly effective, and heat loss from the frame and backplate is neglected.
The illustration in Figure 3 depicts the energy transfer process of the PV/T collector.
For the PV/T collectors as a whole, the energy conservation is
Q solar   = E P V + Q w + ρ P V / T c P V / T δ P V / T d T P V / T d τ
where Q solar   represents the solar energy absorbed per unit area by the PV/T collector (W · m−2); E P V is the power generated per unit area by the photovoltaic cells (W · m−2), Q w denotes the heat absorbed by the cooling water in the collector (W · m−2), ρ P V / T is the average density of the collector (kg · m−3); c P V / T is the specific heat capacity of the collector (J · kg−1 · K−1), and δ P V / T is the thickness of the collector (m).
Create an equation for energy conservation related to a glass cover plate.
ρ g c g δ g d T g d τ = α g I + K E V A g T E V A , u T g Q a i r Q s k y
The equation is as follows: α g represents the solar radiation absorption rate of the glass cover plate, I is the solar radiation intensity on the PV/T collector surface (W · m−2), K E V A g is the heat transfer coefficient between the upper EVA glue and glass cover plate (W · m−2K−1), T E V A , u is the temperature of the upper EVA glue in Kelvin.
For the upper EVA glue, the energy conservation equation is
ρ E V A c E V A δ E V A , u d T E V A , u d τ = K P V E V A , u T P V T E V A , u K g E V A , u T E V A , u T g
For the photovoltaic panels, the energy conservation equation is
ρ P V c P V δ P V d T P V d τ = α P V β g I K P V E V A , u T P V T E V A , u K P V E V A , d T P V T E V A , d E P V
In this equation, β g represents the transmittance of the glass cover plate to solar radiation.
The energy conservation equation applies to the lower EVA glue.
ρ E V A c E V A δ E V A , d d T E V A , d d τ = K P V E V A , d T P V T E V A , d K a l E V A , d T E V A , d T a l
The energy conservation equation for a heat-collecting aluminum plate is as follows:
ρ a l c a l d a l d T a l d τ = K a l E V A , d T E V A , d T a l K a l f T a l T f
The collector has an energy conservation equation for the cooling working medium.
1 2 m f c p , f d T f , i n d τ + d T f , o u t d τ = A a l K a l w Δ T f m ˙ f c p , f T f , o u t T f , i n
The equation can be written as follows: m f is the mass of the cooling medium in the collector, measured in kilograms; A a l is the area of the heat-collecting aluminum plate, measured in square meters; and Δ T f is the average temperature difference in Kelvin between the collector aluminum plate and the collector cooling medium.
2.
The compressor model
For the theoretical intake of the vortex compressor:
V t h = 1 2 × 10 9 n I H s P P 2 δ 2 ϕ 3 π
The theoretical volume flow of the compressor V t h (m3 · s−1) is calculated based on the compressor’s working speed n (r/min), whether I is single or double-acting (denoted as 1 or 2 depending on the structure), the height H s (mm), pitch P (mm), and wall thickness δ (mm) of the suction scroll plate, and the suction angle ϕ .
The rate at which refrigerant flows through the heat pump system.
m ˙ r = V t h η v ρ r
where: ρ r is the intake density of the compressor, kg·m−3.
Compressor theoretical power:
W t h = V t h η v P e n n 1 P c P e n 1 n + 1
The theoretical power of the compressor W t h , is determined by the volumetric efficiency of the compressor η v , inlet pressure P e , exhaust pressure P c , and the adiabatic index n of the refrigerant in the heat pump system, which is 1.18 for R22.
Actual power of the compressor:
W = W t h / η c o m
where: η c o m is the overall efficiency of the compressor.
3.
Condensing heat exchanger model
In a heat pump system, the condensing heat exchanger reduces the temperature of the superheated vapor refrigerant that is compressed by the compressor from a high-temperature, high-pressure gaseous state to a high-pressure liquid state. The working fluid outside the condensing heat exchanger absorbs the heat released by the refrigerant and flows into the condensate tank for storage, supplying heat externally.
To simplify the simulation, the following assumptions are made:
(1)
The temperature and pressure of the refrigerant in the condenser remain constant along the axial direction of the condensing heat exchanger, varying only with time.
(2)
The condensing heat exchanger is well constructed with effective insulation, preventing heat exchange with the environment and ignoring heat loss to the surroundings.
(3)
The average dryness of the refrigerant in the condenser is assumed to be 0.5.
(4)
The mass flow rate of the refrigerant in the condensing heat exchanger is equal to the mass flow rate discharged from the compressor.
(5)
The pressure drop and heat loss during refrigerant condensation and flow are not considered.
(6)
The refrigerant flows as a one-dimensional uniform flow along the axial direction of the condenser channel.
The energy conservation equation for the condensed water side in the condensing heat exchanger is as follows:
1 2 m e , w c p , w d T c , w , i n d τ + d T c , w , o u t d τ = Q c m ˙ c , w c p , w T c , w , o u t T c , w , i n
where: m e , w is the quality of the cooling water in the condensate tank, kg; c p , w is the specific heat capacity of water at constant pressure, J · kg−1 · K−1; T c , w , i n and T c , w , o u t are respectively the temperature of inlet and outlet water of the condensing heat exchanger, K; Q c is the heat produced by the heat pump system, W; m ˙ c , w is the mass flow rate of condensate water in the condensate heat exchanger, kg · s−1.
For the energy conservation equation of the refrigerant in the condenser tube:
m c , r d h c d τ = m ˙ r h c , i n h c , o u t Q c
where: m c , r is the refrigerant mass in the condenser tube, kg; m ˙ r is the mass flow rate of refrigerant, kg · s−1; h c , h c , i n , h c , o u t are the average refrigerant in the condenser tube, inlet enthalpy, outlet enthalpy, J · kg−1.
The heat change of the condenser, namely, the heat production of the heat pump system, can be expressed as
Q c = A c K c Δ T c
The heat exchange area of the condenser is denoted as A c , with units of m2; the heat transfer coefficient of the condenser is denoted as K c , with units of W · m−2 · K−1; and the average heat transfer temperature difference between the refrigerant and water in the condenser is denoted as Δ T c , with units of K.
In general, the process of the refrigeration working medium flowing through the expansion valve can be regarded as an equal-enthalpy throttle process; that is, the refrigerant enthalpy value of the condenser outlet is equal to the enthalpy value of the evaporator inlet.
h c , r , o u t = h e , r , i n
Refrigerant flow:
m ˙ r = A v a l C d 2 Δ P ρ val  
The flow area of the expansion valve is represented by A v a l in square meters, and C d is related to the flow coefficient, which depends on the refrigerant density. The pressure difference of the refrigerant before and after throttling is denoted by Δ P in Pascals, and ρ val   represents the density of the refrigerant entering the expansion valve in kilograms per cubic meter.
4.
Evaporative heat exchanger model
In the heat pump system, the evaporative heat exchanger transfers heat between the saturated gas−liquid refrigerant, which is obtained by throttling through the expansion valve and the working fluid from the low-temperature heat source. This process causes the refrigerant to absorb heat and evaporate into superheated steam, thereby cooling and refrigerating it by extracting heat from the low-temperature source.
To simplify the model, the following assumptions are made:
(1)
The refrigerant within the evaporative heat exchanger is uniformly distributed, with consistent temperature, and the internal temperature and pressure change only over time.
(2)
The cooling working fluid inside the evaporative heat exchanger has a uniform temperature that also changes only with time, with no heat exchange considered with the external environment.
(3)
The average dryness of the refrigerant in the evaporative heat exchanger is assumed to be 0.7.
(4)
The pressure drop and heat loss due to flow and evaporation are ignored.
(5)
The refrigerant flow inside the evaporative heat exchanger is treated as a one-dimensional homogeneous flow along the axial direction of the pipeline.
Conservation equation of energy of the cooling working medium side of the evaporator heat exchanger
1 2 m e , f c p , f d T e , f , i n d τ + d T e , f , o u t d τ = m ˙ e , f c p , f T e , f , i n T e , f , o u t Q e
where: m e , f is the mass of the cooling medium of the PV/T collector in the evaporative heat exchanger, kg; T e , f , i n , T e , f , o u t is the temperature of the inlet and outlet cooling medium of the evaporative heat exchanger, K; Q e is the cooling capacity of the heat pump system, W; m ˙ e , f is the mass flow rate of the cooling medium in the evaporative heat exchanger, kg · s−1.
For the energy conservation equation in the evaporator tube:
m e , r d h e , r d τ = Q e + m ˙ r h e , r , i n h e , r , o u t
where the mass of refrigerant in the evaporator is denoted as m e , r , in kilograms; h e , r , h e , r , i n , and h e , r , o u t represent the average, inlet, and outlet enthalpy values of the refrigerant in the evaporator, respectively, J · kg−1.
The heat exchange of the refrigerant in the evaporator and the water in the evaporation tank is the cooling capacity of the PV/T heat pump system, which is used for the cooling of the photovoltaic panels and can be expressed as
Q e = A e K e Δ T e
where the heat transfer area of the evaporator is denoted as A e in m2, the heat transfer coefficient of the evaporator is denoted as K e in W · m−2 · K−1, and the average heat transfer temperature difference between the refrigerant and the cooling working medium in the evaporator is denoted as Δ T e in K.
5.
User usage-end model
To simplify the hot water storage tank model, the following assumptions are made:
(1)
The water tank is effectively insulated and kept separate from its surrounding environment.
(2)
The medium inside the tank is uniformly mixed, with its temperature changing only over time.
For the room heating section, the following simplifications are applied:
(1)
Indoor air is evenly distributed with constant thermal properties, and the temperature is uniform throughout.
(2)
The building is well sealed, ignoring heat loss due to air leakage, personnel movement, and heat dissipation of the occupants and equipment.
(3)
The water flow within the heating pipeline is consistent, with no consideration of pressure loss.
Based on these assumptions, the system’s mathematical model is determined using mass and energy conservation equations aligned with the heating cycle of the PV/T heat pump system.
Write down the energy conservation equation for the internal medium of the water tank.
m t , w c p , w d T t , w d τ = m ˙ w , h c p , w T i n , h T t , w m ˙ w , b c p , w T i n , b T t , w
where m t , w is the mass of water in the tank, in kilograms; T t , w is the temperature of the water in the tank, in Kelvin; m ˙ w , h , m ˙ w , b is the mass flow of heat pump side water and building side water, in kilograms per second; T i n , h , T i n , b is the inlet temperature of the heat pump side water and the building side water in the storage tank, in Kelvin.
For the building, the heat load can be expressed as
Q = A wall   K wall   T room   T amb  
The heat transfer coefficient of the enclosure structure, denoted K wall , is measured in W · m−2 · K−1, the outer area of the building envelope is represented by A wall in m2, and the indoor air temperature is denoted by T room in K.
The energy conservation equation for the indoor environment can be expressed as
m room   c p ,   air   d T room   d τ = m ˙ w c p , w T w , r ,   in   T w , r ,   out   Q
The equation indicates the relationship between indoor air quality m room , air-specific heat capacity c p ,   air , indoor air temperature T room , and water temperature in the indoor heat exchanger T w , r ,   in , T w , r ,   out .
The relationship between the indoor heating and indoor air heat exchange is as follows:
m ˙ w c p , w T w r , i n T w , r , o u t = A h K h Δ T r
The heat exchange area of the indoor heat exchanger is denoted as A h (m2), the heat transfer coefficient between the heat exchanger and air is denoted as K h (W · m−2 · K−1), and Δ T r is the average temperature difference between the indoor air and the heat exchanger, K.
6.
Relevant evaluation indicators
The comprehensive efficiency of the heat pump system COP is the ratio of the heat production of the condenser to the energy consumption of the compressor. The expression is as follows:
COP = Q c W
where: Q c is the heat production of the heat pump system, W; W is the actual compressor power, W.

