Abstract
This paper offers a theoretical and experimental examination of the concurrent production of electricity and heat using photovoltaic thermal (PV/T) technology. The efficiency performance of the PV/T system is meticulously analyzed using MATLAB/Simulink software environments. Notably, the proposed PV/T system shows reliable performance, and its validity is confirmed through experimental validation on a test stand with a single PV/T panel positioned at a 45-degree angle to the horizontal and a 0-degree azimuth angle. The measurements were conducted during the summer season, and two models were suggested to calculate the overall efficiency of the PV/T system. The variance between the results obtained from the two models was minimal, below 5%. For the examined panel type, the following average values were derived: electrical efficiency = 12.01%, thermal efficiency = 47.21%, and overall efficiency = 59.23%.
1. Introduction
According to the graph presented by Our World Data, in the year 2022, humanity covered its primary energy needs in a proportion of 81.79% from coal, oil, and natural gas, exhaustible and polluting resources, primarily through greenhouse gas emissions, which is the leading cause of climate change [1]. The remaining 3.99% of the primary energy requirement was covered by nuclear sources and 14.22% by renewable energy. Hannah Ritchie and Pablo Rosado (2020) emphasize that burning fossil fuels and biomass brings an excessive cost to human health; at least 5 million deaths are attributed to air pollution yearly [2].
1.1. Background
Renewable energy sources, whether derived directly or indirectly from the sun, can be used for both the direct generation of heat and the conversion into electricity [3]. The revised Renewable Energy Directive EU/2023/2413 elevates the EU’s binding renewable target for 2030 to a minimum of 42.5%, a significant increase from the prior 32% target, with the goal of reaching 45% [4]. To meet this target, the states are actively promoting renewable energy sources and implementing policies and strategies to help access to such energy sources, as well as to support investments in this area [5].
By harnessing the sun’s energy directly, we can generate electricity, heat, and cold. Photovoltaic thermal panels (PV/T) represent a combination of photovoltaic (PV) panels and thermal solar collectors, enabling the simultaneous production of electricity and heat, like in Figure 1. The excess heat generated in the PV cells is reduced by solar collectors, turning it into useful thermal energy.
Figure 1.
Scheme of electricity and heat production in a hybrid panel.
1.2. Brief Literature Review
Solar PV/T technology appeared during the 1970s and has now completed 50 years of existence. Over this period, the technology has been successfully proven with various design options, as shown by numerous review articles covering different themes on its progress over the last five decades [6]. For instance, the paper [7] offers a comprehensive overview of key aspects related to PV/T systems. It encompasses the concept, classification, design, performance, and application of various PV/T system types, including air-type, water-type, nanofluid-type, and building-integrated PV/T systems [7]. Throughout this time span, hybrid PV/T panels have been studied from multiple perspectives, and their manufacturing technology has evolved to enhance electrical efficiency and perfect the use of heat extracted from the PV side [8]. The work [9] consolidates the pivotal findings and contributions from various studies on PV/T technology. It explores the impact of diverse parameters and design modifications on system efficiency, the utilization of nanofluids and phase-change materials to enhance heat transfer and storage, the integration of thermoelectric generators and solar dryers with PV/T systems, the application of soft-computing techniques in forecasting and optimizing system performance, and the potential of building-integrated PV/T systems for sustainable energy solutions. The paper underscores the essential requirements for key stakeholders to establish a sustainable PV/T market [10]. Furthermore, [10] provides recommendations for a subsidy scheme for PV/T systems.
A considerable number of researchers have extensively explored and modeled diverse types of hybrid panels, continually seeking more advanced technologies to improve their production [11,12]. Various research works [13,14] present mathematical models and multi-objective optimization approaches aimed at enhancing the efficiency of PV/T panels. The performance of the system is also influenced by factors such as the type of solar module (monocrystalline or polycrystalline) and prevailing climatic conditions [15]. Moreover, the shape, dimensions, and gaps between the tubes of the thermal collector significantly impact the PV/T system’s performance [16]. Article [11] delves into diverse methods and models for evaluating the thermal and electrical performance of PV/T collectors, along with considerations for reliability and durability. It also highlights research gaps and underscores the need for standardization and certification of PV/T products [11]. In a related study, the research paper [17] scrutinizes the thermal and electrical performance of a solar photovoltaic thermal collector with a galvanized iron absorber. The thermal efficiency of the PV/T collector is approximately 54.51% in water mode and 16.24% in air mode, with an electrical efficiency of 11.12%, based on specific climatic, operating, and design parameters [17]. Diverse ways of using PV/T panels have been proposed: systems consisting only of hybrid panels or combinations of hybrid panels with other systems for generating electricity, heat and cold [18,19,20]. PV/T systems employ various cooling media such as air, water, bi-fluids, nanofluids, refrigerants, and phase-change materials. Additionally, these systems are occasionally integrated with heat pumps and seasonal energy storage [21,22]. The findings in research paper [23] indicate that the PV/T collector can attain higher energy production and efficiency compared to conventional systems, particularly when integrated into building facades.
