Influence of Environmental Conditions on the Electrical Parameters of Side Connectors in Glass–Glass Photovoltaic Modules
Abstract
1. Introduction
2. Materials and Methods
- determining the current–voltage characteristics using the Flasher Berger PSL8 (BERGER Lichttechnik GmbH & Co. KG i.L. Pullach, Germany) solar simulator;
- insulation resistance test using the Sonel MIC-2500 m (Sonel, Świdnica, Poland);
- testing of the resistance of PV modules to changing climatic conditions was carried out using a large ACS KeyKratos Plus climatic chamber (ACS, Massa Martana, Italy).
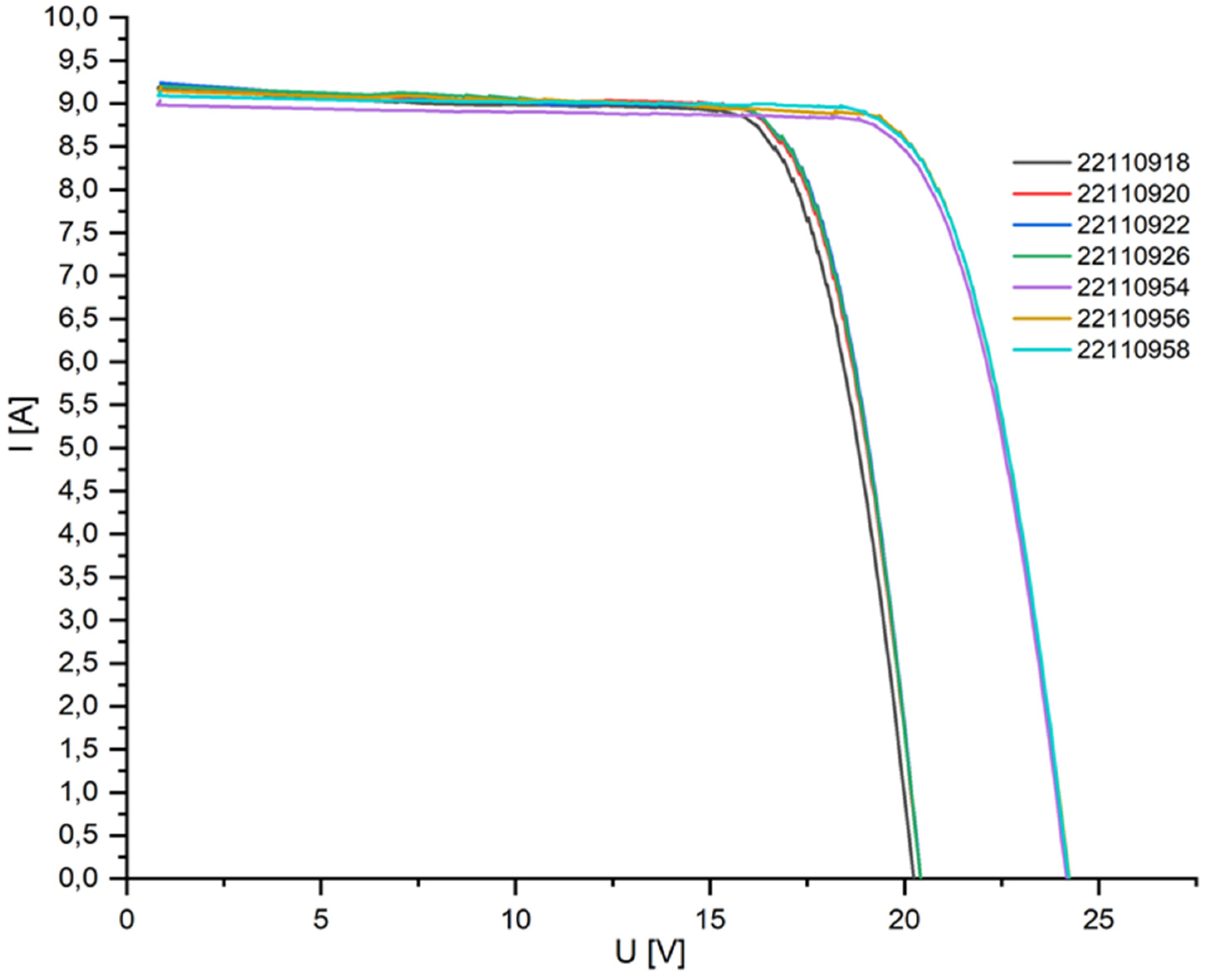
3. Results
- (a)
- I insulation resistance test;
- (b)
- MQT-11 test, several cycles of 6 h each, T: <−40,+85> °C, uncontrolled humidity;
- (c)
- MQT-12 test, several cycles of 24 h each, T: <−40,+85> °C, humidity 85% at T = 85 °C for 20 h;
- (d)
- MQT-13 test, half cycle—20 days;
- (e)
- II insulation resistance test.
