Day-Ahead Optimization of Proton Exchange Membrane Electrolyzer Operations Considering System Efficiency and Green Hydrogen Production Constraints Imposed by the European Regulatory Framework
Abstract
1. Introduction
1.1. Bibliographic Survey and Research Gap
1.2. Proposal and Main Contribution
- Defining a novel mathematical formulation for the production cost optimization problem of green H2, taking EU regulatory aspects into account as constraints;
- Modeling electrolyzer efficiency and proposing a methodology to include it, while maintaining day-ahead cost optimization as an MILP problem;
- Developing an extensive simulation framework that includes daily H2 production as a target for defining the energy resource mix and estimating the green H2 cost per kg, comparing it to that of gray and blue H2.
2. Green Hydrogen Production
2.1. Technologies for Electrolyzer Units
2.2. European Regulatory Framework
- In the same installation, demonstrating that the producers generate renewable electricity corresponding to the amount of hydrogen they claim as being renewable;
- Through a renewable power purchase agreement (PPA) with operators producing renewable electricity.
- In the same bidding zone as the electrolyzer;
- In an interconnected bidding zone with electricity prices in the day-ahead market equal to or higher than the bidding zone where the hydrogen is produced;
- In an offshore zone interconnected to the electrolyzer bidding zone.
- Until 31 December 2029, hydrogen must be produced in the same calendar month as the renewable electricity produced under the PPA or from renewable electricity from a new storage asset directly connected to either the renewable electricity generator or the electrolyzer, charged in the same calendar month;
- From 1 January 2030, hydrogen must be produced during the same one-hour period as the renewable electricity or from renewable electricity from a co-located new storage asset that has been charged during the same one-hour period during which the electricity under the PPA was being produced.
3. Green H2 Production Cost Optimization
3.1. Problem Formulation
3.2. Linearization of the H2 Target Constraint
4. Simulation Framework
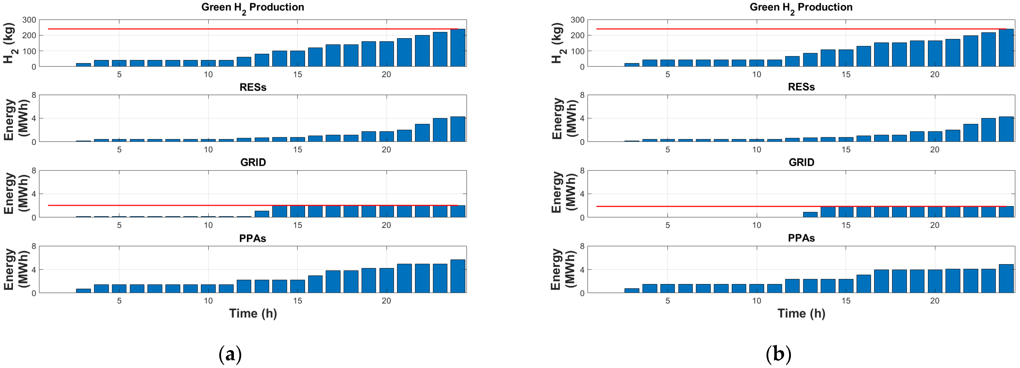
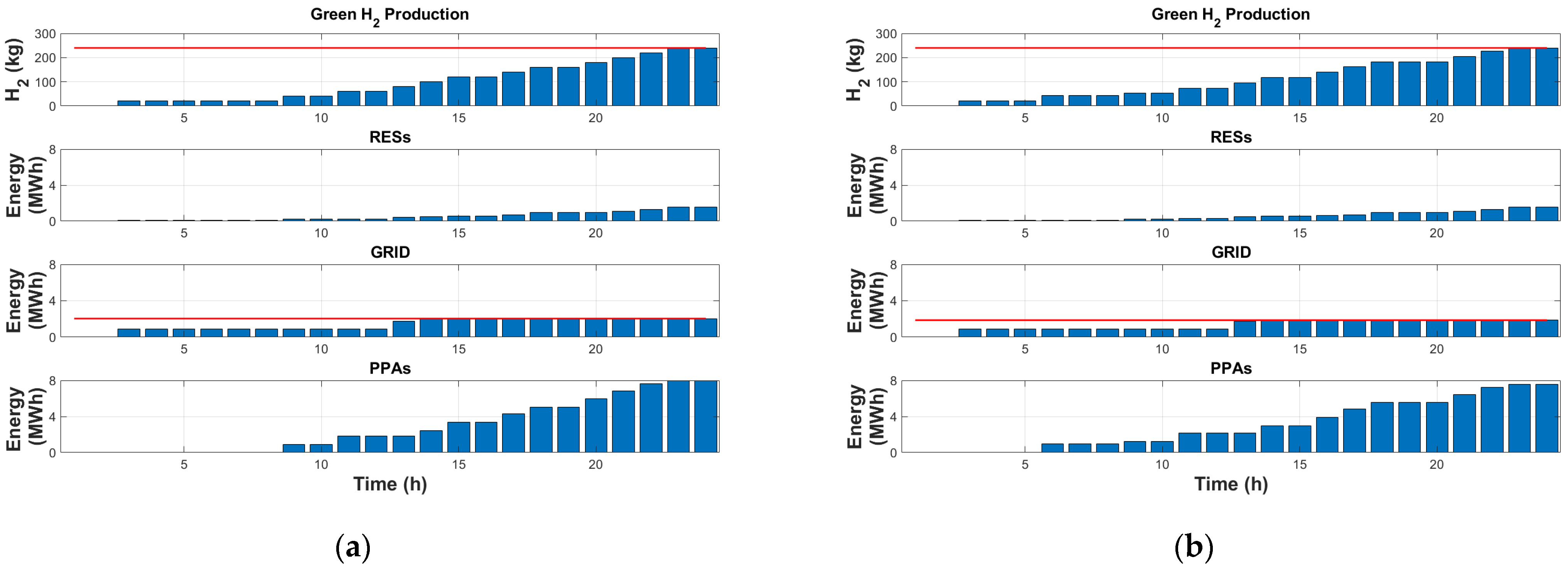
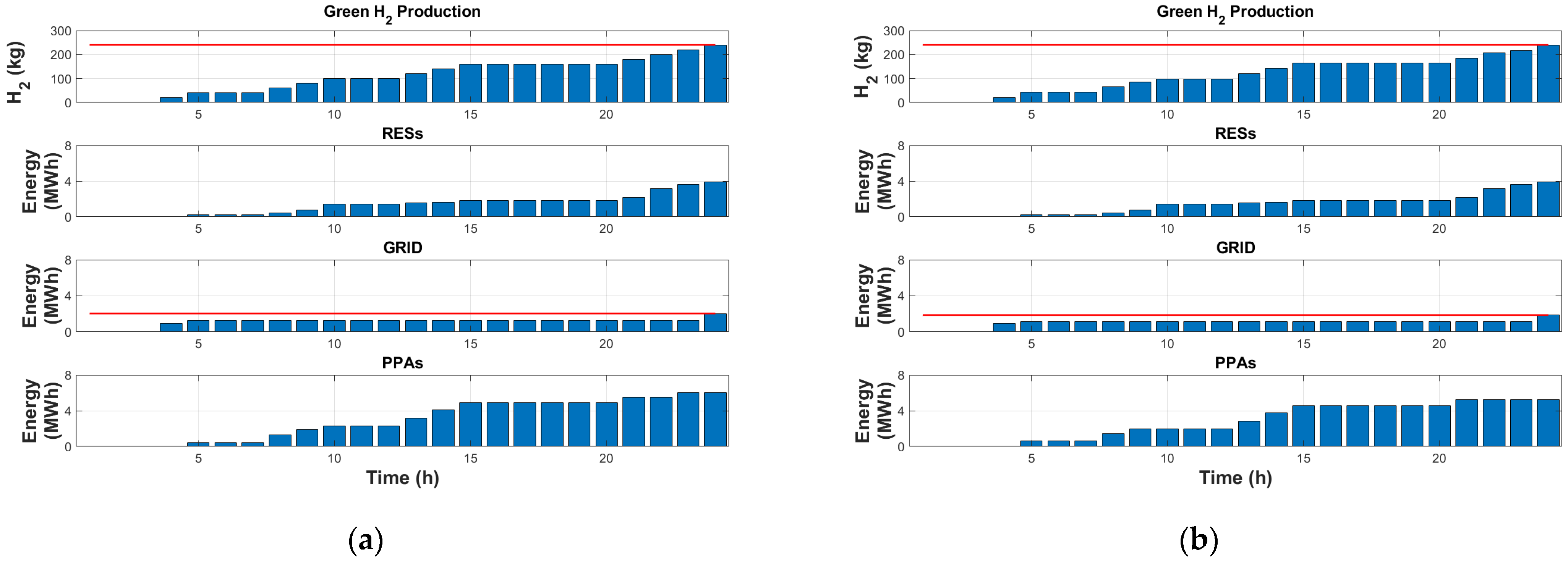
4.1. Case Study
4.2. Numerical Results
- Scenario 1—case study;
- Scenario 2—25% reduction in H2 production target;
- Scenario 3—25% increase in H2 production target;
- Scenario 4—50% reduction in RES production;
- Scenario 5—reduced PPA cost to 0.10 EUR/kWh.
