Assessment of Climate Change Impacts on Renewable Energy Resources in Western North America
Abstract
1. Introduction
2. Data and Methods
2.1. Future Projection Dataset
2.2. Historical Comparison Datasets
2.3. Site Locations of Onshore Wind Farms and Solar Farms
2.4. Solar and Wind Capacity Factors
2.5. Definition of Energy Resource Drought
3. Results
3.1. Model Intercomparison
3.2. Renewable Energy Resources in the Future
3.3. Energy Resource Drought Assessment
4. Applications
4.1. Day-Ahead Capacity Factor Prediction
4.2. Offshore Wind Potential
5. Discussion
6. Conclusions
Supplementary Materials
Author Contributions
Funding
Data Availability Statement
Conflicts of Interest
Abbreviations
| CAMX | California (electrical grid region) |
| CF | Capacity factor |
| CMIP5 | The Fifth Coupled Model Intercomparison Project |
| CMIP6 | The Sixth Coupled Model Intercomparison Project |
| DOE | Department of Energy |
| DSW | Desert Southwest (electrical grid region) |
| E3SM | Energy Exascale Earth System Model |
| ECMWF | European Centre for Medium-Range Weather Forecast |
| EIA | Energy Information Administration |
| ERA5 | The fifth-generation European Centre for Medium-Range Weather Forecast reanalysis |
| GCM | Global climate model |
| GFDL | Geophysical Fluid Dynamics Laboratory |
| HighResMIP | High-Resolution Model Intercomparison Project |
| IPCC | Intergovernmental Panel on Climate Change |
| MPAS | Model for Prediction Across Scales |
| MRI | Meteorological Research Institute |
| NARRM | North American Regionally Refined Model |
| NWPP-C | Northwest Power Pool-Central (electrical grid region) |
| NWPP-NE | Northwest Power Pool-Northeast (electrical grid region) |
| NWPP-NW | Northwest Power Pool-Northwest (electrical grid region) |
| PV | Photovoltaic |
| RCEC | Research Center for Environmental Changes |
| RCP8.5 | Representative Concentration Pathway 8.5 |
| WECC | Western Electricity Coordinating Council |
| WRF | Weather Research and Forecasting |
References
- Craig, M.T.; Cohen, S.; Macknick, J.; Draxl, C.; Guerra, O.J.; Sengupta, M.; Haupt, S.E.; Hodge, B.-M.; Brancucci, C. A review of the potential impacts of climate change on bulk power system planning and operations in the United States. Renew. Sustain. Energy Rev. 2018, 98, 255–267. [Google Scholar] [CrossRef]
- Auffhammer, M.; Baylis, P.; Hausman, C.H. Climate change is projected to have severe impacts on the frequency and intensity of peak electricity demand across the United States. Proc. Natl. Acad. Sci. USA 2017, 114, 1886–1891. [Google Scholar] [CrossRef] [PubMed]
- Sathaye, J.A.; Dale, L.L.; Larsen, P.H.; Fitts, G.A.; Koy, K.; Lewis, S.M.; de Lucena, A.F.P. Estimating impacts of warming temperatures on California’s electricity system. Glob. Environ. Change 2013, 23, 499–511. [Google Scholar] [CrossRef]
- Haupt, S.E.; Copeland, J.; Cheng, W.Y.Y.; Zhang, Y.; Ammann, C.; Sullivan, P. A Method to Assess the Wind and Solar Resource and to Quantify Interannual Variability over the United States under Current and Projected Future Climate. J. Appl. Meteorol. Climatol. 2016, 55, 345–363. (In English) [Google Scholar] [CrossRef]
- Huber, I.; Bugliaro, L.; Ponater, M.; Garny, H.; Emde, C.; Mayer, B. Do climate models project changes in solar resources? Sol. Energy 2016, 129, 65–84. [Google Scholar] [CrossRef]