- (a)
- a module immersed in water, with the connectors located above the water surface (to eliminate the likelihood of a breakdown occurring on the module itself)—Figure 4a;
- (b)
- module immersed in water with connectors—Figure 4b.

4. Discussion
5. Conclusions
Author Contributions
Funding
Data Availability Statement
Acknowledgments
Conflicts of Interest
References
- Imran, A.; Jiang, J.; Eric, D.; Zahid, M.N.; Yousaf, M.; Ahmad, M.; Hassan, S.A. Efficiency enhancement through flat intermediate band in Quantum dot solar cell. Results Phys. 2018, 10, 241–247. [Google Scholar] [CrossRef]
- Imran, A.; Zhu, Q.; Sulaman, M.; Bukhtiar, A.; Xu, M. Electric-Dipole Gated Two Terminal Phototransistor for Charge-Coupled Device. Adv. Opt. Mater. 2023, 11, 2300910. [Google Scholar] [CrossRef]
- Kumar, N.M.; Chopra, S.S.; Vidal de Oliveira, A.K.; Ahmed, H.; Vaezi, S.; Madukanya, U.E.; Castañón, J.M. Chapter 3—Solar PV module technologies. In Photovoltaic Solar Energy Conversion; Academic Press: Cambridge, MA, USA, 2020; pp. 51–78. [Google Scholar] [CrossRef]
- Sinha, A.; Sulas-Kern, D.B.; Owen-Bellini, M.; Spinella, L.; Uličná, S.; Ayala Pelaez, S.; Johnston, S.; Schelhas, L.T. Glass/glass photovoltaic module reliability and degradation: A review. J. Phys. D Aplik. Fiz. 2021, 54, 413002. [Google Scholar] [CrossRef]
- Gok, A.; Ozkalay, E.; Friesen, G.; Frontini, F. The Influence of Operating Temperature on the Performance of BIPV Modules. IEEE J. Photovolt. 2020, 10, 1371–1378. [Google Scholar] [CrossRef]
- Palacios-Jaimes, G.Y.; Martn-Ramos, P.; Rey-Martnez, F.J.; Fernández-Coppel, I.A. Transformation of a university lecture hall in Valladolid (Spain) into a NZEB: LCA of a BIPV system integrated in its façade. Int. J. Photoenergy 2017, 2017, 2478761. [Google Scholar] [CrossRef]
- Vieira, R.G.; de Araújo, F.M.U.; Dhimish, M.; Guerra, M.I.S. A Comprehensive Review on Bypass Diode Application on Photovoltaic Modules. Energies 2020, 13, 2472. [Google Scholar] [CrossRef]
- Baenas, T.; Machado, M. On the analytical calculation of the solar heat gain coefficient of a BIPV module. Energy Build. 2017, 151, 146–156. [Google Scholar] [CrossRef]
- Directive 2010/31/EU of the European Parliament and of the Council of 19 May 2010 on the energy performance of buildings. Off. J. Eur. Union L153 2010, 13–35.
- Directive 2012/27/EU of the European Parliament and of the Council of 25 October 2012 on energy efficiency. Off. J. Eur. Union L315 2012, 1–56.
