Numerical Simulation Study of Salt Cavern CO2 Storage in Power-to-Gas System
Abstract
1. Introduction
2. Physical Modeling of Salt Cavern Storage
2.1. Distribution of Salt Rock Layers
2.2. Physical Model
2.3. Mesh Independence Test
3. Mathematical Modeling
3.1. Model Assumptions
- Geological structures: Although heterogeneous at the microscopic level, their internal structure is more homogeneous at the large scale and their mechanical and permeability behavior at the macroscopic level can be approximated as isotropic. This simplification can significantly reduce the complexity of the model while having less impact on the actual simulation.- (a)
- The salt rock and mudstone interlayers are treated as isotropic, homogeneous, continuous porous media.
- (b)
- Deformations in these media are assumed to be infinitesimal. This facilitates the calculation process and guarantees that the model can be solved with respect to the hydro-mechanics coupling relationship.
 
- Fluid dynamics: The effect of inertial forces can be neglected due to the low fluid seepage velocity. Also, the volumetric forces of CO2 are relatively small, especially during the sequestration process, and gravity effects have a limited impact on the overall flow of the fluid. These simplifications allow the model to focus on the key influences on hydro-mechanics coupling.- (a)
- CO2 flow in the salt cavern reservoir is modeled as a saturated single-phase flow, adhering to Darcy’s law.
- (b)
- The inertial forces of fluid seepage and rock deformation, as well as the volume force of the fluid, are neglected.
 
- Thermal considerations: In salt caverns, temperature changes are typically slow and limited in magnitude, much smaller than the effects of pressure changes. The simplification of ignoring thermal effects allows the model to focus on pressure-dominated coupling effects, as these are the dominant factors in such environments. In addition, the model does not need to take into account complex heat transfer processes and can concentrate on simulating mechanical and fluid processes.- (a)
