The Impact of Soil Contamination with Lead on the Biomass of Maize Intended for Energy Purposes, and the Biochemical and Physicochemical Properties of the Soil
Abstract
1. Introduction
2. Materials and Methods
2.1. Study Design
2.2. Calculations and Statistical Methods
3. Results
3.1. Energy Value of the Biomass of Maize Grown on Soil Contaminated with Lead
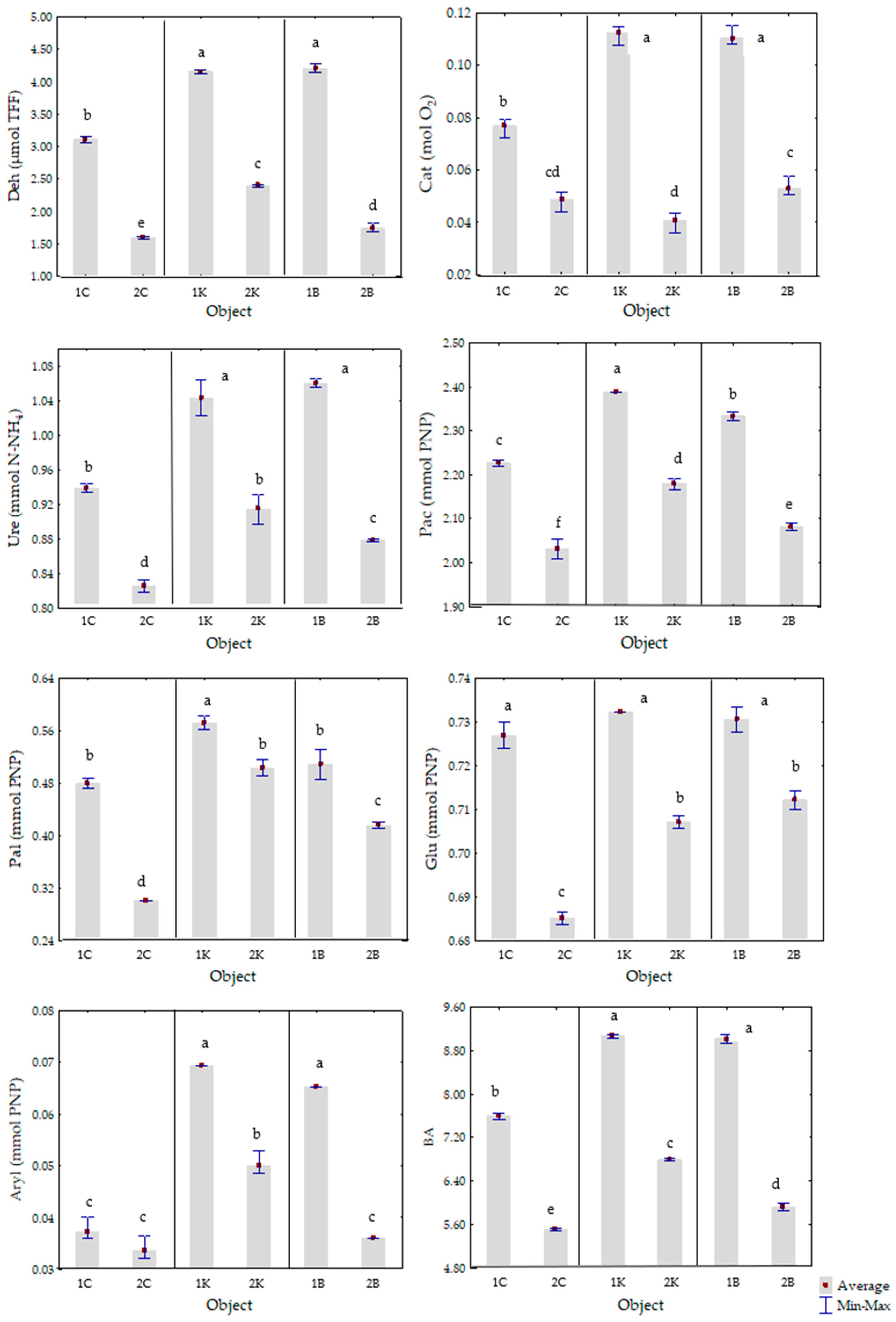
3.2. Effect of Lead on the Enzymatic Activity and Chemical and Physicochemical Properties of Soil
3.3. Interactions between Soil Contamination with Lead and Maize Biomass, Enzymatic Activity, Chemical and Physicochemical Properties of Soil
4. Discussion
4.1. Effect of Lead on Parameters Associated with Plant Growth
4.2. Effect of Lead on the Enzymatic Activity and Chemical and Physicochemical Properties of Soil
5. Conclusions
Author Contributions
Funding
Data Availability Statement
Conflicts of Interest
References
- Younis, U.; Danish, S.; Malik, S.A.; Ahmed, N.; Munir, T.M.; Rasheed, M.K. Role of cotton sticks biochar in immobilization of nickel under induced toxicity condition and growth indices of Trigonella corniculata L. Environ. Sci. Pollut. Res. 2020, 27, 1752–1761. [Google Scholar] [CrossRef] [PubMed]
- Shah, A.A.; Bibi, F.; Hussain, I.; Yasin, N.A.; Akram, W.; Tahir, M.S.; Ali, H.M.; Salem, M.Z.M.; Siddiqui, M.H.; Danish, S.; et al. Synergistic Effect of Bacillus thuringiensis IAGS 199 and putrescine on alleviating cadmium-induced phytotoxicity in Capsicum annum. Plants 2020, 9, 1512. [Google Scholar] [CrossRef] [PubMed]
- Zafar-ul-Hye, M.; Naeem, M.; Danish, S.; Khan, M.J.; Fahad, S.; Datta, R.; Brtnicky, M.; Kintl, A.; Hussain, G.S.; El-Esawi, M.A. Effect of Cadmium-tolerant rhizobacteria on growth attributes and chlorophyll contents of bitter gourd under cadmium toxicity. Plants 2020, 9, 1386. [Google Scholar] [CrossRef] [PubMed]
- Zafar-ul-Hye, M.; Tahzeeb-ul-Hassan, M.; Abid, M.; Fahad, S.; Brtnicky, M.; Dokulilova, T.; Datta, R.; Danish, S. Potential role of compost mixed biochar with rhizobacteria in mitigating lead toxicity in spinach. Sci. Rep. 2020, 10, 12159. [Google Scholar] [CrossRef] [PubMed]
- Zafar-ul-Hye, M.; Tahzeeb-ul-Hassan, M.; Wahid, A.; Danish, S.; Khan, M.J.; Fahad, S.; Brtnicky, M.; Hussain, G.S.; Battaglia, M.L.; Datta, R. Compost mixed fruits and vegetable waste biochar with ACC deaminase rhizobacteria can minimize lead stress in mint plants. Sci. Rep. 2021, 11, 6606. [Google Scholar] [CrossRef] [PubMed]
- Shi, T.; Ma, J.; Zhang, Y.; Liu, C.; Hu, Y.; Gong, Y.; Wu, X.; Ju, T.; Hou, H.; Zhao, L. Status of lead accumulation in agricultural soils across China (1979–2016). Environ. Int. 2019, 129, 35–41. [Google Scholar] [CrossRef] [PubMed]
- Abedi, T.; Gavanji, S.; Mojiri, A. Lead and zinc uptake and toxicity in maize and their management. Plants 2022, 11, 1922. [Google Scholar] [CrossRef] [PubMed]
- Adler, A.; Devarajan, N.; Wildi, W.; Poté, J. Metal distribution and characterization of cultivable lead-resistant bacteria in shooting range soils. Soil Sediment Contam. 2016, 25, 378–394. [Google Scholar] [CrossRef]