2.5. Model Validation

To verify the model’s accuracy, the system was tested in Beijing on 18 November. The system includes photovoltaic modules, a heat pump system, and a measurement and data acquisition system. The photovoltaic modules consist of PV panels, inverters, and AC combiner boxes. The solar radiation function used for the simulation was fitted based on the measured meteorological data, with the fitting function and measured values shown in Figure 4. The simulation employed the average temperature due to the frequent temperature fluctuations within a narrow range. The operating characteristics of the PV/T heat pump system for hot water production were tested and the results were compared with those of the simulation.
The graph in Figure 5 illustrates the fluctuation in water temperature in the hot water storage tank.
The figure shows that the simulation results indicate a water temperature rise from 12 °C to 45.3 °C over 10,800 s. The water temperatures in both the experiments and simulations show a nearly linear increase, with the simulation results closely resembling the experimental data.
In summary, the model reliably represents the working characteristics of the PV/T heat pump system during heating operation and can be used to predict the system’s performance.

3. Simulation Results and the Analysis

This project simulates the winter heating situation of campuses in five climate zones in China, compares the photoelectric efficiency of ordinary photovoltaic and PV/T heat pump systems in different climate zones, and studies the heating effect of PV/T heat pump systems under different conditions, thus providing a research basis for future experiments.