- Temperature effects on fluid density, dynamic viscosity, and heat transfer parameters of both rock and fluid are not considered.
- (b)
- The solid and fluid phases are assumed to be in constant thermal equilibrium.
- (c)
- Temperature influences on CO2 transportation and the deformation of salt rock and mudstone interlayer are disregarded.
 
3.2. Governing Equations
3.2.1. Elasto-Plasticity Constitutive Equations for Salt Rock and Mudstone Interlayers
3.2.2. Fundamental Differential Equations for CO2 Transportation in Salt Rock and Mudstone Interlayers
3.3. Porosity and Permeability Equation
3.4. Numerical Simulation Scheme and Key Parameters
4. Analysis of Results
4.1. CO2 Transportation and Leakage Patterns in Salt Caverns
4.1.1. Permeation Range
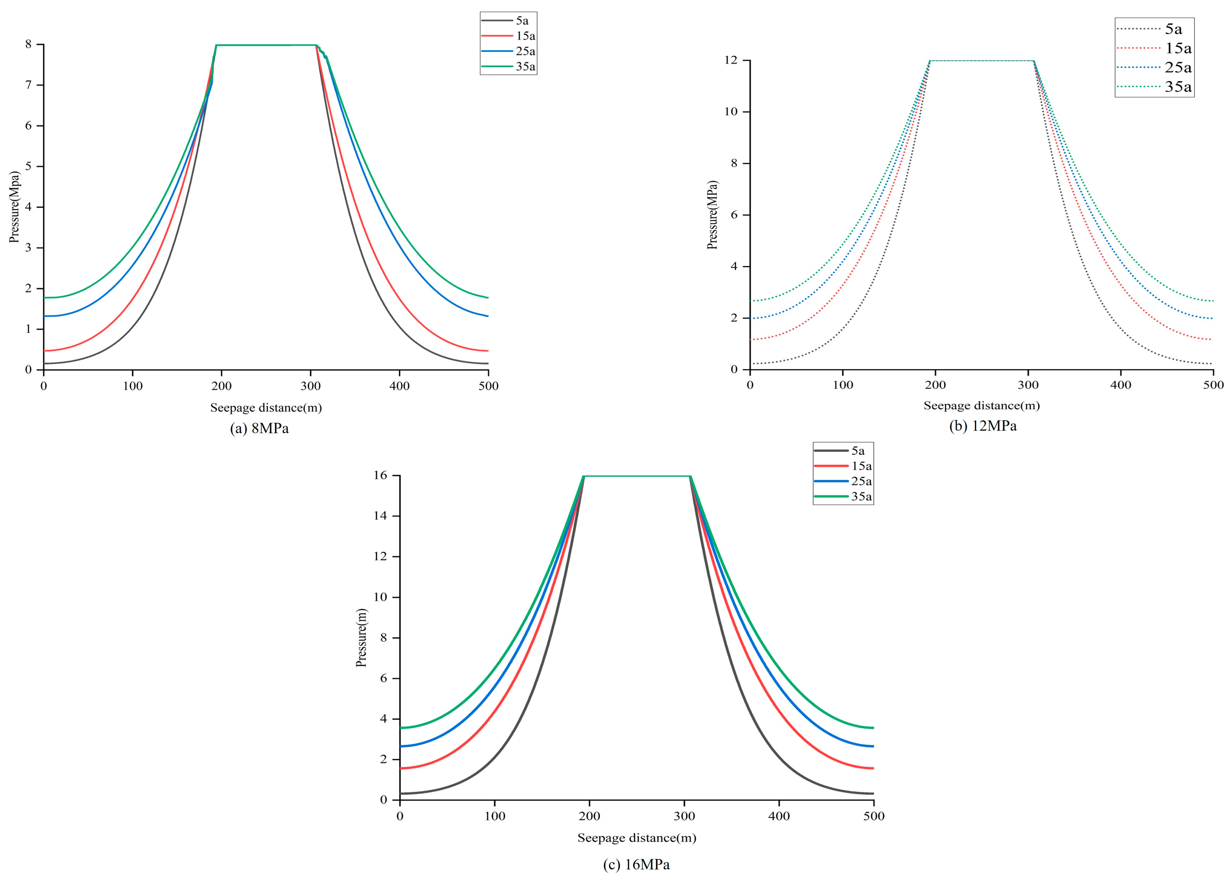
4.1.2. Evolution of CO2 Pressure at Different Gas Storage Pressures
4.1.3. Leakage Amount
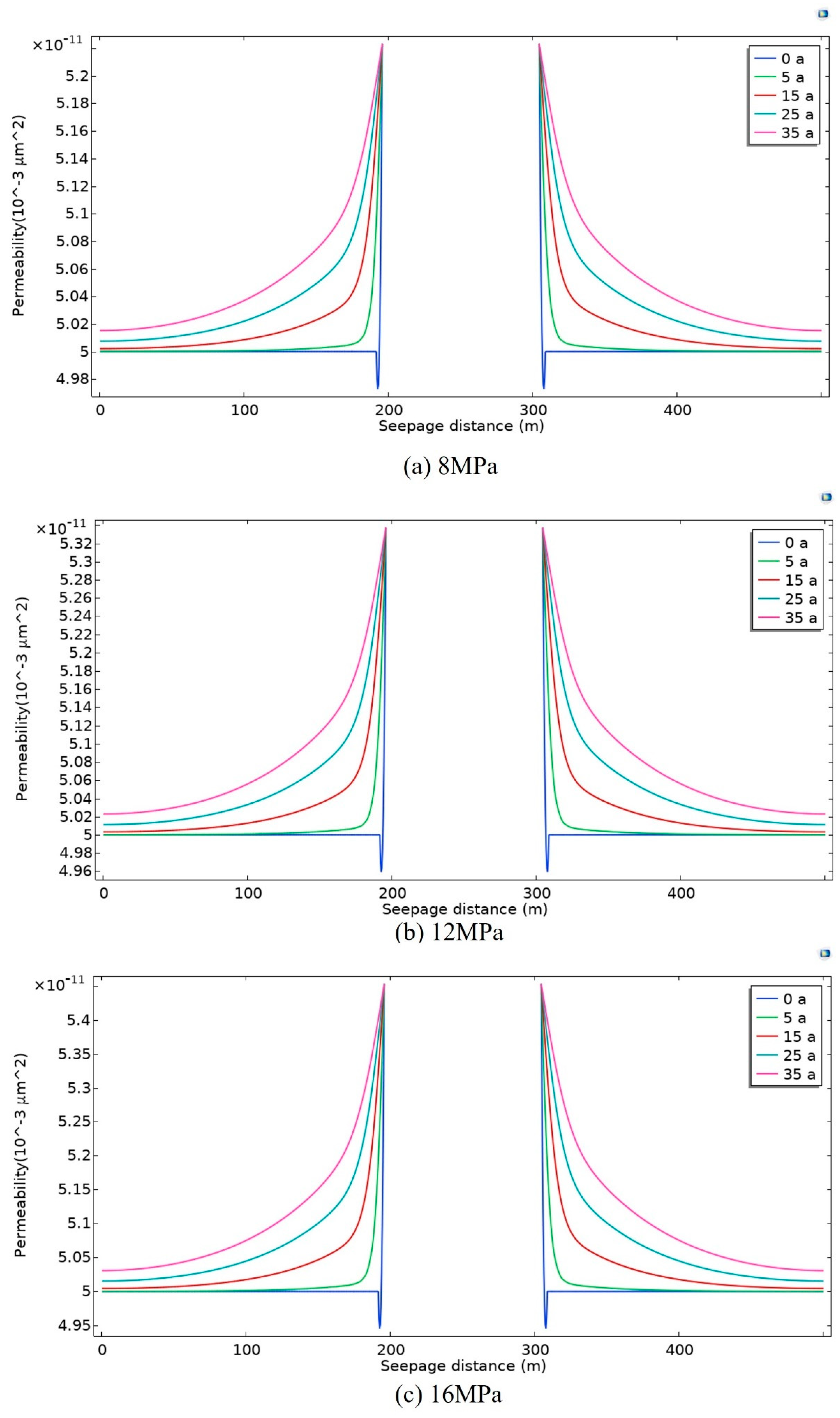
4.2. Patterns of Permeability Evolution
4.2.1. Characterization of Permeability Evolution in Salt Rock
4.2.2. Characterization of Permeability Evolution in Interlayer
5. Discussion
5.1. Effect of Interlayer on Permeability
- (1)
- Higher permeability of mudstone: Mudstone interlayers typically have a much higher permeability compared to salt rock. This results in faster CO2 transportation through the interlayers, making them the primary pathways for leakage. While salt rock has extremely low permeability and slows down CO2 movement, mudstone interlayers allow CO2 to be transported more freely, which can lead to leakage if not adequately monitored and controlled.
- (2)
- Elasticity differences: The mudstone layer has a lower elastic modulus compared to salt rock, which makes it more susceptible to deformation under pressure. The combined effect of overlying formation pressure and CO2 injection pressure affects the permeability of mudstone more significantly than salt rock. This means that during CO2 storage, the permeability of mudstone interlayers can increase more easily due to deformation, further contributing to leakage.
