An Experimental Study of Boiling Heat Transfer and Quench Front Propagation Velocity During Quenching of a Cylinder Rod in Subcooled Water
Abstract
1. Introduction
2. Experimental Apparatus and Test Specimen
3. Data Reduction
4. Results and Discussion
4.1. Boiling Heat-Transfer Characteristics
4.2. Visualization Results
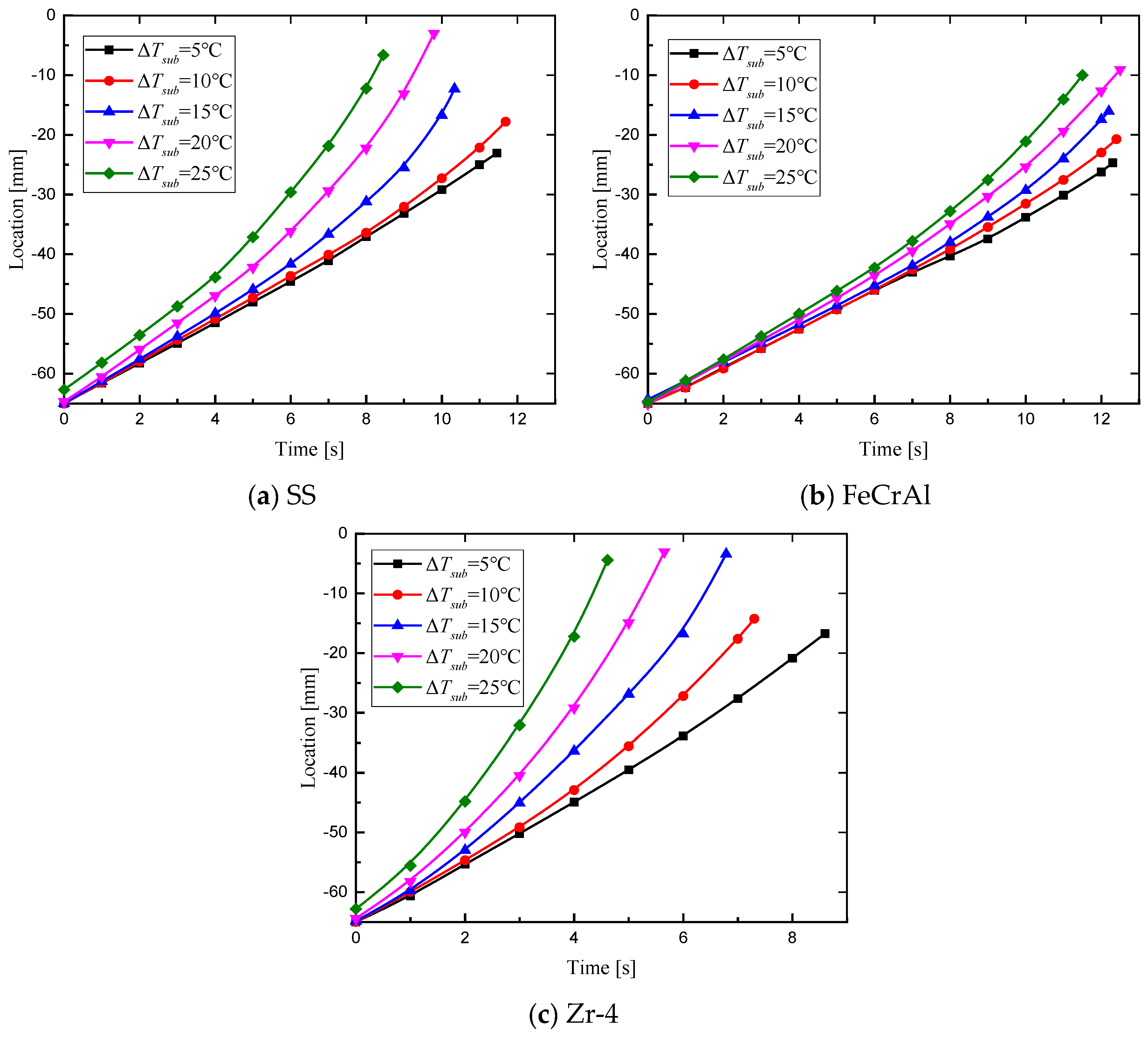
4.3. Quench Front Propagation
4.4. Analyzing Quench Front Propagation: Experimental Data vs. Duffey’s Model
5. Conclusions
Author Contributions
Funding
Data Availability Statement
Conflicts of Interest
References
- Lu, J.F.; Bourouga, B.; Ding, J. Transient boiling heat transfer performances of subcooled water during quenching process. Int. Commun. Heat Mass Transf. 2013, 48, 15–21. [Google Scholar] [CrossRef]
- Starodubtseva, I.P.; Pavlenko, A.N.; Surtaev, A.S. Heat transfer during quenching of high temperature surface by the falling cryogenic liquid film. Int. J. Therm. Sci. 2017, 114, 196–204. [Google Scholar] [CrossRef]
- Stepanek, J.; Blaha, V.; Dostal, V.; Entler, S. Effective water cooling of very hot surfaces during the LOCA accident. Fusion Eng. Des. 2017, 124, 1211–1214. [Google Scholar] [CrossRef]
- Totten, G.E. Steel Heat Treatment Metallurgy and Technologies; Taylor and Francis Group: Boca Raton, FL, USA, 2006; pp. 540–545. [Google Scholar]
- Li, J.Q.; Mou, L.W.; Zhang, Y.H.; Yu, J.Q.; Fan, L.W.; Yu, Z.T. Pool boiling heat transfer and quench front velocity during quenching of a rodlet in subcooled water: Effects of the degree of subcooling. Exp. Heat Transf. 2018, 31, 148–160. [Google Scholar] [CrossRef]
- Pettersson, K.; Billone, M.; Fuketa, T.; Grandjean, C.; Zimmermann, M. Nuclear Fuel Behaviour in Loss-of-Coolant Accident (LOCA) Conditions State-of-the-Art Report; Nuclear Energy Agency (NEA): Paris, France, 2009. [Google Scholar]
- Hwang, G.S.; In, W.K.; Lee, C.Y. Quenching experiments of vertical inconel and zircaloy tubes in internal water flow. Ann. Nucl. Energy 2022, 167, 108798. [Google Scholar] [CrossRef]
- Wang, Z.F.; Zhong, M.J.; Deng, J.; Liu, Y.; Huang, H.J.; Zhang, Y.; Xiong, J.B. Experimental investigation on the transient film boiling heat transfer during quenching of FeCrAl. Ann. Nucl. Energy 2021, 150, 107842. [Google Scholar] [CrossRef]