- Trattnig, R.; Cattaneo, G.; Voronko, Y.; Eder, G.C.; Moor, D.; Jamschek, F.; Buchsteiner, T. Smart Glass Coatings for Innovative BIPV Solutions. Sustainability 2021, 13, 12775. [Google Scholar] [CrossRef]
- Kwaśnicki, P.; Gronba-Chyła, A.; Generowicz, A.; Ciuła, J.; Wiewiórska, I.; Gaska, K. Alternative method of making electrical connections in the 1st and 3rd generation modules as an effective way to improve module efficiency and reduce production costs. Arch. Thermodyn. 2023, 44, 179–200. [Google Scholar] [CrossRef]
- Kuhn, T.E.; Erban, C.; Heinrich, M.; Eisenlohr, J.; Ensslen, F.; Neuhaus, D.H. Review of technological design options for building integrated photovoltaics (BIPV). Energy Build. 2021, 231, 110381. [Google Scholar] [CrossRef]
- Skoplaki, E.; Palyvos, J.A. Operating temperature of photovoltaic modules: A survey of pertinent correlations. Renew. Energy 2009, 34, 23–29. [Google Scholar] [CrossRef]
- Martín-Chivelet, N.; Polo, J.; Sanz-Saiz, C.; Núñez Benítez, L.T.; Alonso-Abella, M.; Cuenca, J. Assessment of PV Module Temperature Models for Building-Integrated Photovoltaics (BIPV). Sustainability 2022, 14, 1500. [Google Scholar] [CrossRef]
- Martín-Chivelet, N.; Kapsis, K.; Wilson, H.R.; Delisle, V.; Yang, R.; Olivieri, L.; Polo, J.; Eisenlohr, J.; Roy, B.; Maturi, L.; et al. Building-Integrated Photovoltaic (BIPV) products and systems: A review of energy-related behavior. Energy Build. 2022, 262, 111998. [Google Scholar] [CrossRef]
- Lopez-Garcia, J.; Pavanello, D.; Sample, T. Analysis of Temperature Coefficients of Bifacial Crystalline Silicon PV Modules. IEEE J. Photovolt. 2018, 8, 960–968. [Google Scholar] [CrossRef]
- Chang, M.; Chen, C.; Hsueh, C.H.; Hsieh, W.J.; Yen, E.; Ho, K.L.; Chuang, H.P.; Lee, C.Y.; Chen, H. The reliability investigation of PV junction box based on 1GW worldwide field database. In Proceedings of the 2015 IEEE 42nd Photovoltaic Specialist Conference (PVSC), New Orleans, LA, USA, 14–19 June 2015. [Google Scholar] [CrossRef]
- Kim, J.; Rabelo, M.; Padi, S.P.; Yousuf, H.; Cho, E.-C.; Yi, J. A Review of the Degradation of Photovoltaic Modules for Life Expectancy. Energies 2021, 14, 4278. [Google Scholar] [CrossRef]
- Review of Failures of Photovoltaic Modules, from Photovoltaic Power System Program Task 13 Report No. IEA-PVPS T13-0l. 2014. Available online: https://iea-pvps.org/wp-content/uploads/2020/01/IEA-PVPS_T13-01_2014_Review_of_Failures_of_Photovoltaic_Modules_Final.pdf (accessed on 1 March 2014).
- Shin, W.G.; Ko, S.W.; Song, H.J.; Ju, Y.C.; Hwang, H.M.; Kang, G.H. Origin of Bypass Diode Fault in c-Si Photovoltaic Modules: Leakage Current under High Surrounding Temperature. Energies 2018, 11, 2416. [Google Scholar] [CrossRef]
- Pillai, D.S.; Rajasekar, N. A comprehensive review on protection challenges and fault diagnosis in PV systems. Renew. Sustain. Energy Rev. 2018, 91, 18–40. [Google Scholar] [CrossRef]
- Jordania, D.C.; Silverman, T.J.; Wohlgemuth, J.H. Kurtz, Photovoltaic failure and degradation modes. Prog. Photovolt. Res. Appl. 2017, 25, 318–326. [Google Scholar] [CrossRef]
- Analysis of Junction Box on Silicon Photovoltaic Modules Based on Finite Element Analysis. IEEE J. Photovolt. 2019, 9, 1716–1720. [CrossRef]
