Unsteady Loading on a Tidal Turbine Due to the Turbulent Wake of an Upstream Turbine Interacting with a Seabed Ridge
Abstract
1. Introduction
2. Numerical Methods
2.1. DOFAS: In-House LES Solver
2.2. The BEMT Model
2.3. Description of Test Cases and the Computational Setup
- Flat-bed cases (no ridge): “FN”, with “N” denoting the row spacing in terms of turbine diameters,
- Single turbine: “ND” or “NU”, with “N” being the ridge-turbine distance in terms of turbine diameters and “D” and “U” denoting the relative position to the ridge,
- Two turbines: “NUM”, with “N” being the distance of the first turbine to the ridge centre and “M” the spacing between the two turbines, both in terms of turbine diameters.
2.4. Fatigue Loads Calculations
3. Results
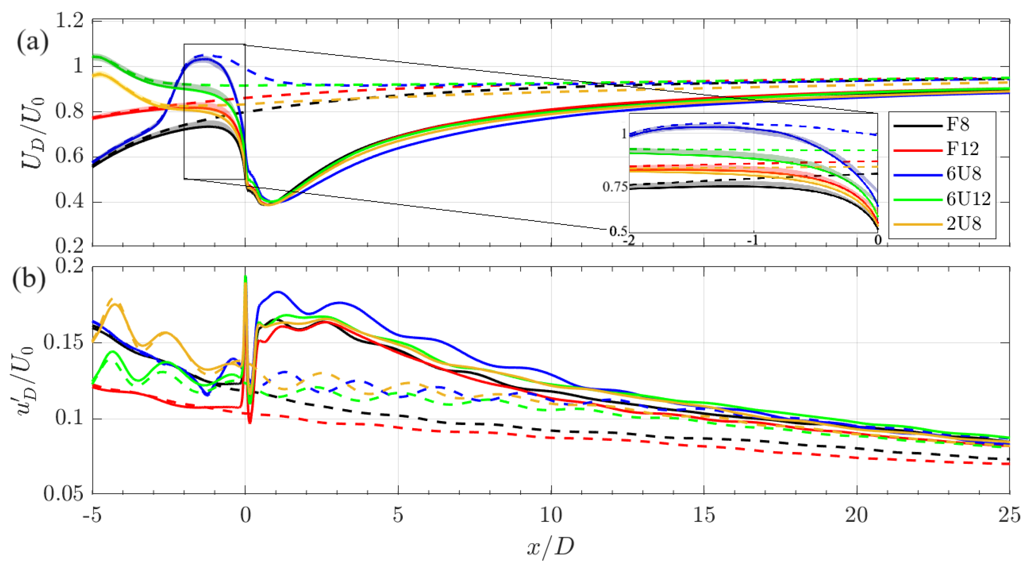
3.1. Flow Field
3.2. Extreme and Fatigue Loading
3.3. Assessment of Load Prediction with BEMT
4. Conclusions
Author Contributions
Funding
Data Availability Statement
Acknowledgments
Conflicts of Interest
Abbreviations
| ALM | Actuator Line Model |
| APG | Adverse Pressure Gradient |
| BEMT | Blade Element Momentum Theory |
| CPU | Central Processing Unit |
| DEL | Damage Equivalent Load |
| DOFAS | Digital Offshore Farm Simulator |
| FPG | Favourable Pressure Gradient |
| HPC | High-Performance Computing |
| IBM | Immersed Boundary Method |
| LES | Large-Eddy Simulation |
| MPI | Message Passing Interface |
| PoE | Probability of Exceedance |
| PSD | Power Spectral Density |
| TI | Turbulence Intensity |
| TSR | Tip Speed Ratio |
| WALE | Wall-Adapting Local-Eddy |
Appendix A. Shear at Turbine Location

Appendix B. Reference Velocity
| Case | () | () | Merge Distance | |
|---|---|---|---|---|
| [m s−1] | [–] | [–] | [] | |
| F8 | 0.375 | 0.917 | 0.904 | 2.185 |
| F12 | 0.405 | 0.938 | 0.949 | 1.722 |
| 6U8 | 0.466 | 1.032 | 0.994 | 0.944 |
| 6U12 | 0.432 | 0.949 | 0.979 | 1.833 |
| 2U8 | 0.392 | 0.944 | 0.969 | 1.722 |
| Second-row only (no upstream turbine) | ||||
| TF | 0.476 | 0.947 | 0.973 | 1.889 |
| 2D | 0.543 | 1.028 | 1.029 | 0.611 |
| 6D | 0.483 | 0.954 | 0.994 | 3.556 |
References
- Coles, D.; Angeloudis, A.; Greaves, D.; Hastie, G.; Lewis, M.; Mackie, L.; McNaughton, J.; Miles, J.; Neill, S.; Piggott, M.; et al. A review of the UK and British Channel Islands practical tidal stream energy resource. Proc. R. Soc. A 2021, 477, 20210469. [Google Scholar] [CrossRef] [PubMed]
- Guillou, N.; Neill, S.P.; Robins, P.E. Characterising the tidal stream power resource around France using a high-resolution harmonic database. Renew. Energy 2018, 123, 706–718. [Google Scholar] [CrossRef]
- Stokesbury, M.J.; Logan-Chesney, L.M.; McLean, M.F.; Buhariwalla, C.F.; Redden, A.M.; Beardsall, J.W.; Broome, J.E.; Dadswell, M.J. Atlantic sturgeon spatial and temporal distribution in Minas Passage, Nova Scotia, Canada, a region of future tidal energy extraction. PLoS ONE 2016, 11, e0158387. [Google Scholar] [CrossRef]