- Xiong, J.B.; Wang, Z.F.; Xiong, P.; Lu, T.; Yang, Y.H. Experimental investigation on transient boiling heat transfer during quenching of fuel cladding surfaces. Int. J. Heat Mass Transf. 2020, 148, 119131. [Google Scholar] [CrossRef]
- Starodubtseva, I.P.; Kuznetsov, D.V.; Pavlenko, A.N. Experiments and modeling on cryogenic quenching enhancement by the structured capillary-porous coatings of surface. Int. J. Heat Mass Transf. 2021, 176, 121388. [Google Scholar] [CrossRef]
- Piggott, B.D.G.; Duffey, R.B. The quenching of irradiated fuel pins. Nucl. Eng. Des. 1975, 32, 182–190. [Google Scholar] [CrossRef]
- Fan, L.W.; Li, J.Q.; Su, Y.Y.; Wang, H.L.; Ji, T.; Yu, Z.T. Subcooled pool film boiling heat transfer from spheres with superhydrophobic surfaces: An experimental study. J. Heat Transf. 2016, 138, 021503. [Google Scholar] [CrossRef]
- Ebrahim, S.A.; Chang, S.; Cheung, F.B.; Bajorek, S.M. Parametric investigation of film boiling heat transfer on the quenching of vertical rods in water pool. Appl. Therm. Eng. 2018, 140, 139–146. [Google Scholar] [CrossRef]
- Fu, B.R.; Ho, Y.H.; Ho, M.X.; Pan, C. Quenching characteristics of a continuously-heated rod in natural sea water. Int. J. Heat Mass Transf. 2016, 95, 206–213. [Google Scholar] [CrossRef]
- Dhir, V.K.; Purohit, G.P. Subcooled film-boiling heat transfer from spheres. Nucl. Eng. Des. 1978, 47, 49–66. [Google Scholar] [CrossRef]
- Freud, R.; Harari, R.; Sher, E. Collapsing criteria for vapor film around solid spheres as a fundamental stage leading to vapor explosion. Nucl. Eng. Des. 2009, 239, 722–727. [Google Scholar] [CrossRef]
- Zhang, J.Y.; Fan, L.W.; Li, J.Q.; Yu, Z.T. Surface-roughness-boosted critical heat flux enhancement during quenching boiling on wicking surfaces. Int. J. Heat Mass Transf. 2020, 162, 120364. [Google Scholar] [CrossRef]
- Li, J.Q.; Mou, L.W.; Zhang, J.Y.; Zhang, Y.H.; Fan, L.W. Enhanced pool boiling heat transfer during quenching of water on superhydrophilic porous surfaces: Effects of the surface wickability. Int. J. Heat Mass Transf. 2018, 125, 494–505. [Google Scholar] [CrossRef]