- Fu, F.L.; Wang, Q. Removal of heavy metal ions from wastewaters: A review. J. Environ. Manag. 2011, 92, 407–418. [Google Scholar] [CrossRef]
- Deng, Z.J.; Cao, L.X.; Zhang, R.D.; Wang, W.F.; Shi, Y.; Tan, H.M.; Wang, Z.Y.; Cao, L.X. Enhanced phytoremediation of multi-metal contaminated soils by interspecific fusion between the protoplasts of endophytic Mucor sp. CBRF59 and Fusarium sp. CBRF14. Soil Biol. Biochem. 2014, 77, 31–40. [Google Scholar] [CrossRef]
- Ma, X.L.; Zuo, H.; Tian, M.J.; Zhang, L.Y.; Meng, J.; Zhou, X.N.; Min, N.; Chang, X.Y.; Liu, Y. Assessment of heavy metals contamination in sediments from three adjacent regions of the Yellow River using metal chemical fractions and multivariate analysis techniques. Chemosphere 2016, 144, 264–272. [Google Scholar] [CrossRef]
- Ahmadi, M.; Jorfi, S.; Azarmansuri, A.; Jaafarzadeh, N.; Mahvi, A.H.; Soltani, R.D.C.; Akbari, H.; Akhbarizadeh, R. Zoning of heavy metal concentrations including Cd, Pb and As in agricultural soils of Aghili plain, Khuzestan province. Iran. Data Br. 2017, 14, 20–27. [Google Scholar] [CrossRef] [PubMed]
- Tóth, G.; Hermann, T.; Da Silva, M.R.; Montanarella, L. Heavy metals in agricultural soils of the European Union with implications for food safety. Environ. Int. 2016, 88, 299–309. [Google Scholar] [CrossRef] [PubMed]
- Usman, K.; Abu-Dieyeh, M.H.; Zouari, N.; Al-Ghouti, M.A. Lead (Pb) bioaccumulation and antioxidative responses in Tetraena qataranse. Sci. Rep. 2020, 10, 17070. [Google Scholar] [CrossRef]
- Reeves, R.D.; Baker, A.J.; Jaffré, T.; Erskine, P.D.; Echevarria, G.; van Der Ent, A. A global database for plants that hyperaccumulate metal and metalloid trace elements. New Phytol. 2018, 218, 407–411. [Google Scholar] [CrossRef] [PubMed]
- Orhue, E.R.; Ekhomun, A.M. Chromium effects on growth of early water leaf (Talinum triangulare) in an Ulitisol. Am.-Eurasian J. Agric. Environ. 2010, 7, 586–590. [Google Scholar]
- Naseem, S.; Yasin, M.; Ahmed, A.; Faisal, M. Chromium accumulation and toxicity in corn (Zea mays L.) seedlings. Pol. J. Environ. Stud. 2015, 24, 899–904. [Google Scholar]
- Akhtar, S.; Iram, S. In-vitro assessment of heavy metal removal from contaminated agricultural soil by native plant species. Pak. J. Anal. Environ. Chem. 2017, 18, 120–128. [Google Scholar] [CrossRef]
- Kanwal, A.; Farhan, M.; Sharif, F.; Hayyat, M.U.; Shahzad, L.; Ghafoor, G.Z. Effect of industrial wastewater on wheat germination, growth, yield, nutrients and bioaccumulation of lead. Sci. Rep. 2020, 10, 11361. [Google Scholar] [CrossRef]
- García-Delgado, C.; Fresno, T.; Rodríguez-Santamaría, J.J.; Diaz, E.; Mohedano, A.F.; Moreno-Jimenez, E. Co-application of activated carbon and compost to contaminated soils: Toxic elements mobility and PAH degradation and availability. Int. J. Environ. Sci. Technol. 2019, 16, 1057–1068. [Google Scholar] [CrossRef]