PV/T systems have undergone scrutiny for both energy and exergy efficiency in various studies [24,25]. Additionally, there has been an exploration of the impact of cooling systems on the efficiency of each series-connected PV cell within PV/T modules [26]. The values of electrical efficiency and exergetic efficiency of PV/T systems are higher than those of PV systems. PV/T hybrid solar panels are a practical choice for industry as well as building use, standing for a promising alternative for energy efficiency and greenhouse gas reduction [27]. The authors of the study [28] concluded that PV/T technology is both useful and feasible for providing heat and electricity in residential applications, particularly in tropical regions. In another investigation reported in article [25], an experimental study conducted at Uşak University, Turkey, using a PV/T system composed of monocrystalline silicon solar cells and a copper plate with copper tubes on the back for water heating, yielded noteworthy results. The article concludes that the PV/T system exhibits higher energy and exergy efficiency than the PV system and boasts a shorter payback time of 8 years compared to 16 years for the PV system [25]. The characterization of the manufacturing industry was accomplished using multistage cluster sampling, and a numerical model based on differential equations represented the PV/T system in the research conducted by [28]. Moreover, the authors of various research papers, such as [29], identify significant gaps and propose perspectives for further PV/T research. These include reducing investment costs, facilitating two-way interaction with district energy networks, developing concentrating PV/T and PV/TC systems, and exploring the potential of advanced materials and manufacturing processes.
Optimizing the global efficiency of a PV/T system involves considerations of both quantity and quality, with the optimal solution being primarily chosen based on specific interests [30]. The overall efficiency of a PV/T system has been reported to reach up to 81%, depending on the system design and environmental conditions. It’s important to note that there is often a trade-off between thermal and electrical efficiency [15].
Many review papers summarize key findings and contributions from various studies on PV/T technology. These include exploring the effects of different parameters and design modifications on system efficiency [6,7], utilizing nanofluids and phase-change materials to enhance heat transfer and storage [7,31], integrating thermoelectric generators and solar dryers with PV/T systems, considering the role of soft-computing techniques in forecasting and optimizing system performance, and recognizing the potential of building-integrated PV/T systems for sustainable energy solutions [9,11].
These reviews also shed light on future research prospects, emphasizing areas such as collector material design, long-term reliability experiments, multi-objective design optimization, techno-exergo-economics, and photovoltaic recycling.
1.3. Contribution and Paper Organization
This paper provides a comprehensive theoretical and experimental study on simultaneous electricity and heat production using PV/T technology. The study was conducted on an experimental stand featuring a SUNSYSTEM PVT 240 panel at the Thermal Power Plant of “Vasile Alecsandri” University in Bacau, Romania. The efficiency performance of the examined PV/T system is thoroughly investigated using MATLAB R2023a and PTC MATHCAD Prime 8.0.0.0. software environments.
This work compares the efficiency performances of two models for PV/T hybrid solar panels to choose the required and suitable model under certain specific conditions. The studied models are analyzed and compared for the first time in this way. The main contribution of the paper can be the didactic approach of the authors such that the young and new researchers in this field can study more in detail this aspect. The mathematical model for the PV/T collector presented in the case of model 2 is constructed using the thermal circuit diagram provided in [32].
The rest of the paper is organized as follows. Section 2 presents the description of the studied PV/T system and their mathematical analytical calculation and, respectively their thermal, electrical, and optical modeling. Section 3 presents the results and discussions of the analyzed models considering the measured and simulated parameters, as well as the global performance efficiency evaluation of the studied models in real operation of PV/T hybrid solar panels. The last section of the paper presents the conclusions of this research.
2. Materials and Methods
This section presents both the physical complete PV/T power plant used for experimental measurements and, respectively the implemented simulation PV/T hybrid solar panel model used for simulation to collect obtained simulation test data to compare them with the real measured data. The real PV/T power plant is fully operational, while the high-level detailed implemented simulation system model has complex parameters, including the optics and effect of temperature in the solar PV cell module (thermal and electrical), which is tremendously important for the behavior of this kind of system.
2.1. Test Stand Description
The measurements were conducted on the system illustrated in Figure 2. Positioned on the rooftop of the laboratory, the PV/T panel is set at a 45-degree angle to the horizontal and a 0-degree azimuth angle. The geographical coordinates of the site are as follows: latitude: 46.55354, longitude: 26.91509, and elevation: 167 m.
Figure 2.
Scheme of PV/T system: 1—photovoltaic-thermal panel; 2—solar charger; 3—communication center; 4—inverter; 5—differential temperature controller; 6—rechargeable battery; 7, 9—fuses; 8—smart shunt; 10, 11—automatic switches; 12—AC outlet; 13—AC bulb; 14—optional power supply; 15—panel temperature sensor; 16—boiler water temperature sensor; 17—electric boiler 120 L; 18—boiler coil; 19—electrical resistance; 20—one-way valve; 21, 30—expansion vessels; 22—hot water outlet; 23, 26, 27, 33—water valves; 24—water meter; 25—thermos manometer; 28, 29—solar aerator; 31—manometer; 32—thermometer.
The primary part of the proposed system is the hybrid panel SUNSYSTEM PVT 240, as depicted in Figure 3 and the main dimensions in Figure 4.
Figure 3.
Schematic presentation of PV/T panel.
Figure 4.
Dimensions in mm of the hybrid panel.
The technical data for the SUNSYSTEM PVT 240 panel is presented in Table 1 [33].
Table 1.
Technical data SUNSYSTEM PANEL PVT 240.
Table 2 presents the key properties of the 50% Propylene Glycol for calculations [34].
Table 2.
Proprieties of Propylene Glycol 50% concentration.
2.2. Experimental Measurements
The temperature of the water in the boiler and the thermal agent is measured using devices connected to temperature sensors. Global illumination on the panel surface is figured out by two solarimeters fixed parallel to the panel:
- Amprobe Solar-100 Solar power meter, Fluke, accuracy +/−10 W/m2.
- Multimetrix digital pyranometer SPM 72, accuracy +/−10 W/m2.