- (3)
- Dynamic permeability changes: The permeability of both salt rock and mudstone changes over time as CO2 pressure spreads through the storage cavern. Initially, the overlying formation pressure reduces the permeability in both materials. However, as CO2 pressure increases, the permeability in the mudstone interlayers tends to recover more rapidly than in salt rock, further enhancing the leakage risk along these interlayers.
5.2. Limitations of the Model
6. Prospects
- (1)
- In terms of site selection, it is essential to conduct a thorough exploration of the tectonic features, distribution of salt rock layers, and physical parameters of both salt rock and mudstone interlayers prior to the creation of caverns. The selection of sites for salt cavern gas storage reservoirs should aim to avoid areas or layers where mudstone interlayers are prevalent. If avoidance is not feasible, it is advisable to choose locations characterized by a lower number of mudstone interlayers, reduced permeability, and higher mechanical strength for cavern creation [29,30].
- (2)
- In terms of construction, if the cavern area or layer contains mudstone interlayers, it is crucial to construct the CO2 salt cavern gas storage reservoir in a manner that adequately protects these interlayers. This may involve implementing suitable cementing and leakage prevention technologies, as well as utilizing technological measures to minimize CO2 leakage along the mudstone interlayers.
- (3)
- From an operational perspective, it is essential to design and implement a long-term monitoring program that includes the monitoring of pressure, CO2 concentration, and surface deformation. Regular risk assessments and updates to predictive models should be conducted. Additionally, a dynamic pressure monitoring system should be established, accompanied by a rigorous pressure management strategy. It is imperative that gas storage pressure is maintained below the safety threshold.