- Novo, P.G.; Kyozuka, Y. Tidal stream energy as a potential continuous power producer: A case study for West Japan. Energy Convers. Manag. 2021, 245, 114533. [Google Scholar] [CrossRef]
- Marsh, P.; Penesis, I.; Nader, J.R.; Cossu, R. Multi-criteria evaluation of potential Australian tidal energy sites. Renew. Energy 2021, 175, 453–469. [Google Scholar] [CrossRef]
- Abundo, M.L.; Nerves, A.C.; Ang, M.R.C.; Paringit, E.C.; Bernardo, L.P.; Villanoy, C.L. Energy potential metric for rapid macro-level resource assessment of tidal in-stream energy in the Philippines. In Proceedings of the 2011 10th International Conference on Environment and Electrical Engineering, Rome, Italy, 8–11 May 2011; IEEE: Piscataway, NJ, USA, 2011; pp. 1–4. [Google Scholar] [CrossRef]
- Jiang, C.; Kang, Y.; Qu, K.; Kraatz, S.; Deng, B.; Zhao, E.; Wu, Z.; Chen, J. High-resolution numerical survey of potential sites for tidal energy extraction along coastline of China under sea-level-rise condition. Ocean Eng. 2021, 236, 109492. [Google Scholar] [CrossRef]
- Huchet, M.; Droniou, E.; Perez, L.; Vermeulen, B.; Baldock, A.; Johnson, F.; Boake, C. Wake characterization of tidal turbines in the Pentland Firth using vessel-mounted ADCP measurements. In Proceedings of the 15th European Wave and Tidal Energy Conference, Bilbao, Spain, 3–7 September 2023; Volume 15. [Google Scholar] [CrossRef]
- Ouro, P.; Stansby, P.; Macleod, A.; Stallard, T.; Mullings, H. High-fidelity modelling of a six-turbine tidal array in the Shetlands. In Proceedings of the 15th European Wave and Tidal Energy Conference, Bilbao, Spain, 3–7 September 2023; Volume 15. [Google Scholar] [CrossRef]
- Jordan, C.; Dundovic, D.; Fragkou, A.K.; Deskos, G.; Coles, D.S.; Piggott, M.D.; Angeloudis, A. Combining shallow-water and analytical wake models for tidal array micro-siting. J. Ocean Eng. Mar. Energy 2022, 8, 193–215. [Google Scholar] [CrossRef]
- Adcock, T.A.; Draper, S.; Willden, R.H.; Vogel, C.R. The fluid mechanics of tidal stream energy conversion. Annu. Rev. Fluid Mech. 2021, 53, 287–310. [Google Scholar] [CrossRef]
- Liu, L.; Stevens, R.J. Effects of two-dimensional steep hills on the performance of wind turbines and wind farms. Bound.-Layer Meteorol. 2020, 176, 251–269. [Google Scholar] [CrossRef]
- Cai, T.; Cheng, S.; Segalini, A.; Chamorro, L.P. Local topography-induced pressure gradient effects on the wake and power output of a model wind turbine. Theor. Appl. Mech. Lett. 2021, 11, 100297. [Google Scholar] [CrossRef]
- Tian, W.; Zheng, K.; Hu, H. Investigation of the wake propagation behind wind turbines over hilly terrain with different slope gradients. J. Wind Eng. Ind. Aerodyn. 2021, 215, 104683. [Google Scholar] [CrossRef]
- Zhang, Z.; Huang, P.; Bitsuamlak, G.; Cao, S. Large-eddy simulation of wind-turbine wakes over two-dimensional hills. Phys. Fluids 2022, 34, 065123. [Google Scholar] [CrossRef]