3.1. Climate Conditions in Different Climatic Zones

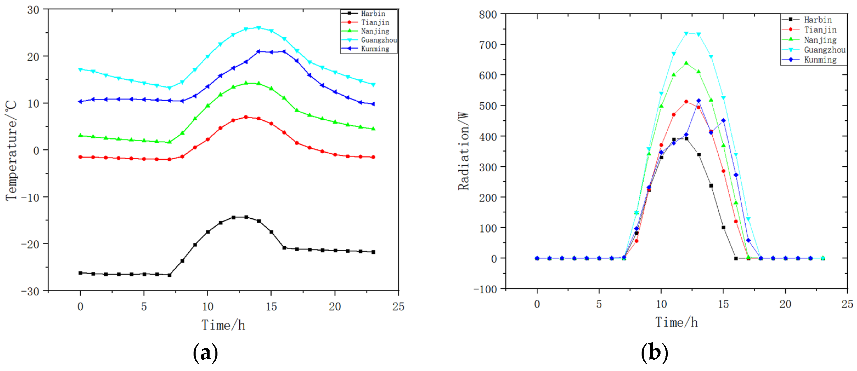
This project studied the heating performance of similar school buildings in typical cities across different climate zones under sunny winter conditions in December, as shown in the Figure 6. The graphs illustrating the changes in ambient temperature and light intensity throughout the chosen time frame are also presented. From 8:00 a.m. to 6:00 p.m., the light conditions are favorable, providing ample opportunities for solar energy utilization. The ambient temperature trend mirrors the light intensity, peaking between 1:00 p.m. and 3:00 p.m.
In this project, the solar heat pump uses a PV/T plate as the heat source. Cooling fluid channels are integrated into the module’s backplane, allowing the working medium to carry away waste heat from the photovoltaic module for utilization. This design greatly enhances the photoelectric efficiency compared to traditional PV panels.
To evaluate the performance differences between the PV/T and standard PV panels in various winter climates, identical external conditions were set for the project. The laboratory photoelectric efficiencies for both the PV and PV/T systems were set to 23%. The performance of these systems was then compared across five climate zones in China using simulation.
Harbin, which is known to experience the most severe winter weather in China, was included in the simulation. The results showed that the operational trends of the PV and PV/T systems were similar throughout the day. However, due to the cooling medium in the PV/T system, its performance lagged behind that of the PV system at the start of operation. According to the simulation results in Figure 7. The simulation indicated an inverse relationship between the photovoltaic panel temperature and photoelectric efficiency. The panel temperature for the PV system fluctuated between −26 °C and 9.5 °C, aligning closely with the ambient temperature. The photoelectric efficiency ranged from 24% to 28.3%, with an average of 26.3%. In contrast, the PV/T system’s panel temperature ranged from −24 °C to 2.8 °C, with an average running temperature between 25.2 °C and 28 °C and an average photoelectric efficiency of 26.8%. In Harbin, the photoelectric efficiencies of both systems exceeded the calibration data due to the enhanced cooling effect, with the PV/T system showing greater stability. However, it is important to consider the potential damage from snow and cold when using the PV and PV/T systems in this region.
Tianjin, located in the chilly North China region near the Bohai Sea, is rich in solar energy resources. The winter temperatures here are higher than those in Harbin; therefore, the cooling effect has less impact on the PV and PV/T systems, According to the simulation results in Figure 8. For the PV system, the surface temperature ranges from −3 °C to 37 °C, with a photoelectric efficiency between 21.5% and 25.8%, averaging 23.5%. In the PV/T system, the surface temperature varies from −6 °C to 26 °C, with photoelectric efficiency ranging from 22% to 26.2% and an average of 24.3%. In Tianjin, the PV/T system outperforms the PV system, with surface temperatures differing by approximately 10 °C and a 1% increase in photoelectric efficiency.
Nanjing, located in eastern China along the lower Yangtze River, represents a hot summer and cold winter region that experiences favorable weather patterns characterized by four distinct seasons and plentiful rainfall. As shown in the Figure 9, the PV system’s surface temperature ranges from 2 °C to 54 °C, with the photoelectric efficiency varying between 19% and 25.3%, averaging 22%. In the PV/T system, the temperature varies from −1.3 °C to 38 °C, and the photoelectric efficiency falls between 21.6% and 25.7%, with an average of 23.3%. Despite having a higher ambient temperature than Tianjin, Nanjing exhibits slightly lower photoelectric performance.
Kunming, located in southwest China, enjoys a pleasant climate with year-round spring-like conditions, abundant sunshine, and evergreen vegetation, earning it the nickname “Spring City”. The region’s warm winters and ample sunlight make it ideal for solar energy utilization. As shown in the Figure 10, for the PV system, surface temperatures range from 11 °C to 51 °C, with photoelectric efficiency between 20% and 24%, averaging 22%. In the PV/T system, surface temperatures vary from 3.7 °C to 36 °C, while the photoelectric efficiency falls between 21.8%and 25.2%, averaging 23.2%.
Guangzhou, a typical city with scorching summers and mild winters, experiences high temperatures and abundant rainfall. According to the simulation results in Figure 11. This figure shows the winter photoelectric properties of the PV and PV/T systems. For the PV system, panel surface temperatures range from 14 °C to 73 °C, with photoelectric efficiency between 18% and 24%, averaging 20%. In the PV/T system, surface temperatures range from 0 °C to 52 °C, with a photoelectric efficiency between 20% and 24%, averaging 22%.
In all five typical cities, the PV/T system consistently shows a higher photoelectric efficiency than the PV system. Nonetheless, in colder urban areas, such as Harbin and Tianjin, the disparity in performance between PV and PV/T systems is marginal, as the low ambient temperatures significantly enhance the cooling effect on the photovoltaic panels. It is in Harbin and Tianjin, where the PV/T system excels, achieving photoelectric efficiency levels that surpass those observed under laboratory conditions. Nanjing follows, with an average efficiency that is also higher than that of laboratory benchmarks. In contrast, Guangzhou and Kunming have lower average efficiencies compared to laboratory results. Considering the safety of installation and usage, along with the impact of solar radiation intensity, Tianjin and Nanjing are the optimal regions for PV/T system installation.

