The Optimal Dispatch for a Flexible Distribution Network Equipped with Mobile Energy Storage Systems and Soft Open Points
Abstract
1. Introduction
- This paper proposes an SOP and MESS co-scheduling framework that leverages the complementary strengths of SOPs and MESSs to address the challenges associated with high DG penetration.
- The proposed co-dispatch model not only quantifies the various costs and benefits, but also takes into account the stability of the grid, aiming to ensure the stability of the grid while maximizing the grid benefits.
2. MESS and SOP Co-Scheduling Model
2.1. Road Network Model
2.2. SOP-Based Distribution Network Configuration
2.3. Path Optimization for the MESS
3. Objective Function
3.1. Net Benefit of Scheduling
3.2. Total Voltage Deviation
3.3. SOP Operation and Protection Constraints
3.4. Distribution Network Operational Constraints
3.5. Energy Storage System Operating Constraints
3.6. Timing Constraint
3.7. Power Balance Constraint
4. Model Solution
5. Case Study
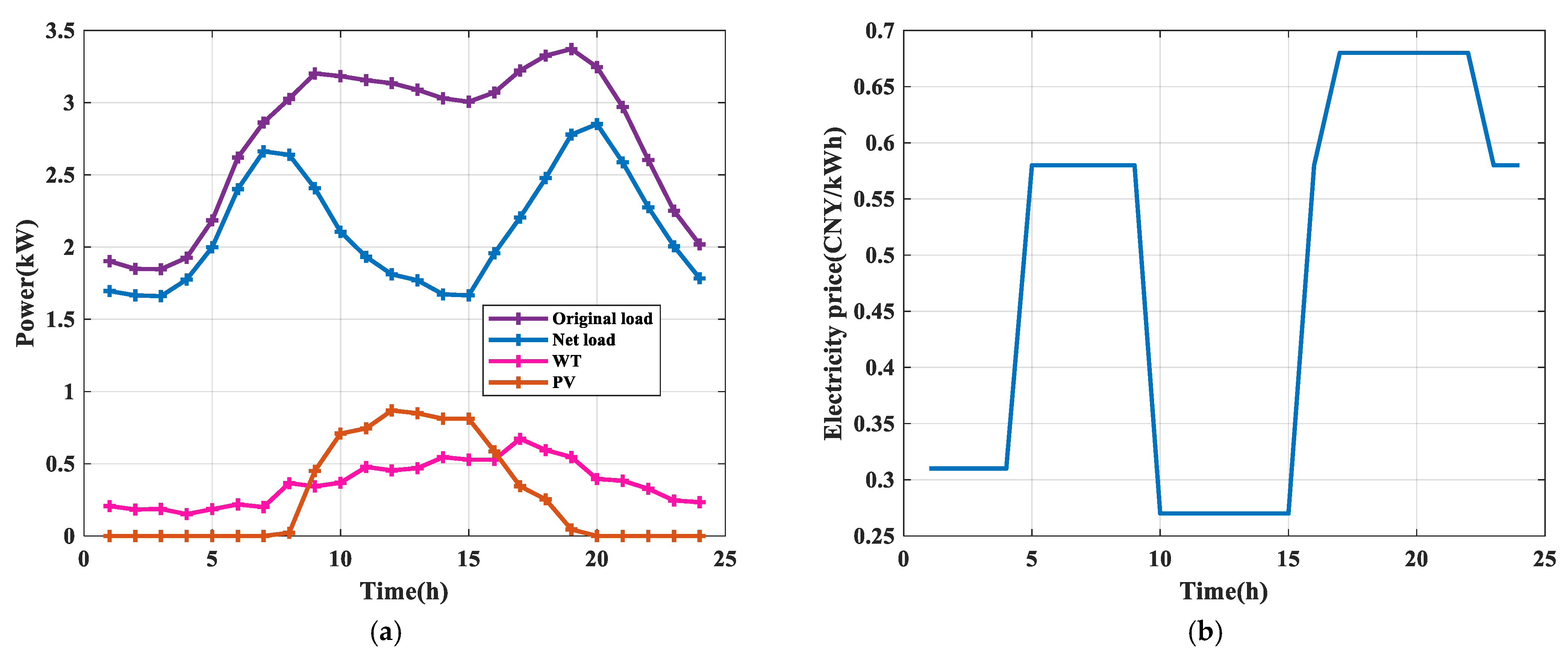
5.1. Parameter Settings
5.2. Cost–Benefit Analysis
5.3. Grid Stability Analysis
6. Discussion
7. Conclusions
- (1)
- Through the cooperative scheduling of the MESS and SOP, the peak-to-valley difference of the grid is reduced by 20.1% and the total voltage deviation is reduced by 52.9%, compared to a scenario without the MESS and SOP. This not only effectively promotes the consumption of renewable energy but also achieves significant economic benefits (mainly from the arbitrage income of the MESS, accounting for about 90.7%), while ensuring the stability of the grid. The dual enhancement of economy and stability provides strong support for the sustainable development of the distribution network.
