Selective Recovery of Zinc from Alkaline Batteries via a Basic Leaching Process and the Use of a Machine Learning-Based Digital Twin for Predictive Purposes
Abstract
1. Introduction
2. Materials and Methods
2.1. Black Mass (BM) of Spent Alkaline Batteries
2.2. Characterization of BM, Leachate, and Residual Solid After Leaching
2.3. Basic Leaching
2.4. Neural Network Training and Validation
3. Results and Discussion
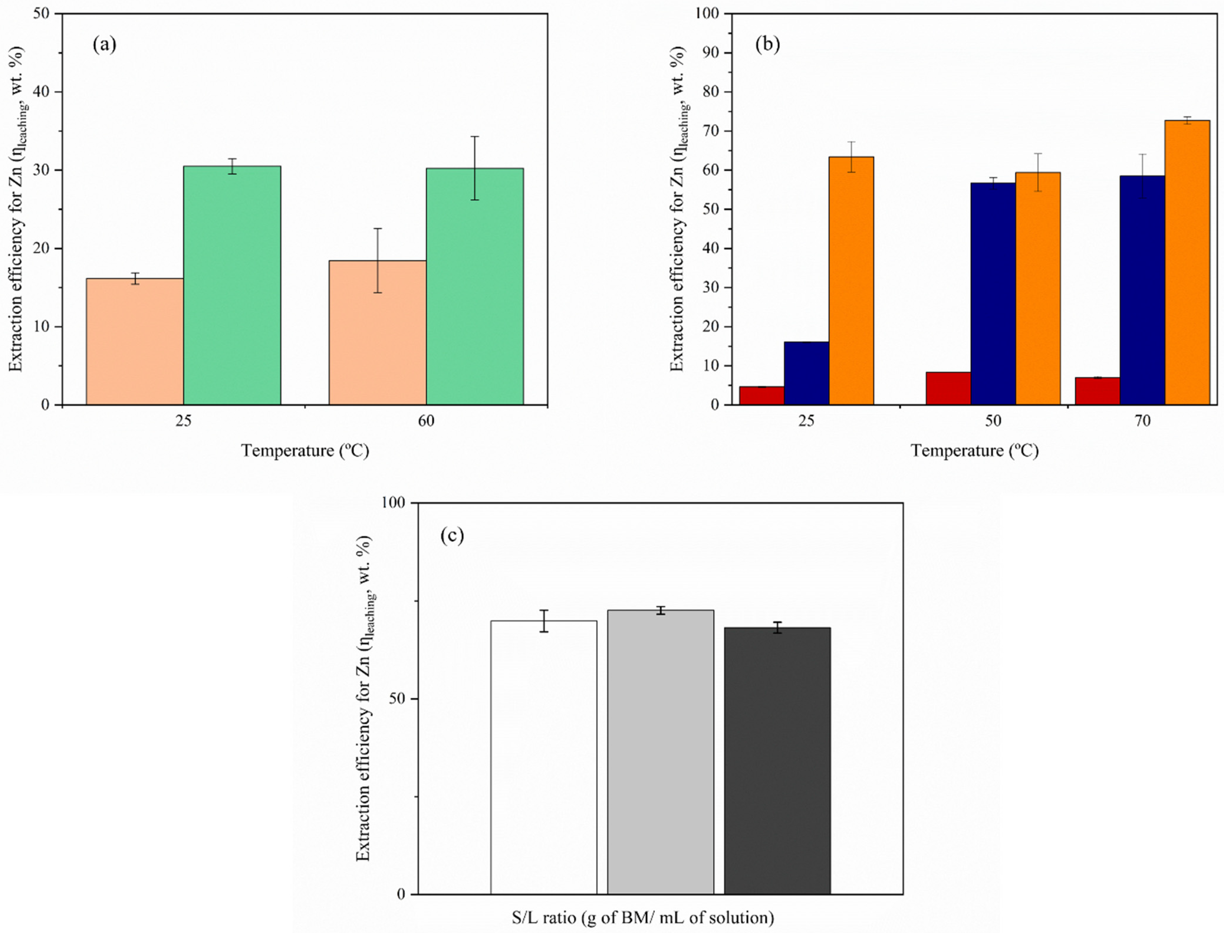
3.1. Zinc Leaching Using NH4OH
3.2. Leaching Using NaOH
3.3. Comparison Between NH4OH and NaOH Leaching
3.4. Neural Network Training and Validation
Ethical Implications of Using AI in the Battery Recycling Industry
3.5. Resarch Limitations and Further Research
4. Conclusions
Supplementary Materials
Author Contributions
Funding
Data Availability Statement
Acknowledgments
Conflicts of Interest
References
- Maryam Sadeghi, S.; Jesus, J.; Soares, H.M.V.M. A critical updated review of the hydrometallurgical routes for recycling zinc and manganese from spent zinc-based batteries. Waste Manag. 2020, 113, 342–350. [Google Scholar] [CrossRef] [PubMed]
- Wu, J. Microscopic principles of chemical engineering after fossil fuels. Resour. Chem. Mater. 2022, 1, 222–229. [Google Scholar] [CrossRef]
- Lee, J.Y.; Pranolo, Y.; Cheng, C.Y.; Zhang, Z.W. The Recovery of Zinc and Manganese from Synthetic Spent-Battery Leach Solutions by Solvent Extraction. Solvent Extr. Ion. Exch. 2010, 28, 73–84. [Google Scholar] [CrossRef]
- Nascimento, M.A.; Cruz, J.C.D.; Reis, M.F.D.; Alpino, C.T.C.; Marcelo, C.R.; Rodrigues, G.D.; Oliveira, A.F.D.; Lopes, R.P. Synthesis of materials produced from spent batteries with environmental application. Quim. Nova. 2020, 43, 1017–1025. [Google Scholar] [CrossRef]
- Bernardes, A.M.; Espinosa, D.C.R.; Tenório, J.A.S. Recycling of batteries: A review of current processes and technologies. J. Power Sources 2004, 130, 291–298. [Google Scholar] [CrossRef]
- Zheng, S.; Chen, T.; Fang, Y.; He, C.; Duan, H.; Ren, S.; Xu, C.C. A Review of Cathode and Electrolyte Recovery from Spent Lithium-Ion Batteries: Recent technologies, processes and policies. Resour. Chem. Mater. 2024, 3, 188–229. [Google Scholar] [CrossRef]
- Lannoo, S.; Vilas-Boas, A.; Sadeghi, S.M.; Jesus, J.; Soares, H.M.V.M. An environmentally friendly closed loop process to recycle raw materials from spent alkaline batteries. J. Clean. Prod. 2019, 236, 117612. [Google Scholar] [CrossRef]
- Maryam Sadeghi, S.; Vanpeteghem, G.; Neto, I.F.F.; Soares, H.M.V.M. Selective leaching of Zn from spent alkaline batteries using environmentally friendly approaches. Waste Manag. 2017, 60, 696–705. [Google Scholar] [CrossRef]