- Siguenza-Alvarado, D.; Pulletikurthi, V.; Quinones, J.J.; Nelson, C.; Cheng, S.; Doosttalab, A.; Chamorro, L.P.; Castillo, L. Wake interaction of aligned wind turbines over two-dimensional hills. Phys. Fluids 2023, 35, 105142. [Google Scholar] [CrossRef]
- Dar, A.S.; Gertler, A.S.; Porté-Agel, F. An experimental and analytical study of wind turbine wakes under pressure gradient. Phys. Fluids 2023, 35, 045140. [Google Scholar] [CrossRef]
- Shamsoddin, S.; Porté-Agel, F. Wind turbine wakes over hills. J. Fluid Mech. 2018, 855, 671–702. [Google Scholar] [CrossRef]
- Hurubi, S.; Stallard, T.; Stansby, P.; Mullings, H.; Ouro, P. Characterisation of turbulent flow and the wake of a tidal stream turbine in proximity to a ridge. In Proceedings of the 15th European Wave and Tidal Energy Conference, Bilbao, Spain, 3–7 September 2023; Volume 15. [Google Scholar] [CrossRef]
- Hurubi, S.; Stallard, T.; Mullings, H.; Stansby, P.; Ouro, P. Numerical study of the effect of a ridge on the wake and loading of a tidal stream turbine. J. Fluids Struct. 2024, 129, 104158. [Google Scholar] [CrossRef]
- Hyvärinen, A.; Segalini, A. Effects from complex terrain on wind-turbine performance. J. Energy Resour. Technol. 2017, 139, 051205. [Google Scholar] [CrossRef]
- Dar, A.S.; Porté-Agel, F. Wind turbine wake superposition under pressure gradient. Phys. Fluids 2024, 36. [Google Scholar] [CrossRef]
- McCann, G. Tidal current turbine fatigue loading sensitivity to waves and turbulence–a parametric study. In Proceedings of the 7th European Wave and Tidal Energy Conference, Porto, Portugal, 11–14 September 2007. [Google Scholar]
- Mullings, H.; Stallard, T. Assessment of dependency of unsteady onset flow and resultant tidal turbine fatigue loads on measurement position at a tidal site. Energies 2021, 14, 5470. [Google Scholar] [CrossRef]
- Gaurier, B.; Ikhennicheu, M.; Germain, G.; Druault, P. Experimental study of bathymetry generated turbulence on tidal turbine behaviour. Renew. Energy 2020, 156, 1158–1170. [Google Scholar] [CrossRef]
- Ouro, P.; Stoesser, T. Impact of environmental turbulence on the performance and loadings of a tidal stream turbine. Flow Turbul. Combust. 2019, 102, 613–639. [Google Scholar] [CrossRef]
- Mullings, H.; Draycott, S.; Thiébot, J.; Guillou, S.; Mercier, P.; Hardwick, J.; Mackay, E.; Thies, P.; Stallard, T. Evaluation of Model Predictions of the Unsteady Tidal Stream Resource and Turbine Fatigue Loads Relative to Multi-Point Flow Measurements at Raz Blanchard. Energies 2023, 16, 7057. [Google Scholar] [CrossRef]
- Ouro, P.; Ramírez, L.; Harrold, M. Analysis of array spacing on tidal stream turbine farm performance using Large-Eddy Simulation. J. Fluids Struct. 2019, 91, 102732. [Google Scholar] [CrossRef]
- Ouro, P.; Mullings, H.; Christou, A.; Draycott, S.; Stallard, T. Wake characteristics behind a tidal turbine with surface waves in turbulent flow analyzed with large-eddy simulation. Phys. Rev. Fluids 2024, 9, 034608. [Google Scholar] [CrossRef]