- (2)
- An SOP can effectively compensate for the limitation that a MESS cannot be continuously connected to the power grid. When not connected to the MESS, the SOP can operate independently, effectively reducing grid losses and voltage deviations, thereby continuously ensuring the economy and stability of the grid. During periods of peak load or high renewable energy generation, the MESS and SOP are jointly dispatched to not only enhance the system stability but also reduce network losses, utilizing the MESS for arbitrage. This not only improves the operational quality of the grid but also provides more reliable grid support for the access of high-penetration distributed energy sources and further promotes the widespread application of renewable energy.
Author Contributions
Funding
Data Availability Statement
Conflicts of Interest
Nomenclature
| Abbreviations | Running cost of SOP | ||
| DG | Distributed generation | TOU electricity price | |
| ESS | Energy storage system | Active loss of line b before optimization at time | |
| MESS | Mobile energy storage system | Optimized active loss of line at time | |
| NSGA-III | Non-dominated sorting genetic algorithm III | Degradation cost factor | |
| PV | Photovoltaic | Unit distance cost factor | |
| SMIP | Stochastic mixed-integer programming | Distance travelled by the th MESS at time | |
| SOC | State of charge | Total voltage deviation | |
| SOP | Soft open point | Voltage value at the th node at time | |
| TOU | Time-of-use | Total number of nodes in the grid | |
| VSC | Voltage source converter | Active power injected by SOP at node at time | |
| WT | Wind turbine | Reactive power injected by SOP at node at time | |
| Variables | SOP rated capacity between nodes and | ||
| Charging power of the th MESS at time | SOP reactive power max at node | ||
| Discharge power of the th MESS at time | SOP reactive power min at node | ||
| Power rating of the th MESS | SOP reactive power max at node | ||
| SOC of the th MESS at time | SOP reactive power min at node | ||
| Charging efficiency | Active power at node at time | ||
| Discharge efficiency | Reactive power at node at time | ||
| Minimum value of the SOC | Voltage amplitude at node at time | ||
| Maximum value of the SOC | Voltage phase difference between nodes and at time | ||
| Start time of the th charge/discharge | Self-conductance of node | ||
| End time of the th charge/discharge | Self-conductance of node | ||
| Travel time of the th charging and discharging node transition | Mutual conductance between nodes and | ||
| Preparation time for charging and discharging | Mutual electrodynamics between nodes and | ||
| Total time frame for daily movement control | DG predicted active power at node at time | ||
| Net movement gains | DG power factor angle at node at time | ||
| Economic gains from MESS charge/discharge arbitrage | DG rated capacity of node at time | ||
| Economic gains from reduced network losses | Current amplitude of line at time | ||
| Costs of MESS battery performance degradation | Minimum value of voltage at node | ||
| Cost of traveling for MESS | Maximum value of voltage at node | ||
References
- Yang, B.; Yu, L.; Chen, Y.; Ye, H.; Shao, R.; Shu, H.; Yu, T.; Zhang, X.; Sun, L. Modelling, applications, and evaluations of optimal sizing and placement of distributed generations: A critical state-of-the-art survey. Int. J. Energy Res. 2021, 45, 3615–3642. [Google Scholar] [CrossRef]
- He, X.; Ai, Q.; Wang, J.; Tao, F.; Pan, B.; Qiu, R.; Yang, B. Situation awareness of energy internet of things in smart city based on digital twin: From digitization to informatization. IEEE Internet Things J. 2023, 10, 7439–7458. [Google Scholar] [CrossRef]