- Diaconu, M.; Pavel, L.V.; Hlihor, R.M.; Rosca, M.; Fertu, D.I.; Lenz, M.; Corvini, P.X.; Gavrilescu, M. Characterization of heavy metal toxicity in some plants and microorganisms-A preliminary approach for environmental bioremediation. New Biotechnol. 2020, 56, 130–139. [Google Scholar] [CrossRef]
- Hu, Z.H.; Zhuo, F.; Jing, S.H.; Li, X.; Yan, T.X.; Lei, L.L.; Lu, R.R.; Zhang, X.F.; Jing, Y.X. Combined application of arbuscular mycorrhizal fungi and steel slag improves plant growth and reduces Cd, Pb accumulation in Zea mays. Int. J. Phytoremediat. 2019, 21, 857–865. [Google Scholar] [CrossRef]
- Meng, J.; Cui, Z.H.; Zhang, H.L.; Zhang, J.; Tang, X.J.; Wong, M.H.; Shan, S.D. Combined effects of arbuscular mycorrhizae fungus and composted pig manure on the growth of ryegrass and uptake of Cd and Zn in the soil from an e-waste recycling site. Environ. Sci. Pollut. Res. 2020, 28, 12677–12685. [Google Scholar] [CrossRef] [PubMed]
- Jiang, J.; Xu, R.K.; Jiang, T.Y.; Li, Z. Immobilization of Cu(II), Pb(II) and Cd(II) by the addition of rice straw derived biochar to a simulated polluted Ultisol. J. Hazard. Mater. 2012, 229, 145–150. [Google Scholar] [CrossRef] [PubMed]
- Lahori, A.H.; Guo, Z.; Zhang, Z.; Li, R.; Mahar, A.; Awasthi, M.K.; Shen, F.; Kumbhar, F.; Sial, T.A.; Kumbhar, F.; et al. Use of biochar as an amendment for remediation of heavy metal contaminated soils: Prospects and challenges. Pedosphere 2017, 27, 991–1014. [Google Scholar] [CrossRef]
- Zama, E.F.; Reid, B.J.; Arp, H.P.H.; Sun, G.X.; Yuan, H.Y.; Zhu, Y.G. Advances in research on the use of biochar in soil for remediation: A review. J. Soils Sediments 2018, 18, 2433–2450. [Google Scholar] [CrossRef]
- Li, H.; Dong, X.; da Silva, E.B.; de Oliveira, L.M.; Chen, Y.; Ma, L.Q. Mechanisms of metal sorption by biochars: Biochar characteristics and modifications. Chemosphere 2017, 178, 466–478. [Google Scholar] [CrossRef]
- Liu, L.; Hu, L.L.; Tang, J.J.; Li, Y.F.; Zhang, Q.; Chen, X. Food safety assessment of planting patterns of four vegetable-type crops grown in soil contaminated by electronic waste activities. J. Environ. Manag. 2012, 93, 22–30. [Google Scholar] [CrossRef]
- Al-Wabel, M.I.; Usman, A.R.A.; El-Naggar, A.H.; Aly, A.A.; Ibrahim, H.M.; Elmaghraby, S.; Al-Omran, A. Conocarpus biochar as a soil amendment for reducing heavy metal availability and uptake by maize plants. Saudi J. Biol. Sci. 2015, 22, 503–511. [Google Scholar] [CrossRef]
- Borowik, A.; Wyszkowska, J.; Zaborowska, M.; Kucharski, J. The impact of permethrin and cypermethrin on plants, soil enzyme activity, and microbial communities. Int. J. Mol. Sci. 2023, 24, 2892. [Google Scholar] [CrossRef]
- Qu, J.; Li, Z.; Bi, F.; Zhang, Y. A multiple Kirkendall strategy for converting nanosized zero-valent iron to highly active Fenton-like catalyst for organics degradation. Proc. Natl. Acad. Sci. USA 2023, 120, e2304552120. [Google Scholar] [CrossRef] [PubMed]
- Report. International Biochar Initiative. Available online: http://www.biochar-international.org/biochar (accessed on 10 May 2012).