7. Conclusions
- (1)
- The CO2 transportation rate and leakage range primarily depend on the permeability of salt rock and mudstone interlayers, which affects the efficacy of CO2 sequestration within the saltstone caverns. Both the CO2 transportation rate and pressure increases in the salt rock and mudstone interlayer decrease with prolonged sequestration time; specifically, when the CO2 storage period exceeds 25 years, the CO2 pressure reaches the simulation boundary, leading to a gradual stabilization of both the CO2 transportation rate and pressure increase. Due to differences in permeability, the CO2 transportation rate and influence range in the mudstone interlayer are significantly greater than those in the salt rock over the same storage period, allowing CO2 to migrate from the mudstone interlayer to the salt rock, thereby increasing the CO2 pressure in the salt rock. While the gas storage pressure has no significant effect on the CO2 transportation rate and influence range within the salt rock layer, the rate of increase in CO2 pressure in the salt rock layer tends to slow down as gas storage pressure rises. Salt rock and mudstone interlayers have similar permeability dynamics, and the change in permeability of both is a result of the negative effect of the overlying stratum pressure and the positive effect of the CO2 pressure in the salt rock, and is affected by the mechanical properties of the saltstone and mudstone interlayers as well as the pressure of SCCS.
- (2)
- An increase in operating pressure significantly increases the range of penetration and cumulative leakage. For example, at a set average operating pressure of 8 MPa (pin = 8~16 MPa), the leakage ranges of CO2 in the intercalated layer and the salt-rock layer within 30 years can reach 112.53 m and 31.99 m, respectively, with the permeation range in the intercalated layer being about 3.52 times that in the salt-rock layer. However, none of them exceeds the limit value agreed in the specification. Therefore, the salt rock reservoir can satisfy the requirement of tightness, and basically no leakage accident will occur. Meanwhile, in 35 years of operation, the cumulative leakage reached 522.5 tonnes.
- (3)
- In the process of hydro-mechanics coupling analysis, the formation’s permeability and porosity change in response to deformation. The results of the hydro-mechanics coupling calculations indicate that the porosity and permeability of the strata near the cavern wall increase significantly, with a higher rate of permeability growth. The extent of this effect is related to the distance of the formation from the salt cavern; the closer the formation is to the cavern, the greater the influence on permeability parameters. For instance, the permeability of the salt rock layer at the cavern wall is 1.45 times the initial value, representing a 45% increase, while the permeability of the mudstone layer at the cavern wall is 1.06 times the initial value, indicating only a 6% increase. This suggests that the mechanical parameters of the mudstone interlayer are superior to those of the salt rock, and that the permeability of the mudstone interlayer is less affected by disturbances from geostress and operating pressure. Since the porosity and permeability of the formation, when considering hydro-mechanics coupling, are increased, the calculated gas permeability range will be larger than that derived without considering hydro-mechanics coupling. This approach enhances accuracy and safety in the analysis of gas storage confinement.
- (4)
- In terms of future research, in order to investigate the safety of long-term SCCS, it is necessary to establish a long-term creep-permeability coupling model for salt rock, to predict the evolution of the geometry of the salt cavern storage, and to accurately predict the mechanical properties of the mudstone intermediate layer. In terms of numerical modelling, the phase change of CO2 and its dissolution with brine must be taken into account, and a complete thermal–hydraulic–mechanical–chemical multi-field coupling model must be established for the temperature change and well response induced by CO2 injection. These studies will provide a more robust scientific basis for the promotion and application of SCCS technology.