Surface temperature of the PV/T hybrid solar panel is measured using an infrared thermometer model VA 6530. Air speed, ambient temperature, external temperature, and humidity are measured with a Testo 410-2 device. The measurements were carried out on 30 May 2023, and 24 July 2023. The results are presented below in Table 3 and Table 4.
Table 3.
Table of measurements 30 May 2023.
Table 4.
Table of measurements 24 July 2023.
The system operation is visualized in real-time using VictronConnect V 6.0.0. software. On 24 July 2023, the panel produced 1.2 kWh of energy, and the energy consumed was 0.9 kWh, as shown in Figure 5.
Figure 5.
Produced energy on 24 July 2023, based on historical data from VictronConnect software.
2.3. Mathematical Modeling of the System
Global efficiency was determined, according to [14,35,36,37] with (1):
ηth—thermal efficiency of the PV/T system, ηel—electrical efficiency of the PV/T system, and ηgl—global efficiency of the PV/T system.
In this paper, two models were employed for calculating the global efficiency. The modeling and simulation were based on the following assumptions and limit conditions:
- The material properties of the components of the PV/T panel were constant;
- The glass cover was at a uniform temperature;
- A steady-state system (Model 1) and quasi-steady-state system (Model 2) were considered;
- Uniform wind speed surrounded the PV/T panel;
- Negligible heat loss and pressure drop in the system;
- The water flow was uniform during operation;
- The thermal inertia of the PV/T system was not considered;
- PV/T panel was not located in a shaded area.
2.4. Model 1: Analytical Calculation
The model employed in this paper is a simple, steady-state model used to calculate thermal efficiency, electrical efficiency, and the global efficiency using the measured values from Table 3 and Table 4.
Following ISO 9806-2017, ‘Solar thermal collectors, Test methods’, the calculation of thermal efficiency involves the use of Equation (2) [11,38]:
where k1, [W/m2K]—first thermal loss coefficient of the panel, k2, [W/m2K2]—second thermal loss coefficient of the panel, ,
Electrical efficiency was calculated using (4) [11,39]:
where the reference ambient temperature was Tref = 25 °C.
2.5. Model 2: Modeling and Simulation in Matlab/Simulink
This model was developed in the Matlab®/Simulink® environment based on [40]. The implementation simulates the cogeneration of electricity and heat using a hybrid PV/T solar panel with the characteristics of the SUNSYSTEM PVT panel. The generated heat is transferred to water for consumption. The detailed simulation model and related scripts are available on IEEE DataPort in [41].
The structure of the PV/T model, presented in Figure 6, includes the electrical network in blue, the thermal heat network in red, and the thermal liquid network in yellow. The model features two solar inputs and a pump flow input. Additionally, an optical model is implemented with a Matlab Function block [40].
Figure 6.
Proposed PV/T hybrid solar panel model.
The electrical network part of the PV/T system has a module consisting of 60 solar PV cells connected in series and a resistive load. The thermal network models the heat exchange between the physical components of the PV/T hybrid solar panel (glass cover, heat exchanger, and back cover) and the surrounding environment. Heat exchange within the PV/T solar panel involves conduction, convection, and radiation. The thermal–liquid network encompasses a pipe, a tank, and pumps that control liquid flows within the system. The optical model, embedded in a Matlab Function block, simulates the reflection, absorption, and transmission of light in the glass cover [40].
2.5.1. Thermal Modeling
Energy conservation laws were applied to each panel component [32,42,43]. Heat transfer for the glass cover, PV/T module, absorber, absorber connection to the circulation tube, and fluid in the tubes were estimated, as detailed in the research paper [28]. The solar radiation used by the thermal system was diminished compared to a standalone thermal collector, as a part of the radiation is converted into electricity by the PV cells.
The thermal efficiency was determined using the following formula:
where Ac—Collector surface area [m2], Qu—useful heat [W]:
using thermal fluid temperatures, according to the Hottel–Whiller model [17].
where —massflow of thermal agent, (kg/s), cpfv—specific heat of the thermal agent, (J/kgK), FR—the heat removal factor, UL—overall heat transfer coefficient (W/m2 °C), α—absorption coefficient, τ—transmission coefficient.
The solar radiation used by the thermal system is diminished compared to a standalone thermal collector because a part of that solar radiation is converted into electricity by the PV cells. This relationship is expressed by the coefficient (τα) [39]:
where Aactive—actual area of capture of PV cells, (m2).
The heat removal factor FR was calculated using the (9) [17,39]:
where F′ is given by (10):
Heat transfer through the hybrid panel occurred via radiation (at the glass and absorber levels), convection (involving air, the thermal agent, and their adjacent elements), and conduction (in glass, cell, separator, absorber, insulator, copper tube, and back cover).
The thicknesses of the layers of these part elements and their thermal conductivity are provided in Table 5. The overall heat transfer coefficient, UL, accounts for thermal losses to the front, back, and sides. The data from Table 5 are used in the calculation of UL.
Table 5.
Part elements of the PV/T panel.
The temperature of the sky Tsky was found with (11) [17,39]:
The heat transfer coefficient between the air and the glass hga, as well as between the air and the back cover hba, is given by (12):
The heat transfer coefficient between the thermal agent and the copper tube is
where Nu—Nusselt number, VW—wind air (m/s), Dh—hydraulic diameter, (m), kf—thermal conductivity of working fluid, [W/m·K].
2.5.2. Electrical Modeling: Solar Cell Modeling
Following the specialized literature, a PV model was derived from diode behavior, providing the PV cell with its exponential characteristic. The solar cell block consists of a single solar cell, represented as a resistance connected in series with a parallel combination of a current source, two exponential diodes, and a parallel resistor Rp [40].