- Cely, P.; Gascó, G.; Paz-Ferreiro, J.; Méndez, A. Agronomic properties of biochars from different manure wastes. J. Anal. Appl. Pyrolysis 2015, 111, 173–182. [Google Scholar] [CrossRef]
- Tomczyk, A.; Sokołowska, Z.; Boguta, P. Biochar physicochemical properties: Pyrolysis temperature and feedstock kind effects. Rev. Environ. Sci. Biotechnol. 2020, 19, 191–215. [Google Scholar] [CrossRef]
- Lu, S.; Zong, Y. Pore structure and environmental serves of biochars derived from different feedstocks and pyrolysis conditions. Environ. Sci. Pollut. Res. Int. 2018, 25, 30401–30409. [Google Scholar] [CrossRef] [PubMed]
- Jindo, K.; Mizumoto, H.; Sawada, Y.; Sanchez-Monedero, M.A.; Sonoki, T. Physical and chemical characterization of biochars derived from different agricultural residues. Biogeosciences 2014, 11, 6613–6621. [Google Scholar] [CrossRef]
- Jasinskas, A.; Petlickaite, R.; Jotautiene, E.; Lemanas, E.; Soucek, J. Assessment of energy properties of maize and multi-crop pellets and environmental impact of their combustion. In Proceedings of the 21st International Scientific Conference Engineering for Rural Development, Jelgava, Latvia, 25–27 May 2022. [Google Scholar] [CrossRef]
- Jacob, J.M.; Karthik, C.; Saratale, R.G.; Kumar, S.S.; Prabakar, D.; Kadirvelu, K. Biological approaches to tackle heavy metal pollution: A survey of literature. J. Environ. Manag. 2018, 217, 56–70. [Google Scholar] [CrossRef] [PubMed]
- Usman, K.; Al-Ghouti, M.A.; Abu-Dieyeh, M.H. The assessment of cadmium, chromium, copper, and nickel tolerance and bioaccumulation by shrub plant Tetraena qataranse. Sci. Rep. 2019, 9, 5658. [Google Scholar] [CrossRef]
- Wuana, R.A.; Okieimen, F.E. Heavy metals in contaminated soils: A review of sources, chemistry, risks and best available strategies for remediation. ISRN Ecol. 2011, 2011, 402647. [Google Scholar] [CrossRef]
- Zbytek, Z.; Dach, J.; Pawłowski, T.; Smurzyńska, A.; Czekała, W.; Janczak, D. Energy and economic potential of maize straw used for biofuels production. MATEC Web Conf. 2016, 60, 04008. [Google Scholar] [CrossRef]
- Šarauskis, E.; Buragienė, S.; Masilionytė, L.; Romaneckas, K.; Avižienytė, D.; Sakalauskas, A. Energy balance, costs and CO2 analysis of tillage technologies in maize cultivation. Energy 2014, 69, 227–235. [Google Scholar] [CrossRef]
- Regulation of the Minister of the Environment of 1 September 2016 Applicable in Poland (Journal of Laws Item 1395). Available online: https://ietu.pl/en/services/site-contamination-assessment/ (accessed on 7 October 2023).
- Seleiman, M.F.; Kheir, A.M. Saline soil properties, quality and productivity of wheat grown with bagasse ash and thiourea in different climatic zones. Chemosphere 2018, 193, 538–546. [Google Scholar] [CrossRef]
- Bello-Pérez, L.A.; Flores-Silva, P.C.; Sifuentes-Nieves, I.; Agama-Acevedo, E. Controlling starch digestibility and glycaemic response in maize-based foods. J. Cereal Sci. 2021, 99, 103222. [Google Scholar] [CrossRef]
- Öhlinger, R. Dehydrogenase activity with the substrate TTC. In Methods in Soil Biology; Schinner, F., Ohlinger, R., Kandler, E., Margesin, R., Eds.; Springer: Berlin/Heidelberg, Germany, 1996; pp. 241–243. [Google Scholar]
- Johnson, J.L.; Temple, K.L. Some variables affecting the measurement of “catalase activity” in soil. Soil Sci. Soc. Am. J. 1964, 28, 207–209. [Google Scholar] [CrossRef]
- Alef, K.; Nannipieri, P. (Eds.) Methods in Applied Soil Microbiology and Biochemistry; Academic London: London, UK, 1988; pp. 316–365. [Google Scholar]
- Carter, M.R. Soil Sampling and Methods of Analysis; Canadian Society of Soil Science; Lewis Publishers: London, UK, 1993. [Google Scholar]
- Klute, A. Methods of Soil Analysis; Agronomy Monograph 9; American Society of Agronomy: Madison, WI, USA, 1996. [Google Scholar]
- ISO 18125:2017-07; Solid Biofuels—Determination of Calorific Value. European Committee for Standardization: Brussels, Belgium, 2010. Available online: https://pkn.pl/pn-en-iso-18125-2017-07 (accessed on 10 October 2023).
- Wyszkowska, J.; Boros-Lajszner, E.; Kucharski, J. Calorific value of Festuca rubra biomass in the phytostabilization of soil contaminated with nickel, cobalt and cadmium which disrupt the microbiological and biochemical properties of soil. Energies 2022, 15, 3445. [Google Scholar] [CrossRef]
- Wyszkowska, J.; Borowik, A.; Zaborowska, M.; Kucharski, J. The usability of sorbents in restoring enzymatic activity in soils polluted with petroleum-derived products. Materials 2023, 16, 3738. [Google Scholar] [CrossRef] [PubMed]
- Zaborowska, M.; Wyszkowska, J.; Borowik, A.; Kucharski, J. Effect of separate and combined toxicity of bisphenol A and zinc on the soil microbiome. Int. J. Mol. Sci. 2022, 23, 5937. [Google Scholar] [CrossRef] [PubMed]
- Kopetz, H.; Jossart, J.; Ragossnig, H.; Metschina, C. European Biomass Statistics 2007; European Biomass Association: Brussels, Belgium, 2007. [Google Scholar]
- TIBCO Software Inc. Statistica (Data Analysis Software System), Version 13. 2017. Available online: http://statistica.io (accessed on 23 November 2023).