Author Contributions
Funding
Data Availability Statement
Conflicts of Interest
Abbreviations and Nomenclature
| PtG | Power to gas | 
| H-M coupling | Hydro-mechanics coupling | 
| CCUS | Carbon capture, utilization, and storage | 
| SCCS | Salt cavern CO2 storage | 
| Tensor component of the stress | |
| Initial elastic stiffness matrix of salt rock and mud interlayer | |
| Total strain of salt rock and mud interlayer | |
| Plastic strain of salt rock and mud interlayer | |
| Kronecker notation | |
| CO2 pressure of salt rock or mud interlayer | |
| Component of the strain tensor | |
| The component of displacement | |
| Tensor component of the stress | |
| The volume force component | |
| Density of CO2, kg/s | |
| Darcy velocity vectors | |
| Sources and sinks of fluids | |
| The mass of CO2 per unit volume of rock | |
| Porosity,% | |
| Hydrodynamic viscosity | |
| Permeability, μm2 | |
| Rock volume | |
| Rock skeleton volume | |
| The bulk modulus of the rock skeleton | |
| The volumetric strain of the rock mass | 
References
- Gao, R.; Wu, F.; Zou, Q.; Chen, J. Optimal Dispatching of Wind-PV-Mine Pumped Storage Power Station: A Case Study in Lingxin Coal Mine in Ningxia Province, China. Energy 2022, 243, 123061. [Google Scholar] [CrossRef]
- Sadeq, A. Energy Storage Systems: A Comprehensive Guide; Qatar Naval Academy: Khasooma, Qatar, 2023; ISBN 9798990783652. [Google Scholar]
- Gahleitner, G. Hydrogen from Renewable Electricity: An International Review of Power-to-Gas Pilot Plants for Stationary Applications. Int. J. Hydrogen Energy 2013, 38, 2039–2061. [Google Scholar] [CrossRef]
- Xie, Y.; Wu, X.; Hou, Z.; Li, Z.; Luo, J.; Lüddeke, C.T.; Huang, L.; Wu, L.; Liao, J. Gleaning Insights from German Energy Transition and Large-Scale Underground Energy Storage for China’s Carbon Neutrality. Int. J. Min. Sci. Technol. 2023, 33, 529–553. [Google Scholar] [CrossRef]
- Liu, W.; Ding, W.; Fan, J.; Chen, J.; Liu, W.; Jiang, D. Creep Properties and Constitutive Model of Salt Rocks under a Slow Cyclic Loading Path. J. Energy Storage 2023, 72, 108761. [Google Scholar] [CrossRef]
- Han, Y.; Ma, H.; Yang, C.; Li, H.; Yang, J. The Mechanical Behavior of Rock Salt under Different Confining Pressure Unloading Rates during Compressed Air Energy Storage (CAES). J. Pet. Sci. Eng. 2021, 196, 107676. [Google Scholar] [CrossRef]
- Chen, J. Studies on Temperature Effect of Mechanical Properties and Micro Mechanism of Rock Salt. Ph.D. Thesis, Wuhan Institute of Rock and Soil Mechanics, Chinese Academy of Science, Wuhan, China, 2008. [Google Scholar]
- Liu, W.; Zhang, Z.; Chen, J.; Jiang, D.; Wu, F.; Fan, J.; Li, Y. Feasibility Evaluation of Large-Scale Underground Hydrogen Storage in Bedded Salt Rocks of China: A Case Study in Jiangsu Province. Energy 2020, 198, 117348. [Google Scholar] [CrossRef]
- Li, H.; Ma, H.; Liu, J.; Zhu, S.; Zhao, K.; Zheng, Z.; Zeng, Z.; Yang, C. Large-Scale CAES in Bedded Rock Salt: A Case Study in Jiangsu Province, China. Energy 2023, 281, 128271. [Google Scholar] [CrossRef]
- Vandeginste, V.; Ji, Y.; Buysschaert, F.; Anoyatis, G. Mineralogy, Microstructures and Geomechanics of Rock Salt for Underground Gas Storage. Deep Undergr. Sci. Eng. 2023, 2, 129–147. [Google Scholar] [CrossRef]
- Huang, L.; Fang, Y.; Hou, Z.; Xie, Y.; Wu, L.; Luo, J.; Wang, Q.; Guo, Y.; Sun, W. A Preliminary Site Selection System for Underground Hydrogen Storage in Salt Caverns and Its Application in Pingdingshan, China. Deep Undergr. Sci. Eng. 2024, 3, 117–128. [Google Scholar] [CrossRef]
- Zhang, X.; Liu, W.; Chen, J.; Jiang, D.; Fan, J.; Daemen, J.J.K.; Qiao, W. Large-Scale CO2 Disposal/Storage in Bedded Rock Salt Caverns of China: An Evaluation of Safety and Suitability. Energy 2022, 249, 123727. [Google Scholar] [CrossRef]