5. Conclusions
Author Contributions
Funding
Data Availability Statement
Conflicts of Interest
References
- Renewable Power-to-Hydrogen—Innovation Landscape Brief—International Renewable Energy Agency (IRENA). 2019. Available online: https://www.irena.org/-/media/Files/IRENA/Agency/Publication/2019/Sep/IRENA_Power-to-Hydrogen_Innovation_2019.pdf (accessed on 21 September 2024).
- The Future of Hydrogen Seizing Today’s Opportunities—International Energy Agency (IEA). 2019. Available online: https://www.iea.org/reports/the-future-of-hydrogen (accessed on 21 September 2024).
- Renewable Energy Directive—European Commission (EU). 2023. Available online: https://energy.ec.europa.eu/topics/renewable-energy/renewable-energy-directive-targets-and-rules/renewable-energy-directive_en (accessed on 21 September 2024).
- EU Rules for Renewable Hydrogen—European Parliament. 2023. Available online: https://www.europarl.europa.eu/RegData/etudes/BRIE/2023/747085/EPRS_BRI(2023)747085_EN.pdf (accessed on 21 September 2024).
- Ennassiri, Y.; Belhaj, I.; Bouzekri, H. Techno-Economic Assessment of Hydrogen Production from vRE in Morocco Case Study: Laayoune, Ouarzazate, Midelt. In Proceedings of the 7th International Renewable and Sustainable Energy Conference, Agadir, Morocco, 27–30 November 2019. [Google Scholar]
- Papadopoulos, V.; Knockaert, J.; Develder, C.; Desmet, J. Techno-economic study of hydrogen production using PV, wind power and battery storage. In Proceedings of the IEEE PES Innovative Smart Grid Technologies Europe, Bucharest, Romania, 29 September–2 October 2019. [Google Scholar]
- Mendler, F.; Garcia, J.F.; Voglstätter, C. Global optimization of capacity ratios between electrolyser and renewable electricity source to minimize levelized cost of green hydrogen. Int. J. Hydrogen Energy 2024, 82, 986–993. [Google Scholar] [CrossRef]
- Farah, S.; Bokde, N.; Andresen, G.B. Cost and CO2 emissions co-optimisation of green hydrogen production in a grid-connected renewable energy system. Int. J. Hydrogen Energy 2024, 84, 164–176. [Google Scholar] [CrossRef]
- Hussam, W.K.; Barhoumi, E.M.; Abdul-Niby, M.; Sheard, G.J. Techno-economic analysis and optimization of hydrogen production from renewable hybrid energy systems: Shagaya renewable power plant-Kuwait. Int. J. Hydrogen Energy 2024, 58, 56–68. [Google Scholar] [CrossRef]
- Halloran, C.; Leonard, A.; Salmon, N.; Müller, L.; Hirmer, S. GeoH2 model: Geospatial cost optimization of green hydrogen production including storage and transportation. MethodsX 2024, 12, 102660. [Google Scholar] [CrossRef]
- Jodry, A.; Girard, R.; Nóbrega, P.H.A.; Molinier, R.; Faris, M.D.E.A. Hydrogen production via electrolysis in 2030: Comparing four connection schemes through energy system optimization. In Proceedings of the IEEE PES Innovative Smart Grid Technologies Europe, Grenoble, France, 23–26 October 2023. [Google Scholar]
- Ren, Y.; Jin, K.; Gong, C.; Hu, J.; Liu, D.; Jing, X.; Zhang, K. Modelling and capacity allocation optimization of a combined pumped storage/wind/photovoltaic/hydrogen production system based on the consumption of surplus wind and photovoltaics and reduction of hydrogen production cost. Energy Convers. Manag. 2023, 296, 117662. [Google Scholar] [CrossRef]
- Jiang, S.; Huang, H.; Chi, B.; Cao, X.; Shu, N.; Fan, F. Topology and Configuration Optimization of Wind-Solar-Hydrogen Combined System. In Proceedings of the IEEE/IAS Industrial and Commercial Power System Asia, Chongqing, China, 7–9 July 2023. [Google Scholar]
- Feng, C.; Shao, C.; Xiao, Y.; Dong, Z.; Wang, X. Day-Ahead Strategic Operation of Hydrogen Energy Service Providers. IEEE Trans. Smart Grid Year 2022, 13, 3493–3507. [Google Scholar] [CrossRef]
- Kookos, I.K. Systematic optimization of off-grid green hydrogen production systems. Int. J. Hydrogen Energy 2024, 79, 1299–1312. [Google Scholar] [CrossRef]