- Mullings, H.; Stallard, T. Unsteady loading in a tidal array due to simulated turbulent onset flow. In Proceedings of the Advances in Renewable Energies Offshore: Proceedings of the 3rd International Conference on Renewable Energies Offshore (RENEW 2018), Lisbon, Portugal, 8–10 October 2018; CRC Press: Boca Raton, FL, USA, 2018; p. 227. [Google Scholar]
- Mullings, H.; Stallard, T. Analysis of tidal turbine blade loading due to blade scale flow. J. Fluids Struct. 2022, 114, 103698. [Google Scholar] [CrossRef]
- Mullings, H.; Amos, L.; Miller, C.; Ouro, P.; Stallard, T. Efficient prediction of tidal turbine fatigue loading using turbulent onset flow from Large Eddy Simulations. J. Ocean. Eng. Mar. Energy 2024, 10, 537–554. [Google Scholar] [CrossRef]
- Ouro, P.; Lopez-Novoa, U.; Guest, M.F. On the performance of a highly-scalable Computational Fluid Dynamics code on AMD, ARM and Intel processor-based HPC systems. Comput. Phys. Commun. 2021, 269, 108105. [Google Scholar] [CrossRef]
- Cevheri, M.; McSherry, R.; Stoesser, T. A local mesh refinement approach for large-eddy simulations of turbulent flows. Int. J. Numer. Methods Fluids 2016, 82, 261–285. [Google Scholar] [CrossRef]
- Nicoud, F.; Ducros, F. Subgrid-scale stress modelling based on the square of the velocity gradient tensor. Flow Turbul. Combust. 1999, 62, 183–200. [Google Scholar] [CrossRef]
- Ouro, P.; Harrold, M.; Ramirez, L.; Stoesser, T. Prediction of the Wake Behind a Horizontal Axis Tidal Turbine Using a LES-ALM. In Recent Advances in CFD for Wind and Tidal Offshore Turbines; Ferrer, E., Montlaur, A., Eds.; Springer: Berlin/Heidelberg, Germany, 2019; pp. 25–35. [Google Scholar] [CrossRef]
- Churchfield, M.J.; Schreck, S.J.; Martinez, L.A.; Meneveau, C.; Spalart, P.R. An advanced actuator line method for wind energy applications and beyond. In Proceedings of the 35th Wind Energy Symposium, Grapevine, TX, USA, 9–13 January 2017; p. 1998. [Google Scholar] [CrossRef]
- Shen, W.Z.; Sørensen, J.N.; Mikkelsen, R. Tip loss correction for actuator/Navier–Stokes computations. J. Sol. Energy Eng. 2005, 127, 209–213. [Google Scholar] [CrossRef]
- Uhlmann, M. An immersed boundary method with direct forcing for the simulation of particulate flows. J. Comput. Phys. 2005, 209, 448–476. [Google Scholar] [CrossRef]
- Stallard, T.; Feng, T.; Stansby, P. Experimental study of the mean wake of a tidal stream rotor in a shallow turbulent flow. J. Fluids Struct. 2015, 54, 235–246. [Google Scholar] [CrossRef]
- Jarrin, N.; Prosser, R.; Uribe, J.C.; Benhamadouche, S.; Laurence, D. Reconstruction of turbulent fluctuations for hybrid RANS/LES simulations using a synthetic-eddy method. Int. J. Heat Fluid Flow 2009, 30, 435–442. [Google Scholar] [CrossRef]
- Parkinson, S.G.; Collier, W.J. Model validation of hydrodynamic loads and performance of a full-scale tidal turbine using Tidal Bladed. Int. J. Mar. Energy 2016, 16, 279–297. [Google Scholar] [CrossRef]
- ASTM E1049-85(2017); Standard Practices for Cycle Counting in Fatigue Analysis. ASTM International: West Conshohocken, PA, USA, 2017.