The output solar cell current is given by (14) [44,45,46]:
where Iph—the solar-induced current (A); , Iph0—the measured solar generated current for the reference irradiance G0 (A); G—the solar irradiance [W/m2]; and . Here, k—the Boltzmann constant, q—the elementary charge of the electron, Is1—the saturation current of the first diode (A), Is2—the saturation current of the second diode (A), N1—the quality factor of the first diode, N2—the quality factor of the second diode, and V—voltage at the solar cell terminals (V).
The calculation of electrical efficiency adheres to the Shockley–Queisser limit, employing formula (4), similar to the case of model 1.
2.5.3. Optical Model for the Glass Cover
The optical model, shown in Figure 7, is based on Fresnel’s laws, which depend on the incident angle of solar radiation. The optical model for the glass cover of a PV/T solar panel is implemented using a Matlab Function block. This model has two solar inputs: irradiation and inclination/incidence angle. It produces three outputs: the transmitted solar irradiance on the PV solar cells, the heat absorbed by the glass cover, and the radiative power absorbed by PV solar cells. This power is then transformed into electrical power (P = V·I) and heat absorbed by the PV solar cells [40].
Figure 7.
Diagram of optical model for the glass cover.
The Matlab function calculates the transmission, reflection, and absorption in the glass cover to figure out the irradiation reaching the PV cells, the heat absorbed in the glass, and the radiation power absorbed in the PV cells. Optically, the glass cover consists of two boundaries (air to glass and glass to air) that reflect and send light [40]. The reflection coefficient in a boundary is calculated using the Fresnel equations, as in (15) [40,47].
where rp is for P-polarization and rs for S-polarization, and nrel is the optical index from air to glass.
The total reflection (or effective reflectance) is the average of both P-polarization and S-polarization, as given in (16) [40]:
The transmittance τ is given by (17), as there is no absorption so far [40,47,48]:
2.5.4. Optical Characteristics of Glass Cover
Figure 8 illustrates the optical characteristics of the glass cover for the PV/T hybrid solar panel, showcasing reflection, absorption, and transmission coefficients as functions of the incidence angle [40]. While the described scenario pertains to one boundary, the glass cover features two parallel boundaries separated by dg [40].
Figure 8.
Graph of optical characteristics of the glass cover of PV/T panel.
The angle θ1, following the first boundary, becomes the angle of incidence θ1 on the second boundary, and it is calculated using Snell’s law (18) [47,48,49,50]:
where: n1 and n2 are the refractive indices of the two boundaries.
The glass absorbs a part of the light with the constant probability per unit length αg, resulting in an exponential decay from distance travelled dg for the transmittance coefficient in the glass τg (19) [49,50]:
As the light reaches the second boundary, it undergoes reflection and transmission again according to the Fresnel equations. The reflected light becomes trapped inside the glass, undergoing infinite reflections between the two boundaries until it is fully absorbed.
Then, the total reflection and transmission coefficients of the glass cover system are the sum of an infinite geometrical series, for which the total transmission Tg, reflection Rg, and absorption Ag coefficients for infinite reflections between two parallel boundaries are given by (20) [40,51]:
Finally, the total optical coefficients for the glass are depicted in Figure 9.
Figure 9.
Total optical coefficients of the glass cover infinite reflections between two parallel boundaries of the studied PV/T hybrid solar panel model.
2.5.5. PV/T System Model Inputs
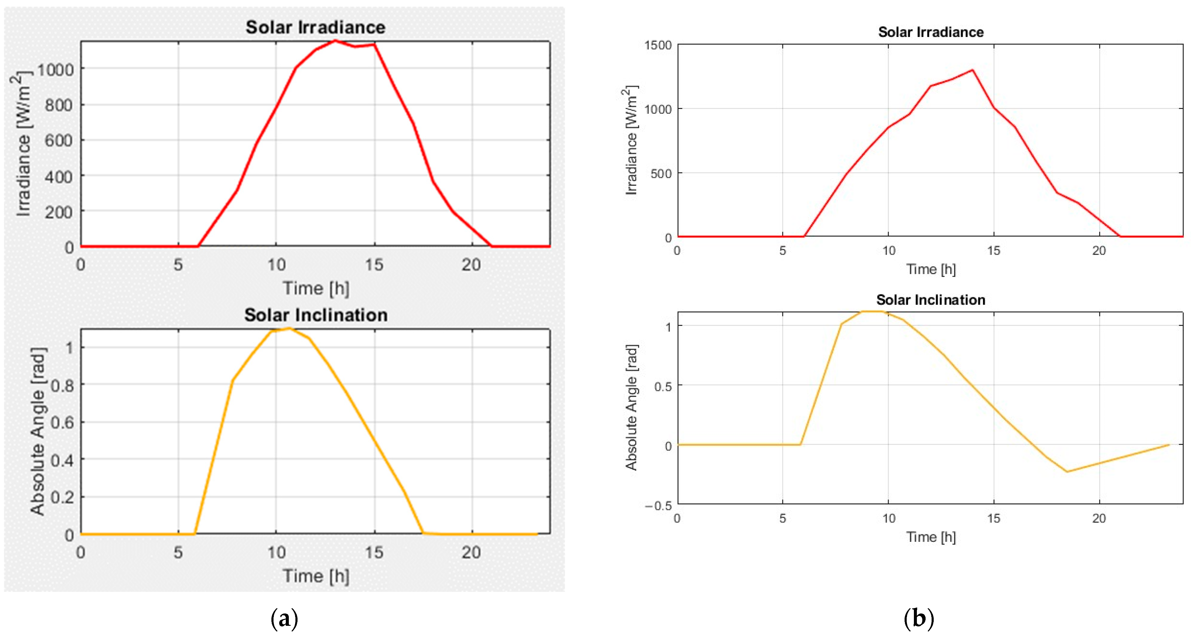
The model is characterized by inputs that include solar variables (irradiance and incidence angle, or solar inclination) and pump flow variables defined over a 24 h cycle. Figure 10 and Figure 11 depict the solar variables and pump flow inputs of the PV/T hybrid solar panel, respectively.