- Pan, J.; Lei, J.; Chen, A.; Cao, Y.; Zhao, Z.; Zhang, H. Optimal Proportion of Wind, PV, Hydrogen and Storage Capacity Based on Time Sequence Simulation. In Proceedings of the 5th International Conference on Power and Energy Applications, Guangzhou, China, 18–20 November 2022. [Google Scholar]
- Chen, Z.; Yu, L.; Zhang, D.; Jiang, Q. Smart Operation Optimization Methods for Hydrogen-Based Energy Systems Under Uncertainties. In Proceedings of the China Automation Congress, Chongqing, China, 17–19 November 2023. [Google Scholar]
- Li, Y.; Wen, F.; Tian, F.; Xue, Y.; Dong, Z.; Zheng, Y.; Zhang, R. Day-ahead schedule of a multi-energy system with power-to-gas technology. In Proceedings of the IEEE Power & Energy Society General Meeting, Chicago, IL, USA, 16–20 July 2017. [Google Scholar]
- Chen, Z.; Zhang, Y.; Su, J. Optimal capacity configuration for power to gas facilities in a wind farm: A bi-level programming. In Proceedings of the International Conference on Power System Technology, Guangzhou, China, 6–9 November 2018. [Google Scholar]
- Gu, Z.; Pan, G.; Gu, W.; Qiu, H.; Lu, S. Robust Optimization of Scale and Revenue for Integrated Power-to-Hydrogen Systems Within Energy, Ancillary Services, and Hydrogen Markets. IEEE Trans. Power Syst. 2023, 39, 5008–5023. [Google Scholar] [CrossRef]
- Pirom, W.; Srisiriwat, A. Experimental Study of Hybrid Photovoltaic-PEM Electrolyzer-PEM Fuel Cell System. In Proceedings of the International Electrical Engineering Congress, Khon Kaen, Thailand, 9–11 March 2022. [Google Scholar]
- Barhoumi, E.M.; Okonkwo, P.C.; Zghaibeh, M.; Belgacem, I.B.; Farhani, S.; Bacha, F. Optimization of PV-Grid Connected System Based Hydrogen Refueling Station. In Proceedings of the 8th International Conference on Control, Decision and Information Technologies, Istanbul, Turkey, 17–20 May 2022. [Google Scholar]
- Wang, J.; Wen, J.; Wang, J.; Yang, B.; Jiang, L. Coordinated scheduling of wind-solar-hydrogen-battery storage system for techno-economic-environmental optimization of hydrogen production. Energy Convers. Manag. 2024, 314, 118695. [Google Scholar] [CrossRef]
- Ghosh, S.; Jain, R.; Veda, S.; Terlip, D. Improving Distribution System Operations Using Fleet Control of Electrolyzers. In Proceedings of the IEEE/PES Transmission and Distribution Conference and Exposition, Chicago, IL, USA, 12–15 October 2020. [Google Scholar]
- Scolaro, M.; Kittner, N. Optimizing hybrid offshore wind farms for cost-competitive hydrogen production in Germany. Int. J. Hydrogen Energy 2022, 47, 6478–6493. [Google Scholar] [CrossRef]
- Shangguan, Z.; Li, H.; Yang, B.; Zhao, Z.; Wang, T.; Jin, L.; Zhang, C. Optimization of alkaline electrolyzer operation in renewable energy power systems: A universal modeling approach for enhanced hydrogen production efficiency and cost-effectiveness. Int. J. Hydrogen Energy 2024, 49, 943–954. [Google Scholar] [CrossRef]
- Li, W.; Zou, Y.; Yang, H.; Fu, X.; Xiang, S.; Li, Z. Two stage Stochastic Energy Scheduling for Multi Energy Rural Microgrids with Irrigation Systems and Biomass Fermentation. IEEE Trans. Smart Grid 2024, 1–12. [Google Scholar] [CrossRef]
- Sun, X.; Cao, X.; Zeng, B.; Zhai, Q.; Başar, T.; Guan, X. Stochastic-Robust Planning of Networked Hydrogen-Electrical Microgrids: A Study on Induced Refueling Demand. IEEE Trans. Smart Grid 2024, 1–16. [Google Scholar] [CrossRef]
- Ren, Z.; Li, H.; Sun, Z.; Feng, J.; Xia, W. A multi-stage stochastic dispatching method for electricity-hydrogen integrated energy systems driven by model and data. Appl. Energy 2024, 371, 123668. [Google Scholar]
- PEM Electrolyser Technology Flexible, Efficient and Scalable—Siemens Energy. 2021. Available online: https://energyforum.in/fileadmin/india/media_elements/Presentations/20210714_h2_large/Siemens_Energy.pdf (accessed on 21 September 2024).