- Hu, Y.; Yang, B.; Wu, P.; Wang, X.; Li, J.; Huang, Y.; Su, R.; He, G.; Yang, J.; Su, S.; et al. Optimal planning of electric-heating integrated energy system in low-carbon park with energy storage system. J. Energy Storage 2024, 99, 113327. [Google Scholar] [CrossRef]
- Li, J.; Yang, B.; Huang, J.; Guo, Z.; Wang, J.; Zhang, R.; Hu, Y.; Shu, H.; Chen, Y.; Yan, Y. Optimal planning of electricity hydrogen hybrid energy storage system considering demand response in active distribution network. Energy 2023, 273, 127142. [Google Scholar] [CrossRef]
- Hosseinpour, J.; Rizvandi, O.; Braun, R. Enhancing thermal management in a reversible solid oxide cell system utilizing thermal energy storage. J. Energy Storage 2025, 114, 115806. [Google Scholar] [CrossRef]
- Hao, Y.; Xu, X.; Wang, F.; Wang, Y.; Du, J.; Wu, C.; Li, Q. Dynamic characteristics of gas-liquid type compressed CO2 energy storage system with focus on high-pressure liquid energy release process. Energy 2025, 316, 134502. [Google Scholar] [CrossRef]
- Yang, B.; Wang, J.; Chen, Y.; Li, D.; Zeng, C.; Chen, Y.; Guo, Z.; Shu, H.; Zhang, X.; Yu, T.; et al. Optimal sizing and placement of energy storage system in power grids: A state-of-the-art one-stop handbook. J. Energy Storage 2020, 32, 101814. [Google Scholar] [CrossRef]
- Yang, B.; Li, J.; Shu, H.; Cai, Z.; Tang, B.; Huang, X.; Zhu, M. Recent advances of optimal sizing and location of charging stations: A critical overview. Int. J. Energy Res. 2022, 46, 17899–17925. [Google Scholar] [CrossRef]
- Kim, S.; Joo, S. Spatiotemporal operation method for mobile virtual power line in power system with mobile energy storage systems. J. Energy Storage 2025, 108, 115196. [Google Scholar] [CrossRef]
- Su, J.; Chen, B.; Xiong, J.; Zhou, Y.; Qiang, D. Research on insulation coordination for back-to-back flexible modular multilevel converter high voltage direct current converter station. Electr. Eng. 2020, 21, 84–89. [Google Scholar]
- Liu, H.; Li, Q.; Zhang, Q.; Xu, Z.; Lu, S. Optimal dispatch of unbalanced distribution networks with phase-changing soft open points based on safe reinforcement learning. Sustain. Energy Grids Netw. 2024, 40, 101521. [Google Scholar]
- Xia, Z.; Ma, W.; Yang, D. Fault recovery strategy of active distribution network considering the coordination between islanding partition and three-terminal intelligent soft open point. J. Electr. Power Sci. Technol. 2024, 39, 124–133. [Google Scholar]
- Sun, C.; Li, J.; Yuan, K.; Song, G.; Ji, J.; Li, P. Two-stage optimization method of soft open point and energy storage system in distribution network based on interval optimization. High Volt. Eng. 2021, 47, 45–54. [Google Scholar]
- Pandzic, H.; Tomin, N.; Yang, D.; Tomin, N. Fault recovery of active distribution network considering translatable load and soft open point. J. Electr. Power Sci. Technol. 2024, 39, 183–192. [Google Scholar]
- Liu, W.; Dong, W.; Chen, Y.; He, S.; Chen, J.; Jia, D. Multi-objective optimization control strategy for soft open point in distribution network with high penetration of DG. Electr. Power 2025, 58, 85–92. [Google Scholar]
- Oleaoregui, E.; Eguia-López, P.; Sanchez-Ruiz, A.; Canas-Acena, J. Autonomous active power dispatching control of soft open points in distribution networks. IEEE Trans. Smart Grid 2025, 16, 2087–2099. [Google Scholar] [CrossRef]
- Lou, G.; Gu, Y.; Gu, W. Distributed restoration method for distribution networks based on the synergy of soft open points and traditional contact switch. Autom. Electr. Power Syst. 2025, 1–17. [Google Scholar] [CrossRef]