- Wild, M.; Folini, D.; Henschel, F.; Fischer, N.; Müller, B. Projections of long-term changes in solar radiation based on CMIP5 climate models and their influence on energy yields of photovoltaic systems. Sol. Energy 2015, 116, 12–24. [Google Scholar] [CrossRef]
- Crook, J.A.; Jones, L.A.; Forster, P.M.; Crook, R. Climate change impacts on future photovoltaic and concentrated solar power energy output. Energy Environ. Sci. 2011, 4, 3101–3109. [Google Scholar] [CrossRef]
- Gernaat, D.E.H.J.; de Boer, H.S.; Daioglou, V.; Yalew, S.G.; Müller, C.; van Vuuren, D.P. Climate change impacts on renewable energy supply. Nat. Clim. Change 2021, 11, 119–125. [Google Scholar] [CrossRef]
- Johnson, D.L.; Erhardt, R.J. Projected impacts of climate change on wind energy density in the United States. Renew. Energy 2016, 85, 66–73. [Google Scholar] [CrossRef]
- Kulkarni, S.; Huang, H.-P. Changes in Surface Wind Speed over North America from CMIP5 Model Projections and Implications for Wind Energy. Adv. Meteorol. 2014, 2014, 292768. [Google Scholar] [CrossRef]
- Liu, B.; Costa, K.B.; Xie, L.; Semazzi, F.H.M. Dynamical Downscaling of Climate Change Impacts on Wind Energy Resources in the Contiguous United States by Using a Limited-Area Model with Scale-Selective Data Assimilation. Adv. Meteorol. 2014, 2014, 897246. [Google Scholar] [CrossRef]
- Coburn, J.; Pryor, S.C. Projecting Future Energy Production from Operating Wind Farms in North America. Part II: Statistical Downscaling. J. Appl. Meteorol. Climatol. 2023, 62, 81–101. (In English) [Google Scholar] [CrossRef]
- Pryor, S.C.; Barthelmie, R.J.; Bukovsky, M.S.; Leung, L.R.; Sakaguchi, K. Climate change impacts on wind power generation. Nat. Rev. Earth Environ. 2020, 1, 627–643. [Google Scholar] [CrossRef]
- Solaun, K.; Cerdá, E. Climate change impacts on renewable energy generation. A review of quantitative projections. Renew. Sustain. Energy Rev. 2019, 116, 109415. [Google Scholar] [CrossRef]
- Pryor, S.C.; Coburn, J.J.; Barthelmie, R.J.; Shepherd, T.J. Projecting Future Energy Production from Operating Wind Farms in North America. Part I: Dynamical Downscaling. J. Appl. Meteorol. Climatol. 2023, 62, 63–80. (In English) [Google Scholar] [CrossRef]
- Brown, P.T.; Farnham, D.J.; Caldeira, K. Meteorology and climatology of historical weekly wind and solar power resource droughts over western North America in ERA5. SN Appl. Sci. 2021, 3, 814. [Google Scholar] [CrossRef]
- François, B.; Hingray, B.; Raynaud, D.; Borga, M.; Creutin, J.D. Increasing climate-related-energy penetration by integrating run-of-the river hydropower to wind/solar mix. Renew. Energy 2016, 87, 686–696. [Google Scholar] [CrossRef]
- Jacob, D.; Petersen, J.; Eggert, B.; Alias, A.; Christensen, O.B.; Bouwer, L.M.; Braun, A.; Colette, A.; Déqué, M.; Georgievski, G.; et al. EURO-CORDEX: New high-resolution climate change projections for European impact research. Reg. Environ. Change 2014, 14, 563–578. [Google Scholar] [CrossRef]
- Raynaud, D.; Hingray, B.; François, B.; Creutin, J.D. Energy droughts from variable renewable energy sources in European climates. Renew. Energy 2018, 125, 578–589. [Google Scholar] [CrossRef]
- Jerez, S.; Tobin, I.; Vautard, R.; Montávez, J.P.; López-Romero, J.M.; Thais, F.; Bartok, B.; Christensen, O.B.; Colette, A.; Déqué, M.; et al. The impact of climate change on photovoltaic power generation in Europe. Nat. Commun. 2015, 6, 10014. [Google Scholar] [CrossRef]