- Bailera, M.; Lisbona, P.; Romeo, L.M.; Espatolero, S. Power to Gas Projects Review: Lab, Pilot and Demo Plants for Storing Renewable Energy and CO2. Renew. Sustain. Energy Rev. 2017, 69, 292–312. [Google Scholar] [CrossRef]
- Wulf, C.; Linßen, J.; Zapp, P. Review of Power-to-Gas Projects in Europe. Energy Procedia 2018, 155, 367–378. [Google Scholar] [CrossRef]
- Aminu, M.D.; Nabavi, S.A.; Rochelle, C.A.; Manovic, V. A Review of Developments in Carbon Dioxide Storage. Appl. Energy 2017, 208, 1389–1419. [Google Scholar] [CrossRef]
- Wang, T.; Yang, C.; Shi, X.; Ma, H.; Li, Y.; Yang, Y.; Daemen, J.J.K. Failure Analysis of Thick Interlayer from Leaching of Bedded Salt Caverns. Int. J. Rock Mech. Min. Sci. 2015, 73, 175–183. [Google Scholar] [CrossRef]
- Liu, W.; Li, Y.; Yang, C.; Daemen, J.J.K.; Yang, Y.; Zhang, G. Permeability Characteristics of Mudstone Cap Rock and Interlayers in Bedded Salt Formations and Tightness Assessment for Underground Gas Storage Caverns. Eng. Geol. 2015, 193, 212–223. [Google Scholar] [CrossRef]
- Huang, X.; Xiong, J. Numerical Simulation of Gas Leakage in Bedded Salt Rock Storage Cavern. Procedia Eng. 2011, 12, 254–259. [Google Scholar] [CrossRef]
- Xiong, J.; Huang, X.; Ma, H. Gas Leakage Mechanism in Bedded Salt Rock Storage Cavern Considering Damaged Interface. Petroleum 2015, 1, 366–372. [Google Scholar] [CrossRef]
- Liu, W.; Zhang, Z.; Fan, J.; Jiang, D.; Li, Z.; Chen, J. Research on Gas Leakage and Collapse in the Cavern Roof of Underground Natural Gas Storage in Thinly Bedded Salt Rocks. J. Energy Storage 2020, 31, 101669. [Google Scholar] [CrossRef]
- Li, P.; Li, Y.; Shi, X.; Zhu, S.; Ma, H.; Yang, C. Gas Tightness around Salt Cavern Gas Storage in Bedded Salt Formations. Renew. Energy 2024, 233, 121191. [Google Scholar] [CrossRef]
- Song, Y.; Song, R.; Liu, J. Hydrogen Tightness Evaluation in Bedded Salt Rock Cavern: A Case Study of Jintan, China. Int. J. Hydrogen Energy 2023, 48, 30489–30506. [Google Scholar] [CrossRef]
- Xianjun Tan; Weizhong Chen; Jianping Yang; Chunhe Yang Study of THM-damage coupling model of gas storage in salt rock with interlayer. Rock Soil Mech. 2009, 30, 3633–3641. (In Chinese) [CrossRef]
- Cosenza, P.; Ghoreychi, M. Effects of Very Low Permeability on the Long-Term Evolution of a Storage Cavern in Rock Salt. Int. J. Rock Mech. Min. Sci. 1999, 36, 527–533. [Google Scholar] [CrossRef]
- Liu, W.; Muhammad, N.; Chen, J.; Spiers, C.J.; Peach, C.J.; Deyi, J.; Li, Y. Investigation on the Permeability Characteristics of Bedded Salt Rocks and the Tightness of Natural Gas Caverns in Such Formations. J. Nat. Gas Sci. Eng. 2016, 35, 468–482. [Google Scholar] [CrossRef]
- Liu, W.; Dong, Y.; Zhang, Z.; Li, L.; Jiang, D.; Fan, J.; Chen, J.; Zhang, X.; Wan, J.; Li, Z. Optimization of Operating Pressure of Hydrogen Storage Salt Cavern in Bedded Salt Rock with Multi-Interlayers. Int. J. Hydrogen Energy 2024, 58, 974–986. [Google Scholar] [CrossRef]
- Liu, W.; Duan, X.; Li, Q.; Wan, J.; Zhang, X.; Fang, J.; Jiang, D.; Chen, J. Analysis of Pressure Interval/Injection and Production Frequency on Stability of Large-Scale Supercritical CO2 Storage in Salt Caverns. J. Clean. Prod. 2023, 433, 139731. [Google Scholar] [CrossRef]
- Mwakipunda, G.C.; Mgimba, M.M.; Ngata, M.R.; Yu, L. Recent Advances on Carbon Dioxide Sequestration Potentiality in Salt Caverns: A Review. Int. J. Greenh. Gas Control 2024, 133, 104109. [Google Scholar] [CrossRef]
- Liu, Y.; Li, Y.; Ma, H.; Shi, X.; Zheng, Z.; Dong, Z.; Zhao, K. Detection and Evaluation Technologies for Using Existing Salt Caverns to Build Energy Storage. Energies 2022, 15, 9144. [Google Scholar] [CrossRef]