- Aghaei, M.; Fairbrother, A.; Gok, A.; Ahmad, S.; Kazim, S.; Lobato, K.; Oreski, G.; Reinders, A.; Schmitz, J.; Theelen, M.; et al. Review of degradation and failure phenomena in photovoltaic modules. Renew. Sustain. Energy Rev. 2022, 159, 112160. [Google Scholar] [CrossRef]
- Winston, D.P. Design of Sustainable PV Module for Efficient Power Generation During Faults. IEEE Trans. Compon. Packag. Manuf. Technol. 2020, 10, 389–392. [Google Scholar] [CrossRef]
- Tsanakas, J.A.; van der Heide, A.; Radavičius, T.; Denafas, J.; Lemaire, E.; Wang, K.; Poortmans, J.; Voroshazi, E. Towards a circular supply chain for PV modules: Review of today’s challenges in PV recycling, refurbishment and re-certification. Prog. Photovolt. Res. Appl. 2020, 28, 454–464. [Google Scholar] [CrossRef]
- Amoruso, F.M.; Schuetze, T. Carbon Life Cycle Assessment and Costing of Building Integrated Photovoltaic Systems for Deep Low-Carbon Renovation. Sustainability 2023, 15, 9460. [Google Scholar] [CrossRef]
- Virtuani, A. Solar Module Technology. In Solar Cells and Modules; Springer Series in Materials Science; Shah, A., Ed.; Springer: Cham, Switzerland, 2020; p. 301. [Google Scholar] [CrossRef]
- Wirth, H. Chapter Three—Crystalline Silicon PV Module Technology. Semicond. Semimet. 2013, 89, 135–197. [Google Scholar] [CrossRef]
- Thorat, P.M.; Waghmare, S.P.; Sinha, A.; Kumar, A.; TamizhMani, G. Reliability Analysis of Field-aged Glass/Glass PV Modules: Influence of Different Encapsulant Types. In Proceedings of the 2020 47th IEEE Photovoltaic Specialists Conference (PVSC) Calgary, Calgary, ON, Canada, 15 June–21 August 2020; pp. 1816–1822. [Google Scholar] [CrossRef]
- Muehleisen, W.; Loeschnig, J.; Feichtner, M.; Burgers, A.R.; Bende, E.E.; Zamini, S.; Yerasimou, Y.; Kosel, J.; Hirschl, C.; Georghiou, G.E. Energy yield measurement of an elevated PV system on a white flat roof and a performance comparison of monofacial and bifacial modules. Renew. Energy 2021, 170, 613–619. [Google Scholar] [CrossRef]
- Whitfield, K. 10—Degradation Processes and Mechanisms of PV System Adhesives/Sealants and Junction Boxes. In Durability and Reliability of Polymers and Other Materials in Photovoltaic Modules; William Andrew Publishing: Norwich, NY, USA, 2019; pp. 235–254. [Google Scholar] [CrossRef]
- Hadjidj, M.S.; Bibi-Triki, N.; Didi, F. Analysis of the reliability of photovoltaic-microwind based hybrid power system with battery storage for optimized electricity generation at Tlemcen, north west Algeria. Aarchives Thermodyn. 2019, 40, 161–185. [Google Scholar] [CrossRef]
- Katoch, M.; Dahiya, V.; Yadav, S.K. The performance analysis of dusty photovoltaic panel. Arch. Thermodyn. 2023, 44, 49–68. [Google Scholar] [CrossRef]
- Falvo, M.C.; Capparella, S. Safety issues in PV systems: Design choices for a secure fault detection and for preventing fire risk. Case Stud. Fire Saf. 2015, 3, 1–16. [Google Scholar] [CrossRef]
- Köntges, M.; Kurtz, S.; Packard, C.E.; Jahn, U.; Berger, K.; Kato, K.; Friesen, T.; Liu, H.; Van Iseghem, M.; Wohlgemuth, J.; et al. Review of Failures of Photovoltaic Modules. Technical Report UNSPECIFIED. 2014. Available online: http://repository.supsi.ch/id/eprint/9645 (accessed on 15 December 2023).