3.2. Performance of the PV/T Heat Pump System

This project also simulates the heating effect of PV/T solar heat pump systems in five typical cities in winter and considers the system power generation, heat storage tank temperature, indoor temperature, and system COP as the evaluation criteria to measure the system performance.
(1)
System power generation
This project models the electricity produced by the PV/T solar heat pump system operating in different cities for a full day, with varying time periods from 7 am to 6 pm, According to the simulation results in Figure 12. The power generation change curve trend closely mirrors that of solar radiation. Harbin, Tianjin, Nanjing, and Guangzhou saw sunny weather, while Kunming, which has climate conditions similar to Guangzhou, chose cloudy weather for comparison. The maximum solar radiation in Harbin can be 400 W, that in Tianjin and Kunming 510 W, Nanjing 640 W, and Guangzhou can reach 730 W. According to the curve, Guangzhou has the highest power generation of 120 W, Nanjing 113 W, Tianjin 95 W, Kunming 90 W, and Harbin 80 W, which is in accordance with the law of solar radiation change. It is worth noting that due to the low temperature in Tianjin, it has a higher photoelectric efficiency, which makes its power generation higher than the same radiation level in Kunming. In other words, the photovoltaic performance in winter will have higher photoelectric efficiency at higher latitudes and higher power generation at lower latitudes.
(2)
Heating performance of PV/T solar heat pump system
Heating the building is the primary function of a PV/T solar heat pump system. To reduce heat loss, prevent uneven solar energy distribution, and improve energy efficiency, the use of a heat storage device is a common practice. This project simulates the heating 10,000 L of water in a tank, which then circulates to heat the building via radiators. The water tank is initially set to a temperature of 30 °C, while the indoor temperature is set to 15 °C.
According to the simulation results in Figure 13. Initially, the temperature of the heat storage tank drops rapidly as the system begins operation, and the circulating water releasing heat through the radiators to warm the cooler indoor air. Subsequently, in all cities except Harbin, the tank temperature increases. After one day, Tianjin’s water tank returns to its initial temperature, while Guangzhou’s reaches 46 °C. The temperatures in Kunming and Nanjing are similar, around 40 °C.
According to the simulation results in Figure 14. The indoor temperature fluctuations closely resemble those in the water tank. In Harbin, the average indoor temperature is 15 °C lower than the initial temperature. Indoor temperatures increase in the remaining four cities in response to ambient temperature and solar radiation. In Tianjin, the average indoor temperature is about 17.9 °C, falling short of the comfort requirements for teaching buildings, especially in the morning. Nanjing’s average temperature is 21 °C, remaining between 18 °C and 25 °C for most of the time, meeting heating demands as the system runs. In Guangzhou and Kunming, which are located in southern China with low latitudes and warmer winters, the heat pump causes temperatures to rise rapidly, sometimes exceeding 30 °C, which may reduce thermal comfort. For these cities, heat pump management should consider additional functions beyond heating.
(3)
Performance of PV/T solar heat pump
For heat pump systems, the COP (Coefficient of Performance) is a key indicator of performance. According to the simulation results in Figure 15. The figure shows the COP change curves for PV/T heat pump systems in five typical cities. In all cities, the system’s instantaneous COP generally increases initially and then decreases. The early rise in the COP can be attributed to the increasing evaporation temperature and enhanced thermal efficiency during system operation. However, as the water tank temperature and system condensation temperature increase, and as solar irradiation peaks and then declines from afternoon to sunset, the COP decreases.
In a single day, the highest COP is observed in Guangzhou, reaching around 18, while in Nanjing, it reaches about 11. This is because, around noon (12:00–1:00 p.m.), the environmental temperature and solar radiation are at their peak, reducing the need for indoor heating. The refrigerant efficiently absorbs heat from the PV/T components to the condenser, requiring minimal compressor power and leading to the highest COP of the day. The average COP in winter for the five cities, ranked from lowest to highest, is as follows: Harbin (3.66), Tianjin (5.57), Kunming (6.39), Nanjing (6.99), and Guangzhou (9.52).

4. Discussion and Conclusions

This project investigates the efficiency of PV/T solar heat pump systems in campus buildings within five climate zones in China. It utilizes MATLAB R2019b/Simulink to model the photovoltaic performance of PV and PV/T systems for winter heating, and evaluates the heating effectiveness of the PV/T system in various regions.
(1)
The PV/T system has a greater photoelectric efficiency compared to the PV system. However, in higher latitude areas with lower winter temperatures, environmental cooling reduces the PV/T system’s effectiveness. In lower latitude areas with warmer winters, the PV/T system’s cooling effect is more significant. Among the five cities, Guangzhou has the lowest average photoelectric efficiency at 22%, Kunming and Nanjing at 23%, Tianjin at 24%, and Harbin at 26%.
(2)
The maximum power generation of the PV/T solar heat pump system is 120 W in Guangzhou, followed by 113 W in Nanjing, 95 W in Tianjin, 90 W in Kunming, and 80 W in Harbin, which aligns with the solar radiation patterns.
The efficiency of the PV/T solar heat pump system’s heating function is strongly influenced by both solar radiation and ambient temperature. In Harbin, the system cannot meet the heating demands due to severe environmental conditions, resulting in a 10 °C drop in indoor temperature. In Kunming and Guangzhou, indoor temperatures can rise to about 35 °C, which is unsuitable for living and learning activities, although a water tank temperature of 40 °C provides value for domestic hot water use. In Tianjin, the average indoor temperature is 18 °C, which is sufficient for heating needs; however, the slow temperature rise and low morning temperatures suggest the need for supplementary heating. Nanjing meets the heating demands well, maintaining indoor temperatures between 18 and 25 °C throughout the day and offering excellent usability.
The COP of the PV/T system in winter varies across different regions: 3.66 in Harbin (cold zone), 5.57 in Tianjin (cold zone), 6.39 in Kunming (moderate zone with cloudy weather), 6.99 in Nanjing (hot summer, cold winter), and 9.52 in Guangzhou (hot summer, warm winter).
Due to the project’s limited time and resources, only simulation studies were conducted. Experimental studies in different regions will be the next research step. Additionally, the PV/T solar heat pump system, when coupled with new energy storage systems and advanced control principles, can expand its application and energy efficiency, becoming a key tool for achieving zero-carbon campuses and public buildings.