- Chanprasert, W.; Sharma, R.; Cater, J.; Norris, S. Large Eddy Simulation of wind turbine fatigue loading and yaw dynamics induced by wake turbulence. Renew. Energy 2022, 190, 208–222. [Google Scholar] [CrossRef]
- de N Santos, F.; D’Antuono, P.; Robbelein, K.; Noppe, N.; Weijtjens, W.; Devriendt, C. Long-term fatigue estimation on offshore wind turbines interface loads through loss function physics-guided learning of neural networks. Renew. Energy 2023, 205, 461–474. [Google Scholar] [CrossRef]
- Medici, D.; Ivanell, S.; Dahlberg, J.Å.; Alfredsson, P.H. The upstream flow of a wind turbine: Blockage effect. Wind Energy 2011, 14, 691–697. [Google Scholar] [CrossRef]
- Harrold, M.; Ouro, P. Rotor loading characteristics of a full-scale tidal turbine. Energies 2019, 12, 1035. [Google Scholar] [CrossRef]
- Bastankhah, M.; Porté-Agel, F. Wind tunnel study of the wind turbine interaction with a boundary-layer flow: Upwind region, turbine performance, and wake region. Phys. Fluids 2017, 29, 065105. [Google Scholar] [CrossRef]
- Evans, L.; Ashton, I.; Sellar, B. Tidal turbine power performance assessments following IEC TS 62600-200 using measured and modelled power outputs. Renew. Energy 2023, 212, 138–150. [Google Scholar] [CrossRef]
- PD IEC/TS 62600-200:2013; Marine Energy. Wave, Tidal and Other Water Current Converters: Electricity Producing Tidal Energy Converters. Power Performance Assessment. International Electrotechnical Commission (IEC): Geneva, Switzerland, 2013.
- Graham, J.M.R. Rapid distortion of turbulence into an open turbine rotor. J. Fluid Mech. 2017, 825, 764–794. [Google Scholar] [CrossRef]
- Deskos, G.; Payne, G.S.; Gaurier, B.; Graham, M. On the spectral behaviour of the turbulence-driven power fluctuations of horizontal-axis turbines. J. Fluid Mech. 2020, 904, A13. [Google Scholar] [CrossRef]















| Configuration | |||
|---|---|---|---|
| - | % | rad/s | |
| Flat bed | |||
| TF | 1.01 | 7.60 | 15.66 |
| F8 | 0.80 | 11.83 | 12.30 |
| F12 | 0.86 | 10.34 | 13.28 |
| First-row 6D upstream of the ridge | |||
| 6U | 1.02 | 7.68 | 15.66 |
| 6U8 | 0.99 | 13.24 | 15.30 |
| 6U12 | 0.92 | 12.59 | 14.17 |
| First-row 2D upstream of the ridge | |||
| 2U | 1.02 | 7.44 | 15.71 |
| 2U8 | 0.83 | 13.52 | 12.85 |
| Second-row only (no upstream turbine) | |||
| 2D | 1.16 | 12.76 | 17.82 |
| 6D | 1.03 | 9.97 | 15.84 |
| Case | F8 | F12 | 6U8 | 6U12 | 2U8 | 2D | 6D |
|---|---|---|---|---|---|---|---|
| DEL/DEL0 | 0.942 | 0.972 | 1.430 | 1.232 | 1.054 | 1.792 | 1.583 |
Disclaimer/Publisher’s Note: The statements, opinions and data contained in all publications are solely those of the individual author(s) and contributor(s) and not of MDPI and/or the editor(s). MDPI and/or the editor(s) disclaim responsibility for any injury to people or property resulting from any ideas, methods, instructions or products referred to in the content. |
© 2025 by the authors. Licensee MDPI, Basel, Switzerland. This article is an open access article distributed under the terms and conditions of the Creative Commons Attribution (CC BY) license (https://creativecommons.org/licenses/by/4.0/).
Share and Cite
Hurubi, S.; Mullings, H.; Ouro, P.; Stansby, P.; Stallard, T. Unsteady Loading on a Tidal Turbine Due to the Turbulent Wake of an Upstream Turbine Interacting with a Seabed Ridge. Energies 2025, 18, 151. https://doi.org/10.3390/en18010151
Hurubi S, Mullings H, Ouro P, Stansby P, Stallard T. Unsteady Loading on a Tidal Turbine Due to the Turbulent Wake of an Upstream Turbine Interacting with a Seabed Ridge. Energies. 2025; 18(1):151. https://doi.org/10.3390/en18010151
Chicago/Turabian StyleHurubi, Sulaiman, Hannah Mullings, Pablo Ouro, Peter Stansby, and Tim Stallard. 2025. "Unsteady Loading on a Tidal Turbine Due to the Turbulent Wake of an Upstream Turbine Interacting with a Seabed Ridge" Energies 18, no. 1: 151. https://doi.org/10.3390/en18010151
APA StyleHurubi, S., Mullings, H., Ouro, P., Stansby, P., & Stallard, T. (2025). Unsteady Loading on a Tidal Turbine Due to the Turbulent Wake of an Upstream Turbine Interacting with a Seabed Ridge. Energies, 18(1), 151. https://doi.org/10.3390/en18010151