- Abid Charef, S.; Affoune, A.M.; Caballero, A.; Cruz-Yusta, M.; Morales, J. Simultaneous recovery of Zn and Mn from used batteries in acidic and alkaline mediums: A comparative study. Waste Manag. 2017, 68, 518–526. [Google Scholar] [CrossRef]
- Bech, J.; Bini, C.; Pashkevich, M.A. Asessment, Restoration and Reclamation of Mining Influenced Soils; Academic Press: Cambridge, MA, USA, 2017; pp. 1–497. [Google Scholar]
- Muñoz García, N.; Delgado Cano, B.; Valverde, J.L.; Heitz, M.; Avalos Ramirez, A. Extraction and separation of potassium, zinc and manganese issued from spent alkaline batteries by a three-unit hydrometallurgical process. J. Chem. Technol. Biotechnol. 2024, 99, 1553–1563. [Google Scholar] [CrossRef]
- Senanayake, G.; Shin, S.M.; Senaputra, A.; Winn, A.; Pugaev, D.; Avraamides, J.; Sohn, J.S.; Kim, D.J. Comparative leaching of spent zinc-manganese-carbon batteries using sulfur dioxide in ammoniacal and sulfuric acid solutions. Hydrometallurgy 2010, 105, 36–41. [Google Scholar] [CrossRef]
- Buzatu, T.; Popescu, G.; Birloaga, I.; Sâceanu, S. Study concerning the recovery of zinc and manganese from spent batteries by hydrometallurgical processes. Waste Manag. 2013, 33, 699–705. [Google Scholar] [CrossRef]
- Rojek, I.; Macko, M.; Mikołajewski, D.; Sága, M.; Burczyński, T. Modern methods in the field of machine modelling and simulation as a research and practical issue related to Industry 4.0. Bull. Polish. Acad. Sci. Tech. Sci. 2021, 69, e136717. [Google Scholar] [CrossRef]
- Alzubaidi, L.; Zhang, J.; Humaidi, A.J.; Al-Dujaili, A.; Duan, Y.; Al-Shamma, O.; Santamaría, J.; Fadhel, M.A.; Al-Amidie, V.; Farhan, L. Review of deep learning: Concepts, CNN architectures, challenges, applications, future directions. J. Big Data 2021, 8, 53. [Google Scholar] [CrossRef]
- Lee, J.; Davari, H.; Singh, J.; Pandhare, V. Industrial Artificial Intelligence for industry 4.0-based manufacturing systems. Manuf. Lett. 2018, 18, 20–23. [Google Scholar] [CrossRef]
- Feise, H.J.; Schaer, E. Mastering digitized chemical engineering. Educ. Chem. Eng. 2021, 34, 78–86. [Google Scholar] [CrossRef]
- Damour, C.; Benne, M.; Grondin-Perez, B.; Chabriat, J.-P. Nonlinear predictive control based on artificial neural network model for industrial crystallization. J. Food Eng. 2010, 99, 225–231. [Google Scholar] [CrossRef]
- Singh, V.; Gupta, I.; Gupta, H.O. ANN-based estimator for distillation using Levenberg–Marquardt approach. Eng. Appl. Artif. Intell. 2007, 20, 249–259. [Google Scholar] [CrossRef]