- Gagliardi, M.; Paggi, M. Multiphysics analysis of backsheet blistering in photovoltaic modules. Sol. Energy 2019, 183, 512–520. [Google Scholar] [CrossRef]
- Munoz, M.A.; Alonso-García, M.C.; Vela, N.; Chenlo, F. Early degradation of silicon PV modules and guaranty conditions. Sol. Energy 2011, 859, 2264–2274. [Google Scholar] [CrossRef]
- Chattopadhyay, S.; Dubey, R.; Kuthanazhi, V.; John, J.J.; Solanki, C.S.; Kottantharayil, A.; Arora, B.M. Visual degradation in field-aged crystalline silicon PV modules in India and correlation with electrical degradation. IEEE J. Photovolt. 2014, 4, 1470–1476. [Google Scholar] [CrossRef]
- Köntges, M.; Oreski, G.; Jahn, U.; Herz, M.; Hacke, P.; Weiß, K.A. Assessment of Photovoltaic Module Failures in the Field: International Energy Agency Photovoltaic Power Systems Programme: IEA PVPS Task 13, Subtask 3: Report IEA-PVPS T13-09: 2017; International Energy Agency: Paris, France, 2017. [Google Scholar]
- Halwachs, M.; Neumaier, L.; Vollert, N.; Maul, L.; Dimitriadis, S.; Voronko, Y.; Eder, G.C.; Omazic, A.; Mühleisen, W.; Hirschl Ch Schwark, M.; et al. Statistical evaluation of PV system performance and failure data among different climate zones. Renew. Energy 2019, 139, 1040–1060. [Google Scholar] [CrossRef]
- Kirsten Vidal de Oliveira, K.; Aghaei, M.; Rüther, R. Aerial infrared thermography for low-cost and fast fault detection in utility-scale PV power plants. Sol. Energy 2020, 211, 712–724. [Google Scholar] [CrossRef]
- Grimaccia, F.; Leva, S.; Dolara, A.; Aghaei, M. Survey on PV modules’ common faults after an O&M flight extensive campaign over different plants in Italy. IEEE J. Photovolt. 2017, 7, 810–816. [Google Scholar] [CrossRef]
- Moradi, A.M.; Aghaei, M.; Esmailifar, S.M. A deep convolutional encoder-decoder architecture for autonomous fault detection of PV plants using multi-copters solar energy. Sol. Energy 2021, 223, 217–228. [Google Scholar] [CrossRef]
- Kalejs, J. Junction box wiring and connector durability issues in photovoltaic modules. In Reliability of Photovoltaic Cells, Modules, Components, and Systems VII; SPIE: Bellingham, WA, USA, 2014; pp. 157–162. [Google Scholar] [CrossRef]
- Lv, S.; Zhang, M.; Lai, Y.; Wu, Y.; Deng, J.; Guo, Y.; Feng, M.; Shi, G.; Zhang, B.; Ren, J.; et al. Comparative analysis of photovoltaic thermoelectric systems using different photovoltaic cells. Appl. Therm. Eng. 2023, 235, 121356. [Google Scholar] [CrossRef]
- Kim, M.-S.; Kim, D.-H.; Kim, H.-J.; Prabakar, K. A Novel Strategy for Monitoring a PV Junction Box Based on LoRa in a 3 kW Residential PV System. Electronics 2022, 11, 709. [Google Scholar] [CrossRef]
- Al Mahdi, H.; Leahy, P.G.; Alghoul, M.; Morrison, A.P. A Review of Photovoltaic Module Failure and Degradation Mechanisms: Causes and Detection Techniques. Solar 2024, 4, 43–82. [Google Scholar] [CrossRef]
- Madeti, S.R.; Singh, S. A comprehensive study on different types of faults and detection techniques for solar photovoltaic system. Sol. Energy 2017, 158, 161–185. [Google Scholar] [CrossRef]
- Osmani, K.; Haddad, A.; Lemenand, T.; Castanier, B.; Alkhedher, M.; Ramadan, M. Krytyczny przegląd usterek systemów PV z odpowiednimi metodami wykrywania. Energy Nexus 2023, 12, 100257. [Google Scholar] [CrossRef]
- PN-EN-61215-2; Photovoltaic (PV) Modules for Terrestrial Applications—Construction Qualification and Type Approval—Part 2: Test Methods. IEC: Geneva, Switzerland, 2021.