Figure 10.
Solar irradiation and solar inclination variables: (a) 24 July 2023; (b) 30 May 2023.
Figure 11.
Diagram of mass flow rate (pump flows variables), 24 July 2023.
The simulation was conducted for two sets of values, corresponding to the solar radiation and solar inclination on 30 May 2023, and 24 July 2023. The solar radiation intensity was measured, and the obtained values are presented in Table 4 and Table 5. The solar inclination was calculated using data from the site www.solcast.com [52], the latitude, and longitude corresponding to the location of the test stand, as outlined in Table 6. The values for solar angle are provided in Table 6.
Table 6.
Values of solar angle.
Three pumps are employed in the system: one to model user demand, another to simulate source supply, and a third to represent internal flow, which induces convection in the pipe. The demand remains constant and is only non-zero from 10:00 to 22:00. The supply is constant and active from 6:00 to 18:00, while the internal flow is also constant and operational from 6:00 to 22:00. This approach is adopted for the internal flow to avoid inefficient heat exchange during nighttime when ambient temperatures are low [40,41].
In Table 7 are given the full parameter values of the PV/T solar panel components, like the electrical load, PV solar cell, pipe, and tank.
Table 7.
PV/T Solar Panel Parameters.
Electrical module characteristics at 25 °C and specified temperature and 1000 W/m2 and specified temperature, respectively are given in Figure 12.
Figure 12.
Module characteristics.
3. Results and Discussion
In this section, two case studies illustrate the performances and effectiveness of the analyzed models of PV/T hybrid solar panel under different temperature and irradiance changes in real exploration to simultaneous production of electricity and heat.
The real experimental stand and simulation model of a PV/T hybrid power plant were studied in this paper by investigating and comparing them in Matlab/Simulink and PTC Mathcad Prime 8.0.0.0. software environments to show their thermal, electrical, and global efficiency performance. To replicate the obtained simulation results presented in the next section, the detailed simulation data, including the implemented PV/T hybrid solar panel model in Matlab/Simulink and related scripts (data and parameter values, plot inputs, optics characteristics, and outputs, and efficiency calculation) are available in [41].
Applying model 1 (real PV/T system) produces the results outlined in Table 8 for 30 May 2023, and Table 9 for 24 July 2023.
Table 8.
Efficiency calculated with the formulas from Model 1, 30 May 2023.
Table 9.
Efficiency calculated with the formulas from Model 1, 24 July 2023.
Figure 13 shows the variation in electrical, thermal, and overall efficiency over the duration of the measurements.
Figure 13.
Variations in thermal efficiency, electrical efficiency, and global efficiency.
For all 12 measurements conducted on 30 May 2023 and 24 July 2023, covering the entire period between sunrise and sunset, the following average values were obtained for thermal efficiency, electrical efficiency, and global efficiency, as given in Table 10.
Table 10.
Average efficiency calculated with the formulas from Model 1.
The outputs of model 2 (modeled and simulated in Matlab/Simulink) included temperatures for all components of the PV/T panel, as well as electrical and thermal power. Figure 14 and Figure 15 illustrate the outputs of the PV/T panel, displaying the temperatures of the thermal masses and the useful electrical and thermal power.
Figure 14.
Diagram of temperatures and power of the PV/T system modeled in Matlab/Simulink, 30 May 2023.
Figure 15.
Output voltage, current, and power of the electrical part of the PV/T panel for one day, 24 July 2023.
The efficiency was determined from the simulation output results. Table 11 presents the electrical, thermal, and total efficiency of the modeled PV/T hybrid solar panel, calculated from the output results. While electrical efficiency aligns with standard PV solar cells, the addition of thermal efficiency significantly improves energy production, resulting in a total system efficiency comparable to a cogeneration power plant.
Table 11.
PV/T hybrid solar panel efficiency calculation, model 2.
The obtained results for the average thermal, electrical, and global efficiency are shown in Table 12, for both model 1 and model 2.
Table 12.
Results for average thermal, electrical, and global efficiency.
Notice the remarkably close values obtained by applying the two models, with the difference being extremely small, below 5%. It is important to highlight that the simulation conducted in Simulink did not include the inverter and cable losses. When considering the efficiency of the inverter, ηel,model2 = 0.1230. In the realization of model 2, the thermal inertia of the system was not considered and for this reason the difference between the calculated values of the thermal efficiency appears.
The values obtained by applying the two models closely aligned with those derived from similar models, [16,25]. This observation indicates that during the summer season, model 2 provides a reliable approximation of the electrical, thermal, and overall efficiency of the PV/T system. This holds true under conditions of specified flow rates and high radiance, particularly in a temperate continental climate.
4. Conclusions
In this paper, the electrical and thermal efficiency performance of two models for PV/T hybrid solar panels was presented.
It is important to notice this is the first time that a PV/T system was examined in this manner, in which we made a comparison between the values obtained by two different methods, and confirmed the proposed model in Matlab and the simulation performed in Simulink by the values obtained from real measurements.