- Velásco-Mejía, A.; Vallejo-Becerra, V.; Chávez-Ramírez, A.U.; Torres-González, J.; Reyes-Vidal, Y.; Castañeda-Zaldivar, F. Modeling and optimization of a pharmaceutical crystallization process by using neural networks and genetic algorithms. Powder Technol. 2016, 292, 122–128. [Google Scholar] [CrossRef]
- Yang, M.; Wei, H. Application of a neural network for the prediction of crystallization kinetics. Ind. Eng. Chem. Res. 2006, 45, 70–75. [Google Scholar] [CrossRef]
- Pandey, D.S.; Tech, M. Experimental and Mathematical Modelling of Biowaste Gasification in a Bubbling Fluidised Bed Reactor; University of Limerick: Limerick, Ireland, 2016. [Google Scholar]
- Azzam, M.; Aramouni, N.A.K.; Ahmad, M.N.; Awad, M.; Kwapinski, W.; Zeaiter, J. Dynamic optimization of dry reformer under catalyst sintering using neural networks. Energy Convers. Manag. 2018, 157, 146–156. [Google Scholar] [CrossRef]
- Bagheri, M.; Akbari, A.; Mirbagheri, S.A. Advanced control of membrane fouling in filtration systems using artificial intelligence and machine learning techniques: A critical review. Process Saf. Environ. Prot. 2019, 123, 229–252. [Google Scholar] [CrossRef]
- Niu, B.; Wanga, X.; Xu, Z. Application of machine learning to guide efficient metal leaching from spent lithium-ion batteries and comprehensively reveal the proces parameter influences. J. Clean. Prod. 2023, 410, 137188. [Google Scholar] [CrossRef]
- Badakhshan, E.; Ball, P. Applying digital twins for inventory and cash management in supply chains under physical and financial disruptions. Int. J. Prod. Res. 2023, 61, 5094–5116. [Google Scholar] [CrossRef]
- Xie, X.; Parlikad, A.K.; Puri, R.S. A neural ordinary differential equations based approach for demand forecasting within power grid digital twins. In Proceedings of the 2019 IEEE International Conference on Communications, Control, and Computing Technologies for Smart Grids (SmartGridComm), Beijing, China, 21–23 October 2019; pp. 1–6. [Google Scholar] [CrossRef]
- Friederich, J.; Francis, D.P.; Lazarova-Molnar, S.; Mohamed, N. A framework for data-driven digital twins of smart manufacturing systems. Comput. Ind. 2022, 136, 103586. [Google Scholar] [CrossRef]
- Müller, A.C.; Guido, S. Introduction to Machine Learning with Python: A Guide for Data Scientists; O’Reilly Media, Inc.: Sebastopol, CA, USA, 2016. [Google Scholar]
- Barbero-Sánchez, J.; Megía-Ortega, A.; Ferro, V.R.; Valverde, J.-L. Exploring alternatives to create digital twins from and for process simulation. J. Comput. Sci. Res. 2024, 6, 16–30. [Google Scholar] [CrossRef]