- Shiva Kumar, S.; Lim, H. An overview of water electrolysis technologies for green hydrogen production. Elsevier Energy Rep. 2022, 8, 13793–13813. [Google Scholar] [CrossRef]
- Ghadim, H.V.; Canessa, R.; Haas, J.; Peer, R. Electrolyzer cost projections compared to actual market costs: A Critical Analysis. In Proceedings of the IEEE PES Innovative Smart Grid Technologies, Auckland, New Zealand, 21–24 November 2023. [Google Scholar]
- Sapountzi, F.M.; Gracia, J.M.; Weststrate, C.J.; Fredriksson, H.O.A.; Niemantsverdriet, J.W. Electrocatalysts for the generation of hydrogen, oxygen and synthesis gas. Prog. Energy Combust. Sci. 2017, 58, 1–35. [Google Scholar] [CrossRef]
- Gürbüz, H.; Akçay, H.; Akçay, I.H.; Demirtürk, S. Experimental Study on Operating Characteristics of On-Board PEMe Hydrogen Generator Integrated with a SI Engine. J. Energy Eng. 2018, 144, 04018055. [Google Scholar] [CrossRef]
- Zhao, P.; Wang, J.; Xia, H.; He, W. A novel industrial magnetically enhanced hydrogen production electrolyzer and effect of magnetic field configuration. Appl. Energy 2024, 367, 123402. [Google Scholar] [CrossRef]
- Bespalko, S.; Mizeraczyk, J. Overview of the Hydrogen Production by Plasma-Driven Solution Electrolysis. Energies 2022, 15, 7508. [Google Scholar] [CrossRef]
- PEM Fuel Cell Materials Market Growth Driven by Transportation Sector—IDTechEx. 2024. Available online: https://www.idtechex.com/en/research-article/pem-fuel-cell-materials-market-growth-driven-by-transportation-sector/30582#:~:text=The%20PEM%20fuel%20cell%20for,components%20used%20in%20fuel%20cells (accessed on 21 September 2024).
- Overview of the PEM Silyzer Family—Siemens Energy. 2020. Available online: https://4echile.cl/wp-content/uploads/2020/10/20200930-SE-NEB-PEM-Electrolyzer-and-Applications_EW.pdf (accessed on 21 September 2024).
- Comparison of Fuel Cell Technologies—US Departmentof Energy (DOE). 2016. Available online: https://www.energy.gov/eere/fuelcells/articles/comparison-fuel-cell-technologies-fact-sheet (accessed on 2 November 2024).
- Efficiency—Electrolysis (White Paper)—Siemens Energy. 2021. Available online: https://assets.siemens-energy.com/siemens/assets/api/uuid:5342163d-2333-4c8d-ae85-2a0e8d45db56/white-paper-efficiency-en.pdf (accessed on 21 September 2024).
- Bemporad, A.; Morari, M. Control of systems integrating logic, dynamics, and constraints. Automatica 1999, 35, 407–427. [Google Scholar] [CrossRef]
- Finamore, A.R.; Calderaro, V.; Galdi, V.; Graber, G.; Ippolito, L.; Conio, G. Improving Wind Power Generation Forecasts: A Hybrid ANN-Clustering-PSO Approach. Energies 2023, 16, 7522. [Google Scholar] [CrossRef]
- MGP—Results—Zonal Prices—Italian Power Exchange. 2023. Available online: https://www.mercatoelettrico.org/en-us/Home/Results/Electricity/MGP/Results/ZonalPrices#IntestazioneGrafico (accessed on 2 November 2024).
- Green Hydrogen to Undercut Gray Sibling by End of Decade—BloombergNEF. 2023. Available online: https://about.bnef.com/blog/green-hydrogen-to-undercut-gray-sibling-by-end-of-decade/ (accessed on 21 September 2024).