Notably, the simulation in the case of model 2 exhibited results in an increased accuracy that reflects the real functioning of the system. There is potential for further refinement of Model 2 by incorporating the simulation of the inverter operation and cable losses. Additionally, measurements will be conducted on the test stand during different time periods, encompassing various outdoor temperature and solar radiation conditions. Simulations will be carried out, taking into account the impact of deposits on the operation of the PV/T panel. This will enable the establishment of an appropriate frequency for preventive maintenance operations.
Author Contributions
Conceptualization, R.G. and S.G.V.; methodology, R.G. and I.V.B.; software, R.G., I.V.B. and S.E.P.; validation, R.G. and I.V.B.; formal analysis, R.G. and I.V.B.; investigation, R.G. and S.G.V.; resources, R.G.; data curation, S.G.V.; writing—original draft preparation, R.G.; writing—review and editing, R.G., S.E.P. and I.V.B.; supervision, R.G. All authors have read and agreed to the published version of the manuscript.
Funding
The APC was funded by Vasile Alecsandri University of Bacau, Romania.
Data Availability Statement
Data are contained within the article.
Conflicts of Interest
The authors declare no conflicts of interest.
References
- OurWorldInData.org. Available online: https://ourworldindata.org/grapher/sub-energy-fossil-renewables-nuclear (accessed on 28 January 2024).
- Ritchie, H.; Rosado, P.; Roser, M. Energy Production and Consumption, Published online at OurWorldInData.org. 2020. Available online: https://ourworldindata.org/energy-production-consumption (accessed on 28 January 2024).
- Badea, A.; Necula, H.; Coordinators. Surse Regenerabile de Energie; Editura AGIR: Bucharest, Romania, 2013. [Google Scholar]
- Directive (EU) 2023/2413 of the European Parliament and of the Council of 18 October 2023 Amending Directive (EU) 2018/2001, Regulation (EU) 2018/1999 and Directive 98/70/EC as Regards the Promotion of Energy from Renewable Sources, and Repealing Council Directive (EU) 2015/652. Available online: https://eur-lex.europa.eu/legal-content/EN/TXT/?uri=CELEX%3A32023L2413&qid=1699364355105 (accessed on 28 January 2024).
- Irimia, O.; Tomozei, C.; Panainte-Lehadus, M.; Dinu, M.C. Evaluation of the potential of wind energy as a source of electricity generation: Case study—Vanatori Wind Power Plant. In Proceedings of the 2020 7th International Conference on Energy Efficiency and Agricultural Engineering (EE&AE), Ruse, Bulgaria, 12–14 November 2020. [Google Scholar] [CrossRef]
- Chandrasekar, M.; Senthilkumar, T. Five decades of evolution of solar photovoltaic thermal (PVT) technology—A critical insight on review articles. J. Clean. Prod. 2021, 322, 128997. [Google Scholar] [CrossRef]
- Tiwari, A.K.; Chatterjee, K.; Agrawal, S.; Singh, G.K. A comprehensive review of photovoltaic-thermal (PVT) technology: Performance evaluation and contemporary development. Energy Rep. 2023, 10, 2655–2679. [Google Scholar] [CrossRef]
- Motoasca, M.; de la Fontaine, C.; Vermeulen, B. Photovoltaic-Thermal (PV/T) Hybrid Systems State-of-the-Art Technology, Challenges and Opportunities. 2018. Available online: https://www.interregsolarise.eu/wp-content/uploads/2018/12/FINAL-SOLARISE-EVENT-18_10-2018-presPVT.pdf (accessed on 28 January 2024).
- Diwania, S.; Agrawal, S.; Siddiqui, A.S.; Singh, S. Photovoltaic–thermal (PV/T) technology: A comprehensive review on applications and its advancement. Int. J. Energy Environ. Eng. 2020, 11, 33–54. [Google Scholar] [CrossRef]
- Furbo, S.; Perers, B.; Dragsted, J.; Gomes, J.; Gomes, M.; Coelho, P.; Yıldızha, H.; Yilmaz, I.H.; Aksay, B.; Bozkurt, A.; et al. Best Practices for PVT Technology. In Proceedings of the SWC 2021: ISES Solar World Congress, Virtual Conference, 25–29 October 2021. [Google Scholar]
- Kramer, K. Status Quo of PVT Characterization, SHC Task 60—Report B1. Available online: https://task60.iea-shc.org/Data/Sites/1/publications/IEA-SHC-Task60-B1-Status-Quo-Report-PVT-Characterization.pdf (accessed on 31 January 2023).