- Hagan, M.T.; Demuth, H.B.; Beale, M. Neural Network Design; PWS Publishing, Co.: Worcester, UK, 1997. [Google Scholar]
- Nanni, L.; Brahnam, S.; Paci, M.; Ghidoni, S. Comparison of different convolutional neural network activation functions and methods for building ensembles for small to midsize medical data sets. Sensors 2022, 22, 6129. [Google Scholar] [CrossRef]
- Tomar, V.S. A Critical Evaluation of Activation Functions for Autoencoder Neural Networks; National College of Ireland: Dublin, Ireland, 2022. [Google Scholar]
- Hagan, M.T.; Menhaj, M.B. Training feedforward networks with the Marquardt algorithm. IEEE Trans. Neural Netw. 1994, 5, 989–993. [Google Scholar] [CrossRef]
- Valverde, J.L.; Ferro, V.R.; Giroir-Fendler, A. Prediction of the solid-liquid equilibrium of ternary and quaternary salt-water systems. Influence of the e-NRTL interaction parameters. Fluid. Phase Equilib. 2023, 572, 113832. [Google Scholar] [CrossRef]
- Valverde, J.L.; Ferro, V.R.; Giroir-Fendler, A. Application of the e-NRTL model to electrolytes in mixed solvents methanol-, ethanol-water, and PEG-water. Fluid. Phase Equilib. 2022, 560, 113516. [Google Scholar] [CrossRef]
- Valverde, J.L.; Ferro, V.R.; Giroir-Fendler, A. Estimation of e-NRTL binary interaction parameters and its impact on the prediction of thermodynamic properties of multicomponent electrolyte systems. Fluid. Phase Equilib. 2022, 551, 113264. [Google Scholar] [CrossRef]
- Moré, J.J. The Levenberg-Marquardt algorithm: Implementation and theory. In Numerical Analysis: Proceedings of the biennial Conference, Dundee, Scotland, 28 June–1 July 1977; Springer: Berlin/Heidelberg, Germany, 2006; pp. 105–116. [Google Scholar]
- Wu, X.; Whitacre, J.F. Reducing Manganese Dissolution in Electrolytic Manganese Dioxide Electrodes in NaOH Electrolyte. J. Electrochem. Soc. 2024, 171, 70542. [Google Scholar] [CrossRef]




| Metal | Concentration (g/kg) |
|---|---|
| Mn | 372.2 |
| Zn | 204.9 |
| K | 45.5 |
| Na | 6.7 |
| Fe | 3.9 |
| Al | 3.7 |
| Ca | 1.2 |
| Cu | 0.6 |
| Factor | Values |
|---|---|
| Leaching agent | NH4OH, NaOH |
| Concentration of the leaching agent (M) | 2, 4 (for NH4OH), 1, 3, 6 (for NaOH) |
| Temperature (°C) | 25, 60 (for NH4OH), 25, 50, 70 (for NaOH) |
| S/L ratio (g of BM/mL of solution) | 1/5, 1/10, 1/20 |
| Dependent Variable (M) | RMSEj | rj2 | RMSEjk | rjk2 | ||
|---|---|---|---|---|---|---|
| K+ (j = 1) | 4.20 × 10−1 | 7.98 × 10−2 | 6.06 × 10−1 | 4.11 × 10−3 | 2.27 × 10−2 | 9.24 × 10−1 |