Author Contributions

Conceptualization, B.L. and L.Y.; Methodology, T.L.; Software, M.J.; Validation, B.L. and L.Z.; Formal analysis, B.L.; Investigation, M.J. and W.H.; Resources, T.L.; Data curation, L.Z. and M.J.; Writing—original draft, M.J.; Writing—review & editing, L.Z. and M.J.; Visualization, M.J. and W.H.; Supervision, L.Y.; Project administration, L.Y.; Funding acquisition, T.L. All authors have read and agreed to the published version of the manuscript.

Funding

This research was supported by China Yangtze Power Co., Ltd. Z152302009/Z612302004).

Data Availability Statement

The data are not accessible to the public because of contractual restrictions.

Conflicts of Interest

The authors declare that this study received funding from China Yangtze Power Co., Ltd. The funder had the following involvement with the study: Conceptualization, Methodology, Validation, Formal analysis, Resources, Funding acquisition. Authors Bing Liu, Linqing Yang and Tiangang Lv were employed by the company Three Gorges Electric Energy Co., Ltd. Authors Li Zhu and Mingda Ji were employed by the APEC Sustainable Energy Center, Asia-Pacific Economic Cooperation (APEC)/National Energy Administration (NEA) of China. The remaining authors declare that the research was conducted in the absence of any commercial or financial relationships that could be construed as a potential conflict of interest.