- Sciubba, E.; Toro, C. Modeling and Simulation of a Hybrid PV/Thermal Collector. In Proceedings of the 24th International Conference on Efficiency, Cost, Optimization, Simulation and Environmental Impact of Energy Systems, ECOS 2011, Novi Sad, Serbia, 4–7 July 2011. [Google Scholar]
- Ouhsiane, L.; Siroux, M.; Ganaoui, M.E.; Mimet, A. Multi-Objective Optimization of Hybrid PVT Solar Panels. In Proceedings of the 2018 International Conference and Utility Exhibition on Green Energy for Sustainable Development (ICUE), Phuket, Thailand, 24–26 October 2018; pp. 1–5. [Google Scholar] [CrossRef]
- Barbu, M.; Darie, G.; Siroux, M. Analysis of a Residential Photovoltaic-Thermal (PVT) System in Two Similar Climate Conditions. Energies 2019, 12, 3595. [Google Scholar] [CrossRef]
- Bandaru, S.H.; Becerra, V.; Khanna, S.; Radulovic, J.; Hutchison, D.; Khusainov, R. A Review of Photovoltaic Thermal (PVT) Technology for Residential Applications: Performance Indicators, Progress, and Opportunities. Energies 2021, 14, 3853. [Google Scholar] [CrossRef]
- Rosli, M.A.M.; Misha, S.; Sopian, K.; Mat, S.; Sulaiman, M.Y.; Salleh, E. Thermal Efficiency of the Photovoltaic Thermal System with Serpentine Tube Collector. Eng. Environ. Sci. Appl. Mech. Mater. 2014, 699, 455–461. [Google Scholar] [CrossRef]
- Ben cheikh el hocine, H.; Touafek, K.; Kerrour, F.; Haloui, H.; Khelifa, A. Model Validation of an Empirical Photovoltaic Thermal (PV/T) Collector. Energy Procedia 2015, 74, 1090–1099. [Google Scholar] [CrossRef]
- Nualboonrueng, T.; Tuenpusa, P.; Ueda, Y.; Akisawa, A. Field Experiments of PV-Thermal Collectors for Residential Application in Bangkok. Energies 2012, 5, 1229–1244. [Google Scholar] [CrossRef]
- Hazi, A.; Hazi, G.; Grigore, R.; Vernica, S. Opportunity to use PVT systems for water heating in industry. Appl. Therm. Eng. 2014, 63, 151–157. [Google Scholar] [CrossRef]
- A Photovoltaic Thermal Panel for Heat-Pump Houses. Available online: https://www.pv-magazine.com/2020/04/20/a-photovoltaic-thermal-panel-for-heat-pump-houses/ (accessed on 28 January 2024).
- Tsai, H.L. Design and Evaluation of a Photovoltaic/Thermal-Assisted Heat Pump Water Heating System. Energies 2014, 7, 3319–3338. [Google Scholar] [CrossRef]
- Ghazy, M.; Ibrahim, E.M.M.; Mohamed, A.S.A.; Askalany, A.A. Cooling technologies for enhancing photovoltaic–thermal (PVT) performance: A state of the art. Int. J. Energy Environ. Eng. 2022, 13, 1205–1235. [Google Scholar] [CrossRef]
- Pokorny, N.; Matuška, T. Glazed Photovoltaic-thermal (PVT) Collectors for Domestic Hot Water Preparation in Multifamily Building. Sustainability 2020, 12, 6071. [Google Scholar] [CrossRef]
- Barbu, M.; Minciuc, E.; Frusescu, D.C.; Tutica, D. Integration of Hybrid Photovoltaic Thermal Panels (PVT) in the District Heating System of Bucharest, Romania. In Proceedings of the 2021 10th International Conference on ENERGY and ENVIRONMENT (CIEM), Bucharest, Romania, 14–15 October 2021. [Google Scholar] [CrossRef]
- Kandilli, C. A comparative study on the energetic- exergetic and economical performance of a photovoltaic thermal system (PVT). Res. Eng. Struct. Mater. 2019, 5, 75–89. [Google Scholar] [CrossRef]
- Al Tarabsheh, A.; Etier, I.; Fath, H.; Ghazal, A.; Morci, Y.; Asad, M.; El Haj, A. Performance of photovoltaic cells in photovoltaic thermal (PVT) modules. IET Renew. Power Gener. 2016, 10, 1017–1023. [Google Scholar] [CrossRef]
- Hazi, A.; Grigore, R.; Hazi, G. Energy Efficiency of the PVT System Used in Industry. In Proceedings of the 2012 11th International Conference on Environment and Electrical Engineering, Venice, Italy, 18–25 May 2012; pp. 235–240. [Google Scholar] [CrossRef]
- Ngunzi, V.; Njoka, F.; Kinyua, R. Modeling, simulation and performance evaluation of a PVT system for the Kenyan manufacturing sector. Heliyon 2023, 9, e18823. [Google Scholar] [CrossRef] [PubMed]
- Arabkoohsar, A.; Xie, G.; Wei, J.; Asok, A.; Behzadi, A.; Mahian, O. Perspectives and review of photovoltaic-thermal panels in net-zero energy buildings. J. Therm. Anal. Calorim. 2022, 147, 8621–8630. [Google Scholar] [CrossRef]
- Hazi, A.; Hazi, G.; Grigore, R. Performance Optimization of a PVT That Is Integrated into an Industrial Company. Bul. AGIR 2012, 3, 185–190. Available online: https://www.agir.ro/buletine/1382.pdf (accessed on 28 January 2024).
- Brahim, T.; Jemni, A. PVT Solar Collector Assessment Using Matlab/Simulink. In Advances in Thermal Science and Energy; Ali-Toudert, F., Draoui, A., Halouani, K., Hasnaoui, M., Jemni, A., Tadrist, L., Eds.; JITH 2022. Lecture Notes in Mechanical Engineering; Springer: Cham, Switzerland. [CrossRef]
- Tiwari, G.N.; Tiwari, A.; Shyam. Handbook of Solar Energy, Theory, Analysis and Applications; Energy Systems in Electrical Engineering; Springer: Singapore, 2016. [Google Scholar] [CrossRef]
- SUNSYSTEM, Solar Thermal System, Catalogue. pp. 16–18. Available online: https://www.amadeuscom.ro/wp-content/uploads/2021/08/Catalog-panouri-solare-Sunsystem.pdf (accessed on 28 January 2024).
- Engineers Edge. Available online: https://www.engineersedge.com/heat_transfer/thermal_conductivity_propylene_glycol_15916.htm (accessed on 3 February 2024).