- Lu, Z.; Xu, X.; Yan, Z.; Shahidehpour, M. Routing and scheduling of mobile energy storage in coupled transportation and power distribution networks. IEEE Trans. Transp. Electrif. 2022, 8, 2583–2594. [Google Scholar] [CrossRef]
- Nazemi, M.; Dehghanian, P.; Lu, X.; Chen, C. Uncertainty-aware deployment of mobile energy storage systems for distribution grid resilience. IEEE Trans. Smart Grid 2021, 12, 3200–3214. [Google Scholar] [CrossRef]
- He, G.; Michalek, J.; Kar, S.; Chen, Q.; Zhang, D.; Whitacre, J. Utility-scale portable energy storage systems. Joule 2020, 5, 379–392. [Google Scholar] [CrossRef]
- Hu, S.; Liao, K.; Yang, J.; Li, B.; Yang, W. Power supply restoration strategy of urban power grid based on V2G technology. Electr. Power Autom. Equip. 2023, 43, 53–61. [Google Scholar]
- Xu, W.; Sui, Q.; Cao, S.; Lin, X.; Li, Z. Dual-layer optimal dispatching strategy for integrated energy system after disasters considering dynamic grid recovery and flexible resource support. Proc. CSU-EPSA 2024, 36, 67–77. [Google Scholar]
- Tian, K.; Zang, Y.; Wang, J.; Zhang, X. Electricity arbitrage for mobile energy storage in marginal pricing mechanism via bi-level programming. Int. J. Electr. Power Energy Syst. 2024, 162, 110330. [Google Scholar] [CrossRef]
- Chen, H.; Xiong, X.; Zhu, J.; Wang, J.; Wang, W.; He, Y. A two-stage stochastic programming model for resilience enhancement of active distribution networks with mobile energy storage systems. IEEE Trans. Power Deliv. 2024, 39, 2001–2014. [Google Scholar] [CrossRef]
- Zhang, M.; Fu, H.; Wang, X.; Shu, D.; Yang, J.; Yu, P.; Zhu, M.; Tao, J. Disaster management approaches for active distribution networks based on Mobile Energy Storage System. Electr. Power Syst. Res. 2025, 239, 111242. [Google Scholar] [CrossRef]
- Wu, C.; Zhou, D.; Lin, X.; Sui, Q.; Wei, F.; Li, Z. A novel energy cooperation framework for multi-island microgrids based on marine mobile energy storage systems. Energy 2022, 252, 124060. [Google Scholar] [CrossRef]
- Shi, Y.; Sun, Y.; Wang, J.; Lu, X.; Li, H.; Yao, Y.; Xin, Y. Pre-configuration method and scheduling strategy of mobile energy storage vehicles in distribution network considering intermittent load of rural network. Electr. Power Autom. Equip. 2024, 44, 204–212. [Google Scholar]
- Meng, H.; Jia, H.; Xu, T.; Wei, W.; Wu, Y.; Liang, L.; Cai, S.; Liu, Z.; Wang, R.; Li, M. Optimal configuration of cooperative stationary and mobile energy storage considering ambient temperature: A case for Winter Olympic Game. Appl. Energy 2022, 325, 119889. [Google Scholar] [CrossRef]
- Kamel, T.; Zangiabadi, M.; Dong, H.; Tian, Z.; Wade, N.; Pickert, V.; Tricoli, P. Practical demonstration and novel optimization control for a smart soft open point to maximize the synergy between the dc metro line and the lv distribution grid. IEEE Trans. Transp. Electrif. 2025, 11, 1298–1312. [Google Scholar] [CrossRef]
- Bai, L.; Jiang, T.; Li, F.; Chen, H.; Li, X. Distributed energy storage planning in soft open point based active distribution networks incorporating network reconfiguration and DG reactive power capability. Appl. Energy 2018, 210, 1082–1091. [Google Scholar] [CrossRef]
- Wu, Z.; Zhou, M.; Li, G.; Zhao, T.; Zhang, Y.; Liu, X. Interaction between balancing market design and market behaviour of wind power producers in China. Renew. Sustain. Energy Rev. 2020, 132, 110060. [Google Scholar] [CrossRef]
- Tong, W.; Lu, Z.; Zhao, H.; Han, M.; Zhao, G.; Hunt, J. The structure and control strategies of hybrid solid gravity energy storage system. J. Energy Storage 2023, 67, 107570. [Google Scholar] [CrossRef]