- Irfan, M.; Mudassir, M.; Khan, M.J.; Dawar, K.M.; Muhammad, D.; Mian, I.A.; Ali, W.; Fahad, S.; Saud, S.; Hayat, Z.; et al. Heavy metals immobilization and improvement in maize (Zea mays L.) growth amended with biochar and compost. Sci. Rep. 2021, 11, 18416. [Google Scholar] [CrossRef] [PubMed]
- Awad, M.; El-Desoky, M.A.; Ghallab, A.; Kubes, J.; Abdel-Mawly, S.E.; Danish, S.; Ratnasekera, D.; Sohidul Islam, M.; Skalicky, M.; Brestic, M.; et al. Ornamental plant efficiency for heavy metals phytoextraction from contaminated soils amended with organic materials. Molecules 2021, 26, 3360. [Google Scholar] [CrossRef]
- Malik, K.M.; Khan, K.S.; Rukh, S.; Khan, A.; Akbar, S.; Billah, M.; Bashir, S.; Danish, S.; Alwahibi, M.S.; Elshikh, M.S.; et al. Immobilization of cd, pb and zn through organic amendments in wastewater irrigated soils. Sustainability 2021, 13, 2392. [Google Scholar] [CrossRef]
- Shi, T.; Ma, J.; Wu, X.; Ju, T.; Lin, X.; Zhang, Y.; Li, X.; Gong, Y.; Hou, H.; Zhao, L.; et al. Inventories of heavy metal inputs and outputs to and from agricultural soils: A review. Ecotoxicol. Environ. Saf. 2018, 164, 118–124. [Google Scholar] [CrossRef]
- Liu, P.; Wu, Z.; Luo, X.; Wen, M.; Huang, L.; Chen, B.; Zheng, C.; Zhu, C.; Liang, R. Pollution assessment and source analysis of heavy metals in acidic farmland of the karst region in southern China—A case study of Quanzhou County. Appl. Geochem. 2020, 123, 104764. [Google Scholar] [CrossRef]
- Singh, S.; Parihar, P.; Singh, R.; Singh, V.P.; Parsad, S.M. Heavy metal tolerance in plants: Role of transcriptomics, metabolomics, and ionomics. Front. Plant Sci. 2016, 6, 1143. [Google Scholar] [CrossRef]
- Ashraf, U.; Hussain, S.; Akbar, N.; Anjum, S.A.; Hassan, W.; Tang, X. Water management regimes alter Pb uptake and translocation in fragrant rice. Ecotoxicol. Environ. Saf. 2018, 149, 128–134. [Google Scholar] [CrossRef] [PubMed]
- Bargagli, R.; Ancora, S.; Bianchi, N.; Rota, E. Deposition, abatement and environmental fate of pollutants in urban green ecosystems: Suggestions from long-term studies in Siena (Central Italy). Urban For. Urban Green. 2019, 46, 126483. [Google Scholar] [CrossRef]
- Ali, M.; Nas, F.S. The effect of lead on plants in terms of growing and biochemical parameters: A review. MOJ Ecol. Environ. Sci. 2018, 3, 265–268. [Google Scholar] [CrossRef]
- Mishra, S.; Srivastava, S.; Tripathi, R.D.; Kumar, R.; Seth, C.S.; Gupta, D.K. Lead detoxification by coontail (Ceratophyllum demersum L.) involves induction of phytochelatins and antioxidant system in response to its accumulation. Chemosphere 2006, 65, 1027–1039. [Google Scholar] [CrossRef]
- Hussain, A.; Abbas, N.; Arshad, F.; Akram, M.; Khan, Z.I.; Ahmad, K.; Mansha, M.; Mirzaei, F. Effects of diverse doses of lead (Pb) on different growth attributes of Zea-mays L. Agric. Sci. 2013, 4, 262–265. [Google Scholar] [CrossRef]
- Sofy, M.R.; Seleiman, M.F.; Alhammad, B.A.; Alharbi, B.M.; Mohamed, H.I. Minimizing Adverse Effects of Pb on maize plants by combined treatment with jasmonic, salicylic acids and proline. Agronomy 2020, 10, 699. [Google Scholar] [CrossRef]
- Mindari, W.; Sasongko, P.E.; Kusuma, Z.; Syekhfani, S.; Aini, M. Efficiency of various sources and doses of humic acid on physical and chemical properties of saline soil and growth and yield of rice. AIP Conf. Proc. 2019, 2018, 030001. [Google Scholar] [CrossRef]
- Núñez-Retana, V.D.; Rosales-Serna, R.; Prieto-Ruíz, J.Á.; Wehenkel, C.; Carrillo-Parra, A. Improving the physical, mechanical and energetic properties of Quercus spp. wood pellets by adding pine sawdust. PeerJ 2020, 8, e9766. [Google Scholar] [CrossRef]
- Morales-Máximo, M.; Ruíz-García, V.M.; López-Sosa, L.B.; Rutiaga-Quiñones, J.G. Exploitation of wood waste of Pinus spp for briquette production: A Case study in the community of San Francisco Pichátaro, Michoacán, Mexico. Appl. Sci. 2020, 10, 2933. [Google Scholar] [CrossRef]
- Jóvér, J.; Antal, K.; Zsembeli, J.; Blaskó, L.; Tamás, J. Assessment of gross calorific value of crop and bio-energy residues. Res. Agric. Eng. 2018, 64, 121–127. [Google Scholar] [CrossRef]