- Li, J.Q.; Zhang, J.Y.; Mou, L.W.; Zhang, Y.H.; Fan, L.W. Enhanced transitional heat flux by wicking during transition boiling on microporous hydrophilic and superhydrophilic surfaces. Int. J. Heat Mass Transf. 2019, 141, 835–844. [Google Scholar] [CrossRef]
- Lotfi, H.; Shafii, M.B. Boiling heat transfer on a high temperature silver sphere in nanofluid. Int. J. Therm. Sci. 2009, 48, 2215–2220. [Google Scholar] [CrossRef]
- Park, H.S.; Shiferaw, D.; Sehgal, B.R.; Kim, D.K.; Muhammed, M. Film boiling heat transfer on a high temperature sphere in nanofluid. In Proceedings of the ASME 2004 Heat Transfer/Fluids Engineering Summer Conference, Charlotte, NC, USA, 11–15 July 2004; Volume 4, pp. 469–476. [Google Scholar]
- Fan, L.W.; Li, J.Q.; Li, D.Y.; Zhang, L.; Yu, Z.T. Regulated transient pool boiling of water during quenching on nanostructured surfaces with modified wettability from superhydrophilic to superhydrophobic. Int. J. Heat Mass Transf. 2014, 76, 81–89. [Google Scholar] [CrossRef]
- Li, J.Q.; Mou, L.W.; Zhang, Y.H.; Yang, Z.S.; Hou, M.H.; Fan, L.W.; Yu, Z.T. An experimental study of the accelerated quenching rate and enhanced pool boiling heat transfer on rodlets with a superhydrophilic surface in subcooled water. Exp. Therm. Fluid Sci. 2018, 92, 103–112. [Google Scholar] [CrossRef]
- Ni, P.; Wen, Z.; Su, F.Y.; Liu, X.L.; Lou, G.F. Breaking process of boiling film around a solid hot sphere immersed in forced convection of sub-cooled water. Int. J. Heat Mass Transf. 2020, 158, 120064. [Google Scholar] [CrossRef]
- Gupta, V.; Ghosh, P. Visualization of quench front propagation on heated rod through single jet impingement. J. Heat Transf.-Trans. ASME 2020, 142, 092301. [Google Scholar] [CrossRef]
- Lee, Y.; Shen, W.Q. Effect of surface roughness on the rewetting process. Int. J. Multiph. Flow 1987, 13, 857–861. [Google Scholar] [CrossRef]
- Ohtake, H.; Koizumi, Y. Study on propagative collapse of a vapor film in film boiling. Int. J. Heat Mass Transf. 2004, 47, 1965–1977. [Google Scholar] [CrossRef]