References

  1. Global Status Report for Buildings and Construction; International Energy Agency: Paris, France, 2019.
  2. Tsinghua University Building Energy Conservation Research Center. Research Report on Annual Development of China’s Building Energy Efficiency 2023; Building Industry Press: Beijing, China, 2023. [Google Scholar]
  3. European Commission. EU Energy in Figures; European Commission: Brussels, Belgium, 2021.
  4. European Commission. An EU Strategy on Heating and Cooling; European Commission: Brussels, Belgium, 2016.
  5. Das, D.; Kalita, P.; Roy, O. Flat Plate Hybrid Photovoltaic-Thermal (PV/T) System: A Review on Design and Development. Renew. Sustain. Energy Rev. 2018, 84, 111–130. [Google Scholar] [CrossRef]
  6. Joshi, S.S.; Dhoble, A.S. Photovoltaic-Thermal Systems (PVT): Technology Review and Future Trends. Renew. Sustain. Energy Rev. 2018, 92, 848–882. [Google Scholar] [CrossRef]
  7. Chae, S.; Bae, S.; Nam, Y. Analyze the Economic and Environmental Impacts of the Optimal Design of an Integrated System with Air Source Heat Pump and PVT. Case Stud. Therm. Eng. 2023, 48, 103142. [Google Scholar] [CrossRef]
  8. Chhugani, B.; Pärisch, P.; Helmling, S.; Giovannetti, F. Comparison of PVT–Heat Pump Systems with Reference Systems for the Energy Supply of a Single-Family House. Sol. Energy Adv. 2023, 3, 100031. [Google Scholar] [CrossRef]
  9. Zhang, X.; Zhao, X.; Xu, J.; Yu, X. Characterization of a Solar Photovoltaic/Loop-Heat-Pipe Heat Pump Water Heating System. Appl. Energy 2013, 102, 1229–1245. [Google Scholar] [CrossRef]
  10. Zhang, X.; Shen, J.; Xu, P.; Zhao, X.; Xu, Y. Socio-Economic Performance of a Novel Solar Photovoltaic/Loop-Heat-Pipe Heat Pump Water Heating System in Three Different Climatic Regions. Appl. Energy 2014, 135, 20–34. [Google Scholar] [CrossRef]
  11. Dannemand, M.; Perers, B.; Furbo, S. Performance of a Demonstration Solar PVT Assisted Heat Pump System with Cold Buffer Storage and Domestic Hot Water Storage Tanks. Energy Build. 2019, 188–189, 46–57. [Google Scholar] [CrossRef]
  12. Dannemand, M.; Sifnaios, I.; Tian, Z.; Furbo, S. Simulation and optimization of a hybrid unglazed solar photovoltaic-thermal collector and heat pump system incorporating two storage tanks. Energy Convers. Manag. 2020, 206, 112429. [Google Scholar] [CrossRef]
  13. Chen, H.; Zhang, L.; Jie, P.; Xiong, Y.; Xu, P.; Zhai, H. Performance Study of Heat-Pipe Solar Photovoltaic/Thermal Heat Pump System. Appl. Energy 2017, 190, 960–980. [Google Scholar] [CrossRef]
  14. Del Amo, A.; Martínez-Gracia, A.; Bayod-Rújula, A.A.; Cañada, M. Analyzing Performance and Validating Experimentation of a Solar-Assisted Heat Pump Supplied by Photovoltaic-Thermal Collectors. Energy 2019, 169, 1214–1223. [Google Scholar] [CrossRef]
  15. Del Amo, A.; Martínez-Gracia, A.; Pintanel, T.; Bayod-Rújula, A.A.; Torné, S. Analysis and Optimization of a Heat Pump System Coupled to an Installation of PVT Panels and a Seasonal Storage Tank on an Educational Building. Energy Build. 2020, 226, 110373. [Google Scholar] [CrossRef]
  16. Braun, R.; Haag, M.; Stave, J.; Abdelnour, N.; Eicker, U. Designing and assessing the feasibility of trigeneration systems employing hybrid photovoltaic-thermal (PVT)collectors for zero-energy office buildings in diverse climates. Sol. Energy 2020, 196, 39–48. [Google Scholar] [CrossRef]
  17. Odeh, S.; Feng, J. Assessment of the Long-Term Performance of a Residential PV/Thermal Hybrid System. Energies 2023, 16, 121. [Google Scholar] [CrossRef]
  18. Ahmed, M.T.; Rashel, M.R.; Abdullah-Al-Wadud, M.; Hoque, T.T.; Janeiro, F.M.; Tlemcani, M. Mathematical Modeling, Parameters Effect, and Sensitivity Analysis of a Hybrid PVT System. Energies 2024, 17, 2887. [Google Scholar] [CrossRef]
  19. Korkut, T.B.; Gören, A.; Rachid, A. Numerical and Experimental Study of a PVT Water System under Daily Weather Conditions. Energies 2022, 15, 6538. [Google Scholar] [CrossRef]
  20. Cui, Y.; Zhu, J.; Zoras, S.; Qiao, Y.; Zhang, X. Assessments of Energy Performance and Life Cycle Costs for a Photovoltaic/Thermal Assisted Heat Pump System. Energy 2020, 206, 118108. [Google Scholar] [CrossRef]
  21. Kong, R.; Deethayat, T.; Asanakham, A.; Kiatsiriroat, T. Performance and Economic Evaluation of a Photovoltaic/Thermal (PV/T)-Cascade Heat Pump for Combined Cooling, Heat and Power in Tropical Climate Area. J. Energy Storage 2020, 30, 101507. [Google Scholar] [CrossRef]
  22. Obalanlege, M.A.; Mahmoudi, Y.; Douglas, R.; Ebrahimnia-Bajestan, E.; Davidson, J.; Bailie, D. A study evaluating the performance of a hybrid photovoltaic-thermal and heat pump system for generating solar heating and electricity. Renew. Energy 2020, 148, 558–572. [Google Scholar] [CrossRef]
  23. Qu, M.; Chen, J.; Nie, L.; Li, F.; Yu, Q.; Wang, T. Experimental Study on the Operating Characteristics of a Novel Photovoltaic/Thermal Integrated Dual-Source Heat Pump Water Heating System. Appl. Therm. Eng. 2016, 94, 819–826. [Google Scholar] [CrossRef]
  24. Croci, L.; Molinaroli, L.; Quaglia, P. Dual Source Solar Assisted Heat Pump Model Development, Validation and Comparison to Conventional Systems. Energy Procedia 2017, 140, 408–422. [Google Scholar] [CrossRef]