| Ca++ (j = 2) | 1.13 × 10−6 | 1.31 × 10−4 | 4.20 × 10−2 | 5.97 × 10−8 | 8.64 × 10−5 | 1.72 × 10−1 |
| Na(Al(OH)4) (j = 3) | 2.79 × 10−6 | 2.06 × 10−4 | 6.48 × 10−1 | 2.34 × 10−7 | 1.71 × 10−4 | 6.69 × 10−1 |
| Na2(Cu(OH)4) (j = 4) | 8.49 × 10−10 | 3.59 × 10−6 | 6.26 × 10−1 | 6.99 × 10−11 | 2.96 × 10−6 | 7.30 × 10−1 |
| Na(Fe(OH)4) (j = 5) | 1.10 × 10−9 | 4.09 × 10−6 | 2.26 × 10−1 | 1.52 × 10−10 | 4.36 × 10−6 | 1.61 × 10−1 |
| Na2(Mn(OH)4) (j = 6) | 1.80 × 10−8 | 1.65 × 10−5 | 1.86 × 10−1 | 3.18 × 10−9 | 1.99 × 10−5 | 2.68 × 10−1 |
| Na2(Zn(OH)4) (j = 7) | 6.58 × 10−2 | 3.16 × 10−2 | 9.46 × 10−1 | 1.14 × 10−2 | 3.78 × 10−2 | 9.56 × 10−1 |
Disclaimer/Publisher’s Note: The statements, opinions and data contained in all publications are solely those of the individual author(s) and contributor(s) and not of MDPI and/or the editor(s). MDPI and/or the editor(s) disclaim responsibility for any injury to people or property resulting from any ideas, methods, instructions or products referred to in the content. |
© 2024 by the authors. Licensee MDPI, Basel, Switzerland. This article is an open access article distributed under the terms and conditions of the Creative Commons Attribution (CC BY) license (https://creativecommons.org/licenses/by/4.0/).
Share and Cite
Muñoz García, N.; Valverde, J.L.; Delgado Cano, B.; Heitz, M.; Avalos Ramirez, A. Selective Recovery of Zinc from Alkaline Batteries via a Basic Leaching Process and the Use of a Machine Learning-Based Digital Twin for Predictive Purposes. Energies 2024, 17, 6292. https://doi.org/10.3390/en17246292
Muñoz García N, Valverde JL, Delgado Cano B, Heitz M, Avalos Ramirez A. Selective Recovery of Zinc from Alkaline Batteries via a Basic Leaching Process and the Use of a Machine Learning-Based Digital Twin for Predictive Purposes. Energies. 2024; 17(24):6292. https://doi.org/10.3390/en17246292
Chicago/Turabian StyleMuñoz García, Noelia, José Luis Valverde, Beatriz Delgado Cano, Michèle Heitz, and Antonio Avalos Ramirez. 2024. "Selective Recovery of Zinc from Alkaline Batteries via a Basic Leaching Process and the Use of a Machine Learning-Based Digital Twin for Predictive Purposes" Energies 17, no. 24: 6292. https://doi.org/10.3390/en17246292
APA StyleMuñoz García, N., Valverde, J. L., Delgado Cano, B., Heitz, M., & Avalos Ramirez, A. (2024). Selective Recovery of Zinc from Alkaline Batteries via a Basic Leaching Process and the Use of a Machine Learning-Based Digital Twin for Predictive Purposes. Energies, 17(24), 6292. https://doi.org/10.3390/en17246292