- Fibbi, G.; Del Soldato, M.; Fanti, R. Review of the Monitoring Applications Involved in the Underground Storage of Natural Gas and CO2. Energies 2023, 16, 12. [Google Scholar] [CrossRef]









| Type | Advantages | Disadvantages | 
|---|---|---|
| Depleted reservoirs | Clear volume, better sealing, can be efficiently developed for oil and gas resources in an efficient manner | Small capacity (about 25 billion tonnes of carbon), limited quantity, lack of facilities to transport CO2 | 
| Aquifers | Large capacity (25–90 billion tonnes of carbon) and wide distribution | Uncertain and uncontrollable sealing, complex and uncertain geological features, lack of storage infrastructure | 
| Deep unrecoverable coal seams | Close proximity to CO2 sources such as large power stations, fuel recovery (CH4) to reduce costs | Destruction of the subsequent potential value of the coal seam, difficulty in defining whether the seam is mineable or not | 
| Basalt sequestration | Widespread basalt distribution, good basalt injection and storage; low risk of leakage | Limited storage capacity, complex geological environment and difficulty in identifying suitable storage bodies | 
| Salt caverns | The permeability of salt rock is small, and the sealing is good; the damage self-healing is good, and the risk of gas leakage is small; the underground engineering is relatively simple, and the technology is mature. Good economy of building reservoir, relatively low cost. | Stronger creep, larger volume contraction in long-term operation; high-pressure oxygen corrosion under the action of chlorine ions; small injection and extraction pressure interval; relatively small distribution of salt rock layer and restricted site selection. | 
| Parameter | Value | 
|---|---|
| Overlying ground pressure/MPa | 23.1 | 
| Rock salt initial porosity/% | 1.00 | 
| Mud interlayer initial porosity/% | 6.00 | 
| Modulus of elasticity of rock salt/GPa | 18 | 
| Modulus of elasticity of mud interlayer/GPa | 10 | 
| Initial permeability of rock salt/10−8 | 1 | 
| Initial permeability of mud interlayer/10−6 | 1 | 
| Number of mudstone interlayers | 3 | 
| Disclaimer/Publisher’s Note: The statements, opinions and data contained in all publications are solely those of the individual author(s) and contributor(s) and not of MDPI and/or the editor(s). MDPI and/or the editor(s) disclaim responsibility for any injury to people or property resulting from any ideas, methods, instructions or products referred to in the content. | 
© 2024 by the authors. Licensee MDPI, Basel, Switzerland. This article is an open access article distributed under the terms and conditions of the Creative Commons Attribution (CC BY) license (https://creativecommons.org/licenses/by/4.0/).
Share and Cite
Bai, W.; Lu, J.; Wang, J.; Fu, X.; Fu, Y.; Huang, Y.; Wang, X.; Shi, X. Numerical Simulation Study of Salt Cavern CO2 Storage in Power-to-Gas System. Energies 2024, 17, 5786. https://doi.org/10.3390/en17225786
Bai W, Lu J, Wang J, Fu X, Fu Y, Huang Y, Wang X, Shi X. Numerical Simulation Study of Salt Cavern CO2 Storage in Power-to-Gas System. Energies. 2024; 17(22):5786. https://doi.org/10.3390/en17225786
Chicago/Turabian StyleBai, Weizheng, Jun Lu, Jian Wang, Xinghui Fu, Yaping Fu, Yashuai Huang, Xiao Wang, and Xilin Shi. 2024. "Numerical Simulation Study of Salt Cavern CO2 Storage in Power-to-Gas System" Energies 17, no. 22: 5786. https://doi.org/10.3390/en17225786
APA StyleBai, W., Lu, J., Wang, J., Fu, X., Fu, Y., Huang, Y., Wang, X., & Shi, X. (2024). Numerical Simulation Study of Salt Cavern CO2 Storage in Power-to-Gas System. Energies, 17(22), 5786. https://doi.org/10.3390/en17225786
 
        


 
       