| Scenarios | ERES (MWh) | EGRID (MWh) | EPPA (MWh) | H2 Cost (EUR/kg) | Increase in H2 Cost (%) | 
|---|---|---|---|---|---|
| Gray H2 | - | - | - | 1.96, [20] | - | 
| Blue H2 | - | - | - | 2.85, [20] | 45 | 
| #1 | 4.29 | 2.04 | 5.67 | 5.39 | 175 | 
| #2 | 4.06 | 1.43 | 3.40 | 5.01 | 156 | 
| #3 | 4.53 | 2.55 | 7.92 | 5.68 | 189 | 
| #4 | 2.15 | 2.04 | 7.81 | 6.28 | 220 | 
| #5 | 4.35 | 0 | 7.65 | 4.09 | 109 | 
| Scenarios | ERES (MWh) | EGRID (MWh) | EPPA (MWh) | H2 Cost (EUR/kg) | Increase in H2 Cost (%) | 
|---|---|---|---|---|---|
| Gray H2 | - | - | - | 1.96, [20] | - | 
| Blue H2 | - | - | - | 2.85, [20] | 45 | 
| #1 | 4.29 | 1.87 | 4.83 | 4.78 | 143 | 
| #2 | 4.35 | 1.40 | 2.49 | 4.18 | 113 | 
| #3 | - | - | - | - | - | 
| #4 | 2.15 | 1.87 | 6.98 | 5.68 | 190 | 
| #5 | 4.35 | 0 | 6.64 | 3.67 | 87 | 
| Scenarios | ERES (MWh) | EGRID (MWh) | EPPA (MWh) | H2 Cost (EUR/kg) | Increase in H2 Cost (%) | 
|---|---|---|---|---|---|
| Gray H2 | - | - | - | 1.96, [20] | - | 
| Blue H2 | - | - | - | 2.85, [20] | 45 | 
| #1 | 4.76 | 1.87 | 4.36 | 4.59 | 134 | 
| #2 | 4.74 | 1.40 | 2.10 | 3.99 | 103 | 
| #3 | 4.76 | 2.33 | 6.64 | 4.99 | 154 | 
| #4 | 2.38 | 1.87 | 6.74 | 5.58 | 185 | 
| #5 | 4.82 | 0 | 6.17 | 3.57 | 82 | 
| Disclaimer/Publisher’s Note: The statements, opinions and data contained in all publications are solely those of the individual author(s) and contributor(s) and not of MDPI and/or the editor(s). MDPI and/or the editor(s) disclaim responsibility for any injury to people or property resulting from any ideas, methods, instructions or products referred to in the content. | 
© 2024 by the authors. Licensee MDPI, Basel, Switzerland. This article is an open access article distributed under the terms and conditions of the Creative Commons Attribution (CC BY) license (https://creativecommons.org/licenses/by/4.0/).
Share and Cite
Graber, G.; Calderaro, V.; Galdi, V.; Ippolito, L.; De Caro, F.; Vaccaro, A. Day-Ahead Optimization of Proton Exchange Membrane Electrolyzer Operations Considering System Efficiency and Green Hydrogen Production Constraints Imposed by the European Regulatory Framework. Energies 2024, 17, 5713. https://doi.org/10.3390/en17225713
Graber G, Calderaro V, Galdi V, Ippolito L, De Caro F, Vaccaro A. Day-Ahead Optimization of Proton Exchange Membrane Electrolyzer Operations Considering System Efficiency and Green Hydrogen Production Constraints Imposed by the European Regulatory Framework. Energies. 2024; 17(22):5713. https://doi.org/10.3390/en17225713
Chicago/Turabian StyleGraber, Giuseppe, Vito Calderaro, Vincenzo Galdi, Lucio Ippolito, Fabrizio De Caro, and Alfredo Vaccaro. 2024. "Day-Ahead Optimization of Proton Exchange Membrane Electrolyzer Operations Considering System Efficiency and Green Hydrogen Production Constraints Imposed by the European Regulatory Framework" Energies 17, no. 22: 5713. https://doi.org/10.3390/en17225713
APA StyleGraber, G., Calderaro, V., Galdi, V., Ippolito, L., De Caro, F., & Vaccaro, A. (2024). Day-Ahead Optimization of Proton Exchange Membrane Electrolyzer Operations Considering System Efficiency and Green Hydrogen Production Constraints Imposed by the European Regulatory Framework. Energies, 17(22), 5713. https://doi.org/10.3390/en17225713
 
        





 
       