- Tobin, I.; Vautard, R.; Balog, I.; Bréon, F.-M.; Jerez, S.; Ruti, P.M.; Thais, F.; Vrac, M.; Yiou, P. Assessing climate change impacts on European wind energy from ENSEMBLES high-resolution climate projections. Clim. Change 2015, 128, 99–112. [Google Scholar] [CrossRef]
- Plain, N.; Hingray, B.; Mathy, S. Accounting for low solar resource days to size 100% solar microgrids power systems in Africa. Renew. Energy 2019, 131, 448–458. [Google Scholar] [CrossRef]
- Bichet, A.; Hingray, B.; Evin, G.; Diedhiou, A.; Kebe, C.M.F.; Anquetin, S. Potential impact of climate change on solar resource in Africa for photovoltaic energy: Analyses from CORDEX-AFRICA climate experiments. Environ. Res. Lett. 2019, 14, 124039. [Google Scholar] [CrossRef]
- Arthur, R.S.; Golaz, J.C.; Lee, H.H.; Wert, J.; Signorotti, M.; Watson, J.P. Perspective: High-resolution climate model datasets for energy infrastructure planning in a renewable-dependent future. J. Renew. Sustain. Energy 2025, 17, 032301. [Google Scholar] [CrossRef]
- Mizuta, R.; Yoshimura, H.; Ose, T.; Hosaka, M.; Yukimoto, S. MRI MRI-AGCM3-2-S Model Output Prepared for CMIP6 HighResMIP highresSST-Present; Earth System Grid Federation, 2019. [Google Scholar] [CrossRef]
- Mizuta, R.; Yoshimura, H.; Ose, T.; Hosaka, M.; Yukimoto, S. MRI MRI-AGCM3-2-S Model Output Prepared for CMIP6 HighResMIP highresSST-Future; Earth System Grid Federation, 2019. [Google Scholar] [CrossRef]
- Haarsma, R.J.; Roberts, M.J.; Vidale, P.L.; Senior, C.A.; Bellucci, A.; Bao, Q.; Chang, P.; Corti, S.; Fučkar, N.S.; Guemas, V.; et al. High Resolution Model Intercomparison Project (HighResMIP v1.0) for CMIP6. Geosci. Model Dev. 2016, 9, 4185–4208. [Google Scholar] [CrossRef]
- Tu, C.-Y. AS-RCEC HiRAM-SIT-HR Model Output Prepared for CMIP6 HighResMIP highresSST-Present; Earth System Grid Federation, 2020. [Google Scholar] [CrossRef]
- Golaz, J.-C.; Van Roekel, L.P.; Zheng, X.; Roberts, A.F.; Wolfe, J.D.; Lin, W.; Bradley, A.M.; Tang, Q.; Maltrud, M.E.; Forsyth, R.M.; et al. The DOE E3SM Model Version 2: Overview of the Physical Model and Initial Model Evaluation. J. Adv. Model. Earth Syst. 2022, 14, e2022MS003156. [Google Scholar] [CrossRef]
- Tang, Q.; Golaz, J.C.; Van Roekel, L.P.; Taylor, M.A.; Lin, W.; Hillman, B.R.; Ullrich, P.A.; Bradley, A.M.; Guba, O.; Wolfe, J.D.; et al. The fully coupled regionally refined model of E3SM version 2: Overview of the atmosphere, land, and river results. Geosci. Model Dev. 2023, 16, 3953–3995. [Google Scholar] [CrossRef]
- Hersbach, H.; Bell, B.; Berrisford, P.; Hirahara, S.; Horányi, A.; Muñoz-Sabater, J.; Nicolas, J.; Peubey, C.; Radu, R.; Schepers, D.; et al. The ERA5 global reanalysis. Q. J. R. Meteorol. Soc. 2020, 146, 1999–2049. [Google Scholar] [CrossRef]
- Hersbach, H.; Comyn-Platt, E.; Bell, B.; Berrisford, P.; Biavati, G.; Horányi, A.; Muñoz Sabater, J.; Nicolas, J.; Peubey, C.; Radu, R.; et al. ERA5 Post-Processed Daily-Statistics on Pressure Levels from 1940 to Present; Copernicus Climate Change Service (C3S) Climate Data Store (CDS), 2023. [Google Scholar] [CrossRef]
- IEA. World Energy Investment 2023. IEA. 2023. Available online: https://www.iea.org/reports/world-energy-investment-2023 (accessed on 27 June 2025).
- WECC. Western Assessment of Resource Adequacy. 2022. Available online: https://www.wecc.org/sites/default/files/documents/program/2024/WARA%202021.pdf (accessed on 27 June 2025).