- Murao, Y. Correlation of quench phenomena for bottom flooding during loss-of-coolant accidents. J. Nucl. Sci. Technol. 1978, 15, 875–885. [Google Scholar] [CrossRef]
- Xu, W.; Guo, J.Y.; Liu, X.J.; Xiong, J.B.; Chai, X.; Zhang, T.F.; Cheng, X.; Zeng, W. Predictions of quench temperature and quench velocity in narrow rectangular channel of novel plate-type reactor. Ann. Nucl. Energy 2019, 131, 148–155. [Google Scholar] [CrossRef]
- Piggott, B.D.G.; Porthouse, D.T.C. A correlation of rewetting data. Nucl. Eng. Des. 1975, 32, 171–181. [Google Scholar] [CrossRef]
- Yamanouchi, A. Effect of core spray cooling in transient state after loss of coolant accident. J. Nucl. Sci. Technol. 1968, 5, 547–558. [Google Scholar] [CrossRef]
- Duffey, R.B.; Porthouse, D.T.C. The physics of rewetting in water reactor emergency core cooling. Nucl. Eng. Des. 1973, 25, 379–394. [Google Scholar] [CrossRef]
- Xu, W.; Xia, J.H.; Liu, X.J.; Liu, X.J.; Cheng, X.; Zeng, W. Experimental investigation of bottom reflooding and modeling of quench velocity in a narrow rectangular channel. Prog. Nucl. Energy 2018, 105, 21–28. [Google Scholar] [CrossRef]
- Xu, W.; Xia, J.H.; Liu, X.J.; Cheng, X.; Zeng, W. Study of bottom reflooding in a narrow rectangular channel. Nucl. Technol. 2019, 205, 281–296. [Google Scholar] [CrossRef]
- Xiong, P.; Lu, T.; Luo, Y.; Zhang, Q.Q.; Ren, H.T.; Deng, J.; Heng, Y.G. Study on liquid-vapor interface oscillation characteristics and heat transfer of film boiling during quenching of fuel cladding surfaces. Appl. Therm. Eng. 2023, 219, 119615. [Google Scholar] [CrossRef]
- Westwater, J.W.; Hwalek, J.J.; Irving, M.E. Suggested standard method for obtaining boiling curves by quenching. Ind. Eng. Chem. Fundam. 1986, 25, 685–692. [Google Scholar] [CrossRef]
- Mills, K.C.; Su, Y.C.; Li, Z.S.; Brooks, R.F. Equations for the calculation of the thermophysical properties of stainless steel. ISIJ Int. 2004, 44, 1661–1668. [Google Scholar] [CrossRef]
- Field, K.G.; Snead, M.A.; Yamamoto, Y.; Terrani, K.A. Handbook of the Materials Properties of FeCrAl Alloys for Nuclear Power Production Applications. 2018. Available online: https://info.ornl.gov/sites/publications/Files/Pub74128.pdf (accessed on 21 July 2024).