- Wu, Z.; Li, Y.; Zhang, X.; Zheng, S.; Zhao, J. Distributed voltage control for multi-feeder distribution networks considering transmission network total voltage deviation based on robust deep reinforcement learning. Appl. Energy 2025, 379, 124984. [Google Scholar] [CrossRef]
- Shen, Y.; Qian, T.; Li, W.; Zhao, W.; Tang, W.; Chen, X.; Yu, Z. Mobile energy storage systems with spatial–temporal flexibility for post-disaster recovery of power distribution systems: A bilevel optimization approach. Energy 2023, 282, 128300. [Google Scholar] [CrossRef]
- Li, Y.; Zhou, S.; Liu, J.; Tong, J.; Dang, J.; Yang, F.; Ouyang, M. Multi-objective optimization of the Atkinson cycle gasoline engine using NSGA III coupled with support vector machine and back-propagation algorithm. Energy 2023, 262, 125262. [Google Scholar] [CrossRef]
- Naderi, E.; Mirzaei, L.; Trimble, J.P.; Cantrell, D.A. Multi-objective optimal power flow incorporating flexible alternating current transmission systems: Application of a wavelet-oriented evolutionary algorithm. Electr. Power Compon. Syst. 2023, 52, 766–795. [Google Scholar] [CrossRef]














| NSGA-III Algorithm Parameters | Value | MOSPO Algorithm Parameters | Value | 
|---|---|---|---|
| Maximum iterations | 600 | Maximum iterations | 600 | 
| Population size | 500 | Population size | 500 | 
| Reference points | 15 | Grid inflation parameter | 0.1 | 
| Crossover percentage | 0.5 | Number of grids per each dimension | 30 | 
| Mutation percentage | 0.5 | Leader selection pressure parameter | 4 | 
| Mutation rate | 0.04 | Extra (to be deleted) repository member selection pressure | 2 | 
| Net Benefits of Scheduling (CNY) | Arbitrage Revenue (CNY) | Benefits of Reducing Network Losses (CNY) | Total Cost of Dispatch (CNY) | Traveling Cost (CNY) | 
|---|---|---|---|---|
| 223.91 | 425.84 | 43.50 | 245.43 | 25.51 | 
| Arithmetic | SF | RF | GSF | 
|---|---|---|---|
| PESA-II | 0.0097165 | 0.44008 | 3.2582 | 
| MOSPO | 0.000169 | 0.0083 | 0.0045 | 
| NSGA III | 0 | 0 | 0 | 
| 0.97 | |
| 0.97 | |
| (km/h) | 80 | 
| (CNY/km) | 1.3 | 
| (min) | 20 | 
| 0.1 | |
| 0.9 | 
| Disclaimer/Publisher’s Note: The statements, opinions and data contained in all publications are solely those of the individual author(s) and contributor(s) and not of MDPI and/or the editor(s). MDPI and/or the editor(s) disclaim responsibility for any injury to people or property resulting from any ideas, methods, instructions or products referred to in the content. | 
© 2025 by the authors. Licensee MDPI, Basel, Switzerland. This article is an open access article distributed under the terms and conditions of the Creative Commons Attribution (CC BY) license (https://creativecommons.org/licenses/by/4.0/).
Share and Cite
Ji, Y.; Zhang, Y.; Chen, L.; Zuo, J.; Wang, W.; Xu, C. The Optimal Dispatch for a Flexible Distribution Network Equipped with Mobile Energy Storage Systems and Soft Open Points. Energies 2025, 18, 2701. https://doi.org/10.3390/en18112701
Ji Y, Zhang Y, Chen L, Zuo J, Wang W, Xu C. The Optimal Dispatch for a Flexible Distribution Network Equipped with Mobile Energy Storage Systems and Soft Open Points. Energies. 2025; 18(11):2701. https://doi.org/10.3390/en18112701
Chicago/Turabian StyleJi, Yu, Ying Zhang, Lei Chen, Juan Zuo, Wenbo Wang, and Chongxin Xu. 2025. "The Optimal Dispatch for a Flexible Distribution Network Equipped with Mobile Energy Storage Systems and Soft Open Points" Energies 18, no. 11: 2701. https://doi.org/10.3390/en18112701
APA StyleJi, Y., Zhang, Y., Chen, L., Zuo, J., Wang, W., & Xu, C. (2025). The Optimal Dispatch for a Flexible Distribution Network Equipped with Mobile Energy Storage Systems and Soft Open Points. Energies, 18(11), 2701. https://doi.org/10.3390/en18112701
 
        

 
       