- Boros-Lajszner, E.; Wyszkowska, J.; Kucharski, J. Phytoremediation of soil contaminated with nickel, cadmium and cobalt. Int. J. Phytoremediat. 2021, 23, 252–262. [Google Scholar] [CrossRef] [PubMed]
- Glick, B.R. Plant growth-promoting bacteria: Mechanisms and applications. Scientifica 2012, 2012, 963401. [Google Scholar] [CrossRef]
- Alvarenga, P.; Goncalves, A.; Fernandes, R.; De Varennes, A.; Vallini, G.; Duarte, E.; Cunha-Queda, A. Organic residues as immobilizing agents in aided phytostabilization: (I) effects on soil chemical characteristics. Chemosphere 2009, 74, 1292–1300. [Google Scholar] [CrossRef]
- Andra, S.S.; Datta, R.; Sarkar, D.; Saminathan, S.K.M.; Mullens, C.P.; Bach, S.B.H. Analysis of phytochelatin complexes in the lead tolerant vetiver grass Vetiveria zizanioides (L.) using liquid chromatography and mass spectrometry. Environ. Pollut. 2009, 157, 2173–2183. [Google Scholar] [CrossRef]
- Dipu, S.; Kumar, A.A.; Thanga, S.G. Effect of chelating agents in phytoremediation of heavy metals. Remediat. J. 2012, 22, 133–146. [Google Scholar] [CrossRef]
- Pires-Lira, M.F.; de Castro, E.M.; Lira, J.M.S.; de Oliveira, C.; Pereira, F.J.; Pereira, M.P. Potential of Panicum aquanticum Poir, for the phytoremediation of aquatic environments contaminated by lead. Ecotoxicol. Environ. Saf. 2020, 193, 110336. [Google Scholar] [CrossRef]
- Dinake, P.; Kelebemang, R.; Sehube, N.A. Comprehensive approach to speciation of lead and its contamination of firing range soils: A Review. Soil Sediment Contam. 2019, 28, 431–459. [Google Scholar] [CrossRef]
- Kong, L.; Chu, L.M. Subtropical urban turfs: Carbon and nitrogen pools and the role of enzyme activity. J. Environ. Sci. 2018, 65, 18–28. [Google Scholar] [CrossRef]
- Ouyang, L.; Tang, Q.; Yu, L.Q.; Zhang, R.D. Effects of amendment of different biochars on soil enzyme activities related to carbon mineralisation. Soil Res. 2014, 52, 706–716. [Google Scholar] [CrossRef]
- Mierzwa-Hersztek, M.; Gondek, K.; Baran, A. Effect of poultry litter biochar on soil enzymatic activity, ecotoxicity and plant growth. Appl. Soil Ecol. 2016, 105, 144–150. [Google Scholar] [CrossRef]
- Awasthi, M.K.; Wang, Q.; Chen, H.Y.; Awasthi, S.K.; Wang, M.J.; Ren, X.N.; Zhao, J.C.; Zhang, Z.Q. Beneficial effect of mixture of additives amendment on enzymatic activities, organic matter degradation and humification during biosolids co-composting. Bioresour. Technol. 2017, 247, 138–146. [Google Scholar] [CrossRef] [PubMed]
- Bandara, T.; Herath, I.; Kumarathilaka, P.; Seneviratne, M.; Seneviratne, G.; Rajakaruna, N.; Vithanage, M.; Yong, S.O. Role of woody biochar and fungal-bacterial co-inoculation on enzyme activity and metal immobilization in serpentine soil. J. Soils Sediments 2017, 17, 665–673. [Google Scholar] [CrossRef]
- Meng, J.; Tao, M.; Wang, L.; Liu, X.; Xu, J. Changes in heavy metal bioavailability and speciation from a Pb-Zn mining soil amended with biochars from co-pyrolysis of rice straw and swine manure. Sci. Total Environ. 2018, 633, 300–307. [Google Scholar] [CrossRef] [PubMed]
- Khan, M.A.; Mahmood-ur-Rahman; Ramzani, P.M.A.; Zubair, M.; Rasool, B.; Khan, M.K.; Ahmed, A.; Khan, S.A.; Turan, V.; Iqbal, M. Associative effects of lignin-derived biochar and arbuscular mycorrhizal fungi applied to soil polluted from Pb-acid batteries effluents on barley grain safety. Sci. Total Environ. 2020, 710, 136294. [Google Scholar] [CrossRef]
- Naeem, I.; Masood, N.; Turan, V.; Iqbal, M. Prospective usage of magnesium potassium phosphate cement combined with Bougainvillea alba derived biochar to reduce Pb bioavailability in soil and its uptake by Spinacia oleracea L. Ecotoxicol. Environ. Saf. 2021, 208, 111723. [Google Scholar] [CrossRef]
- Foster, E.J.; Hansen, N.; Wallenstein, M.; Cotrufo, M.F. Biochar and manure amendments impact soil nutrients and microbial enzymatic activities in a semi-arid irrigated maize cropping system. Agric. Ecosyst. Environ. 2016, 233, 404–414. [Google Scholar] [CrossRef]
- Ge, G.F.; Li, Z.; Fan, F.L.; Chu, G.X.; Hou, Z.N.; Liang, Y.C. Soil biological activity and their seasonal variations in response to long-term application of organic and inorganic fertilizers. Plant Soil 2010, 326, 31–44. [Google Scholar] [CrossRef]