- IAEA. Thermophysical Properties Database of Materials for Light Water Reactors and Heavy Water Reactors; IAEA: Vienna, Austria, 2006. [Google Scholar]
- Xiong, P.; Deng, J.; Lu, T.; Lu, Q.; Liu, Y.; Zhang, Y. A sequential conjugate gradient method to estimate heat flux for nonlinear inverse heat conduction problem. Ann. Nucl. Energy 2020, 149, 107798. [Google Scholar] [CrossRef]
- Kim, H.; Buongiorno, J.; Hu, L.W.; Mckrell, T. Nanoparticle deposition effects on the minimum heat flux point and quench front speed during quenching in water-based alumina nanofluids. Int. J. Heat Mass Transf. 2010, 53, 1542–1553. [Google Scholar] [CrossRef]
- Kang, J.Y.; Kim, T.K.; Lee, G.C.; Jo, H.; Kim, M.H.; Park, H.S. Impact of system parameters on quenching heat transfer in the candidate materials for accident tolerant fuel-cladding in LWRs. Ann. Nucl. Energy 2019, 129, 375–389. [Google Scholar] [CrossRef]
- Peterson, L.J.; Bajorek, S.M. Experimental investigation of minimum film boiling temperature for vertical cylinders at Elevated Pressure. In Proceedings of the 10th International Conference on Nuclear Engineering, Arlington, VA, USA, 14–18 April 2002; pp. 883–892. [Google Scholar]
- Sinha, J.; Hochreiter, L.E.; Cheung, F.B. Effects of surface roughness, oxidation level, and liquid subcooling on the minimum film boiling temperature. Exp. Heat Transf. 2003, 16, 45–60. [Google Scholar] [CrossRef]
- Adler, M.R. The Influence of Water Purity and Subcooling on the Minimum film Boiling Temperature. Master’s Thesis, University of Illinois Urbana-Champaign, Champaign, IL, USA, 1979. [Google Scholar]

















| Material | Properties | Values |
|---|---|---|
| SS | Density | [kg/m3] |
| Specific heat capacity | [J/(kg·°C)] | |
| Thermal conductivity | [W/(m·°C)] | |
| FeCrAl | Density | [kg/m3] |
| Specific heat capacity | [J/(kg·°C)] | |
| Thermal conductivity | [W/(m·°C)] | |
| Zr-4 | Density | [kg/m3] |
| Specific heat capacity | [J/(kg·°C)] | |
| Thermal conductivity | [W/(m·°C)] |
Disclaimer/Publisher’s Note: The statements, opinions and data contained in all publications are solely those of the individual author(s) and contributor(s) and not of MDPI and/or the editor(s). MDPI and/or the editor(s) disclaim responsibility for any injury to people or property resulting from any ideas, methods, instructions or products referred to in the content. |
© 2024 by the authors. Licensee MDPI, Basel, Switzerland. This article is an open access article distributed under the terms and conditions of the Creative Commons Attribution (CC BY) license (https://creativecommons.org/licenses/by/4.0/).
Share and Cite
Sun, Y.; Jian, H.; Xiong, P.; Zhou, L. An Experimental Study of Boiling Heat Transfer and Quench Front Propagation Velocity During Quenching of a Cylinder Rod in Subcooled Water. Energies 2024, 17, 5236. https://doi.org/10.3390/en17205236
Sun Y, Jian H, Xiong P, Zhou L. An Experimental Study of Boiling Heat Transfer and Quench Front Propagation Velocity During Quenching of a Cylinder Rod in Subcooled Water. Energies. 2024; 17(20):5236. https://doi.org/10.3390/en17205236
Chicago/Turabian StyleSun, Yuanyang, Huanyan Jian, Ping Xiong, and Linglan Zhou. 2024. "An Experimental Study of Boiling Heat Transfer and Quench Front Propagation Velocity During Quenching of a Cylinder Rod in Subcooled Water" Energies 17, no. 20: 5236. https://doi.org/10.3390/en17205236
APA StyleSun, Y., Jian, H., Xiong, P., & Zhou, L. (2024). An Experimental Study of Boiling Heat Transfer and Quench Front Propagation Velocity During Quenching of a Cylinder Rod in Subcooled Water. Energies, 17(20), 5236. https://doi.org/10.3390/en17205236