| Number | 22110956 | 22110926 | 22110922 | 22110918 | 22110920 | 22110954 | 22110958 | 
|---|---|---|---|---|---|---|---|
| Dimension of the PV module | 1035 × 1050 mm | 1035 × 885 mm | 1035 × 885 mm | 1035 × 885 mm | 1035 × 885 mm | 1035 × 1050 mm | 1035 × 1050 mm | 
| Lamination foil | 
| Module Number | Insulation Resistance Measurements | |||||
|---|---|---|---|---|---|---|
| R-ISO 1 Kv Dry | R-ISO 2.5 kV Dry | R-ISO 1 kV Wet | R-ISO 2.5 kV Wet | |||
| R-ISO 1 kV Wet (M/2) | R-ISO 2.5 kV Wet (M/2) | |||||
| 22110956 | 2.590 [GΩ] | 1.355 [GΩ] | 1.809 [GΩ] | 1.860 [GΩ] | 848.7 [MΩ] | electrical breakdown | 
| 22110926 | 19.32 [GΩ] | 5.035 [GΩ] | 1.102 [GΩ] | 1.103 [GΩ] | 1.001 [GΩ] | electrical breakdown | 
| 22110922 | 15.24 [GΩ] | 4.290 [GΩ] | 1.156 [GΩ] | 1.232 [GΩ] | electrical breakdown | electrical breakdown | 
| 22110918 | 30.3 [GΩ] | 7.628 [GΩ] | 1.301 [GΩ] | 1.297 [GΩ] | 599.6 [MΩ] | electrical breakdown | 
| 22110920 | 19.40 [GΩ] | 9.142 [GΩ] | 1.342 [GΩ] | 1.378 [GΩ] | 568.1 [MΩ] | 596.7 [MΩ] | 
| 22110954 | 7.649 [GΩ] | 2.810 [GΩ] | 834.6 [MΩ] | 868.0 [MΩ] | 426.8 [MΩ] | electrical breakdown | 
| 22110958 | 9.049 [GΩ] | 2.648 [GΩ] | 865.9 [MΩ] | 866.2 [MΩ] | 430.1 [MΩ] | 450.2 [MΩ] | 
| Type of Measurement | Module Serial Number | |
|---|---|---|
| 22110958 | 22110920 | |
| Insulation Resistance [GΩ] | ||
| “dry” | 2.347 GΩ | 1.46 GΩ | 
| “wet”—connectors above the water surface | 808 MΩ | 524.9 MΩ | 
| “wet” connectors completely immersed in water | 19.71 kΩ | 195.3 k OΩ | 
| Disclaimer/Publisher’s Note: The statements, opinions and data contained in all publications are solely those of the individual author(s) and contributor(s) and not of MDPI and/or the editor(s). MDPI and/or the editor(s) disclaim responsibility for any injury to people or property resulting from any ideas, methods, instructions or products referred to in the content. | 
© 2024 by the authors. Licensee MDPI, Basel, Switzerland. This article is an open access article distributed under the terms and conditions of the Creative Commons Attribution (CC BY) license (https://creativecommons.org/licenses/by/4.0/).
Share and Cite
Barbusiński, K.; Kwaśnicki, P.; Gronba-Chyła, A.; Generowicz, A.; Ciuła, J.; Szeląg, B.; Fatone, F.; Makara, A.; Kowalski, Z. Influence of Environmental Conditions on the Electrical Parameters of Side Connectors in Glass–Glass Photovoltaic Modules. Energies 2024, 17, 680. https://doi.org/10.3390/en17030680
Barbusiński K, Kwaśnicki P, Gronba-Chyła A, Generowicz A, Ciuła J, Szeląg B, Fatone F, Makara A, Kowalski Z. Influence of Environmental Conditions on the Electrical Parameters of Side Connectors in Glass–Glass Photovoltaic Modules. Energies. 2024; 17(3):680. https://doi.org/10.3390/en17030680
Chicago/Turabian StyleBarbusiński, Krzysztof, Paweł Kwaśnicki, Anna Gronba-Chyła, Agnieszka Generowicz, Józef Ciuła, Bartosz Szeląg, Francesco Fatone, Agnieszka Makara, and Zygmunt Kowalski. 2024. "Influence of Environmental Conditions on the Electrical Parameters of Side Connectors in Glass–Glass Photovoltaic Modules" Energies 17, no. 3: 680. https://doi.org/10.3390/en17030680
APA StyleBarbusiński, K., Kwaśnicki, P., Gronba-Chyła, A., Generowicz, A., Ciuła, J., Szeląg, B., Fatone, F., Makara, A., & Kowalski, Z. (2024). Influence of Environmental Conditions on the Electrical Parameters of Side Connectors in Glass–Glass Photovoltaic Modules. Energies, 17(3), 680. https://doi.org/10.3390/en17030680
 
        





 
       