- Paz-Ferreiro, J.; Gascó, G.; Gutiérrez, B.; Méndez, A. Soil biochemical activities and the geometric mean of enzyme activities after application of sewage sludge and sewage sludge biochar to soil. Biol. Fertil. Soils 2012, 48, 511–517. [Google Scholar] [CrossRef]
- Ondrasek, G.; Kranjčec, F.; Filipović, L.; Filipović, V.; Bubalo Kovačić, M.; Jelovica Badovinac, I.; Peter, R.; Petravić, M.; Macan, J.; Rengel, Z. Biomass bottom ash & dolomite similarly ameliorate an acidic low-nutrient soil, improve phytonutrition and growth, but increase Cd accumulation in radish. Sci. Total Environ. 2021, 753, 141902. [Google Scholar] [CrossRef]
- Oustriere, N.; Marchand, L.; Galland, W.; Gabbon, L.; Lottier, N.; Motelica, M.; Mench, M. Influence of biochars, compost and iron grit, alone and in combination, on copper solubility and phytotoxicity in a Cu-contaminated soil from a wood preservation site. Sci. Total Environ. 2016, 566, 816–825. [Google Scholar] [CrossRef] [PubMed]
- Białobrzewski, I.; Mikš-Krajnik, M.; Dach, J.; Markowski, M.; Czekała, W.; Głuchowska, K. Model of the sewage sludge-straw composting process integrating different heat generation capacities of mesophilic and thermophilic microorganisms. Waste Manag. 2015, 43, 72–83. [Google Scholar] [CrossRef]
- Lu, D.; Wang, L.; Yan, B.; Ou, Y.; Guan, J.; Bian, Y.; Zhang, Y. Speciation of Cu and Zn during composting of pig manure amended with rock phosphate. Waste Manag. 2014, 34, 1529–1536. [Google Scholar] [CrossRef] [PubMed]
- Angelova, V.R.; Akova, V.I.; Artinova, N.S.; Ivanov, K.I. The effect of organic amendments on soil chemical characteristics. Bulg. J. Agric. Sci. 2013, 19, 958–971. [Google Scholar]
- Sayara, T.; Basheer-Salimia, R.; Hawamde, F.; Sánchez, A. Recycling of organic wastes through composting: Process performance and compost application in agriculture. Agronomy 2020, 10, 1838. [Google Scholar] [CrossRef]
- Wyszkowski, M.; Kordala, N. Role of Different Material amendments in shaping the content of heavy metals in maize (Zea mays L.) on soil polluted with petrol. Materials 2022, 15, 2623. [Google Scholar] [CrossRef]








| Parameter | Parameter Determination Methods/Source of Methodology | Parameter | Parameter Determination Methods/Source of Methodology |
|---|---|---|---|
| Soil | |||
| Deh—dehydrogenases | Öhlinger [46] | Lead | SpectrAA 240 FS spectrophotometer (Varian Inc., Mulgrave, Australia) with atomic absorption spectrophotometry |
| Total organic carbon (Corg) | Elementary macroanalyzer Vario MaxCube CN (Hanau, Germany) | ||
| Cat—catalase | Johnson, Temple [47] | Total nitrogen (NTotal) | |
| Ure—urease | Alef, Nannpieri [48] | pHKCl soil | soil to solution ratio KCl 1:2.5 |
| Glu—ß-glucosidase | Hydrolytic acidity (HAC) | Kappena [49] | |
| Pac—acid phosphatase | Total exchangeable cations (EBC) | ||
| Pal—alkaline phosphatase | Total exchange capacity of soil (CEC) | Klute [50] | |
| Aryl—arylsulfatase | Basic cations saturation ratio in soil (BS) | ||
| Plant | |||
| Heat of Combustion (Q) | Calorimeter C-2000 by IKA WERKE, Northchase Pkwy Se, Wilmington, USA [51] | Greenness index (SPAD) | Chlorophyll Meter Spectrum Technologies, Inc. (KONICA MINOLTA, Inc., Chiyoda, Japan |
| Lead | SpectrAA 240 FS spectrophotometer (Varian Inc., Mulgrave, Australia) | ||
| Biocompost Companies KRONEN (Poland) | Biochar Companies NTP Sp. Zoo. (Poland) |
|---|---|
| pH—8.25 | pH—9.79 |
| NTotal—0.50% | NTotal—0.91% |
| Corg—8.70% | Corg—83.92% |
| C:N ratio—10.09 | C:N ratio—92.22 |
| mg Pb2+ kg−1 d.m. soil | Control | Biocompost | Biochar |
|---|---|---|---|
| Aerial parts | |||
| 0 | 59.163 b ± 0.217 | 63.688 a ± 0.527 | 59.205 b ± 1.154 |
| 800 | 48.858 d ± 0.650 | 57.585 b ± 0.946 | 51.020 c ± 0.921 |
| Roots | |||
| 0 | 8.890 b ± 1.299 | 12.935 a ± 1.990 | 7.658 ab ± 0.314 |
| 800 | 6.495 c ± 1.016 | 8.023 ab ± 1.272 | 6.915 c ± 1.475 |
| mg Pb2+ kg−1 d.m. soil | Control | Biocompost | Biochar |
|---|---|---|---|
| 14 days | |||
| 0 | 44.881 a ± 0.984 | 44.869 a ± 2.057 | 43.369 a ± 1.629 |
| 800 | 39.600 b ± 2.071 | 37.600 c ± 2.805 | 37.894 c ± 0.954 |
| 48 days | |||
| 0 | 26.631 d ± 9.757 | 22.325 e ± 0.788 | 23.056 e ± 2.089 |