  25. Wang, G.; Quan, Z.; Zhao, Y.; Sun, C.; Deng, Y.; Tong, J. Experimental Study on a Novel PV/T Air Dual-Heat-Source Composite Heat Pump Hot Water System. Energy Build. 2015, 108, 175–184. [Google Scholar] [CrossRef]
  26. Long, J.; Zhang, R.; Lu, J.; Xu, F. Heat Transfer Performance of an Integrated Solar-Air Source Heat Pump Evaporator. Energy Convers. Manag. 2019, 184, 626–635. [Google Scholar] [CrossRef]
  27. Simonetti, R.; Molinaroli, L.; Manzolini, G. Conducted an experimental and analytical investigation on a new integrated dual-source evaporator designed for solar-assisted heat pumps. J. Sol. Energy 2019. [Google Scholar] [CrossRef]
  28. Lazzarin, R.; Noro, M. Photovoltaic/Thermal(PV/T)/Ground Dual Source Heat Pump: Optimum Energy and Economic Sizing Based on Performance Analysis. Energy Build. 2020, 211, 109800. [Google Scholar] [CrossRef]
  29. Bae, S.; Nam, Y. A Comparison of Experimental and Computational Approaches for Developing a Tri-Generation System Utilizing Photovoltaic-Thermal and Ground Source Heat Pump Technologies. Energy Build. 2021, 231, 110623. [Google Scholar] [CrossRef]
  30. GB55015-2021; General Code for Energy Efficiency and Renewable Energy Application in Buildings. Ministry of Housing and Urban-Rural Development of the People’s Republic of China: Beijing, China, 2021.
Figure 1. Illustrates the energy consumption and carbon dioxide emissions within the construction industry in China.
Figure 1. Illustrates the energy consumption and carbon dioxide emissions within the construction industry in China.
Energies 17 04922 g001
Figure 2. The PV/T solar heat pump system.
Figure 2. The PV/T solar heat pump system.
Energies 17 04922 g002
Figure 3. Energy transfer diagram of the PV/T collector.
Figure 3. Energy transfer diagram of the PV/T collector.
Energies 17 04922 g003
Figure 4. Meteorological parameters and fitting of solar radiation intensity diagram.
Figure 4. Meteorological parameters and fitting of solar radiation intensity diagram.
Energies 17 04922 g004
Figure 5. Water temperature curves.
Figure 5. Water temperature curves.
Energies 17 04922 g005
Figure 6. Changes in ambient temperature (a) and light intensity (b) in December in cities in five climate zones in China.
Figure 6. Changes in ambient temperature (a) and light intensity (b) in December in cities in five climate zones in China.
Energies 17 04922 g006
Figure 7. Shows the photoelectric performance of PV and PV/T systems in the Harbin area.
Figure 7. Shows the photoelectric performance of PV and PV/T systems in the Harbin area.
Energies 17 04922 g007
Figure 8. Depicts the photoelectric performance of PV and PV/T systems in Tianjin.
Figure 8. Depicts the photoelectric performance of PV and PV/T systems in Tianjin.
Energies 17 04922 g008
Figure 9. Showcases the photoelectric performance of PV and PV/T systems in Nanjing.
Figure 9. Showcases the photoelectric performance of PV and PV/T systems in Nanjing.
Energies 17 04922 g009
Figure 10. Illustrates the photoelectric efficiency of photovoltaic (PV) and PV/T systems in Kunming city.
Figure 10. Illustrates the photoelectric efficiency of photovoltaic (PV) and PV/T systems in Kunming city.
Energies 17 04922 g010
Figure 11. Shows the photoelectric performance of the PV and PV/T systems in Guangzhou.
Figure 11. Shows the photoelectric performance of the PV and PV/T systems in Guangzhou.
Energies 17 04922 g011
Figure 12. Changes in the power generation of PV/T solar heat pump systems in five typical cities.
Figure 12. Changes in the power generation of PV/T solar heat pump systems in five typical cities.
Energies 17 04922 g012
Figure 13. Temperature fluctuations in heat storage tank of PV/T solar heat pump system in five common cities.
Figure 13. Temperature fluctuations in heat storage tank of PV/T solar heat pump system in five common cities.
Energies 17 04922 g013
Figure 14. Change in indoor temperature of the PV/T solar heat pump system in five typical cities.
Figure 14. Change in indoor temperature of the PV/T solar heat pump system in five typical cities.
Energies 17 04922 g014
Figure 15. COP change of PV/T solar heat pump system in five typical cities.
Figure 15. COP change of PV/T solar heat pump system in five typical cities.
Energies 17 04922 g015
Table 1. Thermal engineering parameters of the building envelope in different climate zones.
Table 1. Thermal engineering parameters of the building envelope in different climate zones.
Exterior-Protected ConstructionClimate Zoning
Cold Area
(Harbin)
Cold Area (Tianjin)Hot Summer and Cold Winter Zone
(Nanjing)
Hot Summer and Warm Winter Area
(Guangzhou)
Moderate Area
(Kunming)
Exterior wall
(W/m2·K)
≤0.35≤0.50≤0.80≤1.50≤1.50
Window
(W/m2·K)
≤1.40≤1.80≤2.10≤2.40≤2.50
Roof
(W/m2·K)
≤0.25≤0.40≤0.40≤0.40≤0.80
Disclaimer/Publisher’s Note: The statements, opinions and data contained in all publications are solely those of the individual author(s) and contributor(s) and not of MDPI and/or the editor(s). MDPI and/or the editor(s) disclaim responsibility for any injury to people or property resulting from any ideas, methods, instructions or products referred to in the content.