- Chow, T.T. A review on photovoltaic/thermal hybrid solar technology. Appl. Energy 2010, 87, 365–379. [Google Scholar] [CrossRef]
- Fujisawa, T.; Tatsuo, T. Annual exergy evaluation on photovoltaic-thermal hybrid collector. Sol. Energy Mater. Sol. Cells 1997, 47, 135–148. [Google Scholar] [CrossRef]
- Lateef Abdullah, A.; Misha, S.; Tamaldin, N.; Afzanizam, M.; Rosli, M.; Sachit, F.A. Hybrid Photovoltaic Thermal PVT Solar Systems Simulation via Simulink/Matlab. CFD Lett. 2019, 11, 64–78. [Google Scholar]
- SR EN ISO 9806-2017; Solar Thermal Collectors, Test Methods. International Organization for Standardization: Geneva, Switzerland, 2017.
- Boureima, D.; Sikoudouin, T.M.K.; Ouedraogo, E.; Hayibo, K.S.; Bathiebo, D.J. Theoretical Study of a Thermal Photovoltaic Hybrid Solar Collector. Indian J. Sci. Technol. 2018, 11, 1–9. [Google Scholar] [CrossRef]
- The MathWorks, Inc. Photovoltaic Thermal (PV/T) Hybrid Solar Panel. Matlab Help Center. 2023. Available online: https://www.mathworks.com/help/sps/ug/photovoltaic-thermal-pvt-hybrid-solar-panel.html (accessed on 25 July 2023).
- Grigore, R.M.; Vernica, S.G.; Popa, S.E.; Banu, I.V. PVT Hybrid Solar Panel—Simulink Model and Dataset. IEEE Dataport 2024. [Google Scholar] [CrossRef]
- Duffie, J.A.; Beckman, W.A. Solar Engineering of Thermal Processes, 4th ed.; Wiley: New York, NY, USA, 2013. [Google Scholar]
- Lontsi, K.A.; Tangka, J.K.; Djousse, K.B.M. Experimental study on the electrical and thermal characteristics of a hybrid photovoltaic/thermal water solar collector model using photovoltaic solar modules of different brands. Energy Convers. Manag. X 2022, 14, 100198. [Google Scholar] [CrossRef]
- Banu, I.V.; Istrate, M. Modeling and Simulation of Photovoltaic Arrays. World Energy System Conference—WESC 2012. Bul. AGIR 2012, 3, 161–166. Available online: http://www.agir.ro/buletine/1378.pdf (accessed on 25 July 2023).
- Banu, I.V.; Beniuga, R.; Istrate, M. Study on Temperature for Modeling of Photovoltaic Solar Array using Experimental Test Data. Acta Electroteh. 2013, 54, 51–54. [Google Scholar]
- Banu, I.V.; Istrate, M.; Machidon, D.; Pantelimon, R. Study regarding modeling photovoltaic arrays using test data in MATLAB/Simulink. UPB Sci. Bull. C Electr. Eng. Comput. Sci. 2015, 77, 227–234. Available online: https://www.scientificbulletin.upb.ro/rev_docs_arhiva/full83f_148621.pdf (accessed on 25 July 2023).
- Fatehi, J.H.; Sauer, K.J. Modeling the incidence angle dependence of photovoltaic modules in PVsyst. In Proceedings of the 2014 IEEE 40th Photovoltaic Specialist Conference (PVSC), Denver, CO, USA, 8–13 June 2014; pp. 1335–1338. [Google Scholar] [CrossRef]
- Santbergen, R.; van Zolingen, R.J.C. The absorption factor of crystalline silicon PV cells: A numerical and experimental study. Sol. Energy Mater Sol. Cells 2008, 92, 432–444. [Google Scholar] [CrossRef]
- Santbergen, R.; Goud, J.M.; Zeman, M.; van Roosmalen, J.A.M.; van Zolingen, R.J.C. The AM1.5 absorption factor of thin-film solar cells. Sol. Energy Mater Sol. Cells 2010, 94, 715–723. [Google Scholar] [CrossRef]
- Li, W.; Paul, M.; Rolley, M.; Sweet, T.; Gao, M.; Baig, H.; Fernandez, E.; Mallick, T.; Montecucco, A.; Siviter, J.; et al. A coupled optical-thermal-electrical model to predict the performance of hybrid PV/T-CCPC roof-top systems. Renew. Energy 2017, 112, 166–186. [Google Scholar] [CrossRef]
- Ji, Y.; Xu, Q.; Riggs, B.; Islam, K.; Ollanik, A.; Ermer, J.H.; Krut, D.D.; Romanin, V.; Codd, D.; Escarra, M.D. Optical Design and Validation of an Infrared Transmissive Spectrum Splitting Concentrator Photovoltaic Module. IEEE J. Photovolt. 2017, 7, 1469–1478. [Google Scholar] [CrossRef]
- Solar API and Wheather Forescasting Tool. Available online: http://www.solcast.com (accessed on 28 January 2024).
Disclaimer/Publisher’s Note: The statements, opinions and data contained in all publications are solely those of the individual author(s) and contributor(s) and not of MDPI and/or the editor(s). MDPI and/or the editor(s) disclaim responsibility for any injury to people or property resulting from any ideas, methods, instructions or products referred to in the content. |
© 2024 by the authors. Licensee MDPI, Basel, Switzerland. This article is an open access article distributed under the terms and conditions of the Creative Commons Attribution (CC BY) license (https://creativecommons.org/licenses/by/4.0/).