| 800 | 22.375 e ± 0.706 | 21.881 e ± 2.186 | 23.463 e ± 1.432 |
| mg Pb2+ kg−1 d.m. soil | Control | Biocompost | Biochar |
|---|---|---|---|
| Heat of Combustion in MJ kg−1 | |||
| 0 | 18.395 bc ± 0.008 | 18.510 a ± 0.040 | 18.483 ab ± 0.037 |
| 800 | 18.486 a ± 0.038 | 18.325 c ± 0.031 | 18.528 a ± 0.027 |
| Heating Value in MJ kg−1 | |||
| 0 | 16.478 a ± 0.016 | 16.541 a ± 0.013 | 16.621 a ± 0.012 |
| 800 | 16.540 a ± 0.015 | 16.301 a ± 0.014 | 16.620 a ± 0.011 |
| Energy Production in MJ kg−1 | |||
| 0 | 0.279 b ± 0.012 | 0.301 a ± 0.013 | 0.281 b ± 0.014 |
| 800 | 0.231 e ± 0.015 | 0.268 c ± 0.013 | 0.242 d ± 0.015 |
| mg Pb2+ kg−1 d.m. soil | Control | Biocompost | Biochar |
|---|---|---|---|
| Aerial parts | |||
| 0 | 4.550 d ± 0.083 | 5.283 d ± 0.617 | 8.716 d ± 1.650 |
| 800 | 79.142 b ± 2.916 | 72.043 c ± 3.316 | 108.772 a ± 1.183 |
| Roots | |||
| 0 | 24.080 d ± 1.650 | 19.965 d ± 0.067 | 61.011 d ± 4.916 |
| 800 | 861.531 a ± 4.809 | 526.581 c ± 6.727 | 694.414 b ± 2.014 |
| Soil | |||
| 0 | 10.400 d ± 0.540 | 15.730 d ± 0.690 | 12.980 d ± 0.840 |
| 800 | 660.380 a ± 6.700 | 526.220 c ± 6.040 | 596.910 b ± 0.610 |
| mg Pb2+ kg−1 d.m. soil | Control | Biocompost | Biochar |
|---|---|---|---|
| Total Organic Carbon in g kg−1 | |||
| 0 | 6.060 c ± 0.010 | 7.060 b ± 0.010 | 11.580 a ± 0.018 |
| 800 | 5.960 c ± 0.011 | 6.100 c ± 0.003 | 10.840 a ± 0.016 |
| Total Nitrogen in g kg−1 | |||
| 0 | 0.890 b ± 0.002 | 1.050 a ± 0.001 | 1.060 a ± 0.001 |
| 800 | 0.820 b ± 0.002 | 1.010 a ± 0.001 | 1.030 a ± 0.001 |
| pHKCl | |||
| 0 | 4.067 d ± 0.058 | 4.400 b ± 0.029 | 4.300 c ± 0.028 |
| 800 | 4.300 c ± 0.029 | 4.500 a ± 0.050 | 4.433 ab ± 0.027 |
| Hydrolytic Acidity in mmol(+) kg−1 soil | |||
| 0 | 20.750 a ± 0.217 | 18.250 e ± 0.210 | 20.125 b ± 0.220 |
| 800 | 19.750 bc ± 0.220 | 19.250 cd ± 0.222 | 18.875 d ± 0.218 |
| Total Exchangeable Base Cations in mmol(+) kg−1 soil | |||
| 0 | 20.000 e ± 0.110 | 28.000 d ± 0.120 | 28.000 d ± 0.116 |
| 800 | 30.000 c ± 0.119 | 32.000 b ± 0.117 | 40.000 a ± 0.114 |
| Total Cation Exchange Capacity in mmol(+) kg−1 soil | |||
| 0 | 40.750 f ± 0.217 | 46.250 e ± 0.222 | 48.125 d ± 0.223 |
| 800 | 49.750 c ± 0.220 | 51.250 b ± 0.220 | 58.875 a ± 0.219 |
| Base Cations Saturation Ratio in Soil in % | |||
| 0 | 49.081 e ± 0.260 | 64.866 a ± 0.304 | 58.183 d ± 0.262 |
| 800 | 60.302 c ± 0.263 | 58.537 d ± 0.247 | 61.147 b ± 0.224 |
Disclaimer/Publisher’s Note: The statements, opinions and data contained in all publications are solely those of the individual author(s) and contributor(s) and not of MDPI and/or the editor(s). MDPI and/or the editor(s) disclaim responsibility for any injury to people or property resulting from any ideas, methods, instructions or products referred to in the content. |
© 2024 by the authors. Licensee MDPI, Basel, Switzerland. This article is an open access article distributed under the terms and conditions of the Creative Commons Attribution (CC BY) license (https://creativecommons.org/licenses/by/4.0/).
Share and Cite
Wyszkowska, J.; Boros-Lajszner, E.; Kucharski, J. The Impact of Soil Contamination with Lead on the Biomass of Maize Intended for Energy Purposes, and the Biochemical and Physicochemical Properties of the Soil. Energies 2024, 17, 1156. https://doi.org/10.3390/en17051156
Wyszkowska J, Boros-Lajszner E, Kucharski J. The Impact of Soil Contamination with Lead on the Biomass of Maize Intended for Energy Purposes, and the Biochemical and Physicochemical Properties of the Soil. Energies. 2024; 17(5):1156. https://doi.org/10.3390/en17051156
Chicago/Turabian StyleWyszkowska, Jadwiga, Edyta Boros-Lajszner, and Jan Kucharski. 2024. "The Impact of Soil Contamination with Lead on the Biomass of Maize Intended for Energy Purposes, and the Biochemical and Physicochemical Properties of the Soil" Energies 17, no. 5: 1156. https://doi.org/10.3390/en17051156
APA StyleWyszkowska, J., Boros-Lajszner, E., & Kucharski, J. (2024). The Impact of Soil Contamination with Lead on the Biomass of Maize Intended for Energy Purposes, and the Biochemical and Physicochemical Properties of the Soil. Energies, 17(5), 1156. https://doi.org/10.3390/en17051156