Share and Cite

MDPI and ACS Style

Liu, B.; Yang, L.; Lv, T.; Zhu, L.; Ji, M.; Hu, W. Application of PVT Coupled Solar Heat Pump System in the Renovation of Existing Campus Buildings. Energies 2024, 17, 4922. https://doi.org/10.3390/en17194922

AMA Style

Liu B, Yang L, Lv T, Zhu L, Ji M, Hu W. Application of PVT Coupled Solar Heat Pump System in the Renovation of Existing Campus Buildings. Energies. 2024; 17(19):4922. https://doi.org/10.3390/en17194922

Chicago/Turabian Style

Liu, Bing, Linqing Yang, Tiangang Lv, Li Zhu, Mingda Ji, and Weihang Hu. 2024. "Application of PVT Coupled Solar Heat Pump System in the Renovation of Existing Campus Buildings" Energies 17, no. 19: 4922. https://doi.org/10.3390/en17194922

APA Style

Liu, B., Yang, L., Lv, T., Zhu, L., Ji, M., & Hu, W. (2024). Application of PVT Coupled Solar Heat Pump System in the Renovation of Existing Campus Buildings. Energies, 17(19), 4922. https://doi.org/10.3390/en17194922

Note that from the first issue of 2016, this journal uses article numbers instead of page numbers. See further details here.

Article Metrics

Back to TopTop