- Wilczak, J.M.; Akish, E.; Capotondi, A.; Compo, G.P. Evaluation and Bias Correction of the ERA5 Reanalysis over the United States for Wind and Solar Energy Applications. Energies 2024, 17, 1667. [Google Scholar] [CrossRef]
- Bett, P.E.; Thornton, H.E. The climatological relationships between wind and solar energy supply in Britain. Renew. Energy 2016, 87, 96–110. [Google Scholar] [CrossRef]
- Huld, T.; Šúri, M.; Dunlop, E.D. Geographical variation of the conversion efficiency of crystalline silicon photovoltaic modules in Europe. Prog. Photovolt. Res. Appl. 2008, 16, 595–607. [Google Scholar] [CrossRef]
- Brayshaw, D.J.; Troccoli, A.; Fordham, R.; Methven, J. The impact of large scale atmospheric circulation patterns on wind power generation and its potential predictability: A case study over the UK. Renew. Energy 2011, 36, 2087–2096. [Google Scholar] [CrossRef]
- Peterson, E.W.; Hennessey, J.P. On the Use of Power Laws for Estimates of Wind Power Potential. J. Appl. Meteorol. Climatol. 1978, 17, 390–394. (In English) [Google Scholar] [CrossRef]
- Hsu, S.A.; Meindl, E.A.; Gilhousen, D.B. Determining the Power-Law Wind-Profile Exponent under Near-Neutral Stability Conditions at Sea. J. Appl. Meteorol. Climatol. 1994, 33, 757–765. [Google Scholar] [CrossRef]
- Veronesi, F.; Grassi, S. Comparison of hourly and daily wind speed observations for the computation of Weibull parameters and power output. In Proceedings of the 2015 3rd International Renewable and Sustainable Energy Conference (IRSEC), Marrakech, Morocco, 10–13 December 2015; pp. 1–6. [Google Scholar]
- Rinaldi, K.Z.; Dowling, J.A.; Ruggles, T.H.; Caldeira, K.; Lewis, N.S. Wind and Solar Resource Droughts in California Highlight the Benefits of Long-Term Storage and Integration with the Western Interconnect. Environ. Sci. Technol. 2021, 55, 6214–6226. [Google Scholar] [CrossRef]
- Hawkins, E.; Sutton, R. The Potential to Narrow Uncertainty in Regional Climate Predictions. Bull. Am. Meteorol. Soc. 2009, 90, 1095–1108. (In English) [Google Scholar] [CrossRef]
- Deser, C.; Phillips, A.; Bourdette, V.; Teng, H. Uncertainty in climate change projections: The role of internal variability. Clim. Dyn. 2012, 38, 527–546. [Google Scholar] [CrossRef]
- Evin, G.; Somot, S.; Hingray, B. Balanced estimate and uncertainty assessment of European climate change using the large EURO-CORDEX regional climate model ensemble. Earth Syst. Dynam. 2021, 12, 1543–1569. [Google Scholar] [CrossRef]
- Hingray, B.; Blanchet, J.; Evin, G.; Vidal, J.-P. Uncertainty component estimates in transient climate projections. Clim. Dyn. 2019, 53, 2501–2516. [Google Scholar] [CrossRef]
- Aitken, G.; Beevers, L.; Parry, S.; Facer-Childs, K. Partitioning model uncertainty in multi-model ensemble river flow projections. Clim. Change 2023, 176, 153. [Google Scholar] [CrossRef]
- Hempel, S.; Frieler, K.; Warszawski, L.; Schewe, J.; Piontek, F. A trend-preserving bias correction – the ISI-MIP approach. Earth Syst. Dynam. 2013, 4, 219–236. [Google Scholar] [CrossRef]
- Teutschbein, C.; Seibert, J. Bias correction of regional climate model simulations for hydrological climate-change impact studies: Review and evaluation of different methods. J. Hydrol. 2012, 456–457, 12–29. [Google Scholar] [CrossRef]
- Campos, R.M.; Gramcianinov, C.B.; de Camargo, R.; da Silva Dias, P.L. Assessment and Calibration of ERA5 Severe Winds in the Atlantic Ocean Using Satellite Data. Remote Sens. 2022, 14, 4918. [Google Scholar] [CrossRef]
- Bresesti, P.; Kling, W.L.; Hendriks, R.L.; Vailati, R. HVDC Connection of Offshore Wind Farms to the Transmission System. IEEE Trans. Energy Convers. 2007, 22, 37–43. [Google Scholar] [CrossRef]












| Model (Name Used in This Paper) | Horizontal Spacing | Temporal Resolution | Time Period | References |
|---|---|---|---|---|
| MRI-AGCM3-2-S (MRI) | 25 km | Daily/3-hourly 3-hourly 3-hourly | 1979–2014 2015–2050 2062–2097 | Mizuta et al. [25] Mizuta et al. [26] Mizuta et al. [26] |
| HiRAM-SIT-HR (AS_RCEC) | 25 km | Daily | 1979–2014 | Tu [28] |
| E3SMv2 NARRM (E3SM) | 25~110 km | Daily | 1979–2014 | Golaz et al. [29], Tang et al. [30] |
| ERA5 (ERA5) | 31 km | Daily | 1979–2014 | Hersbach et al. [31] |
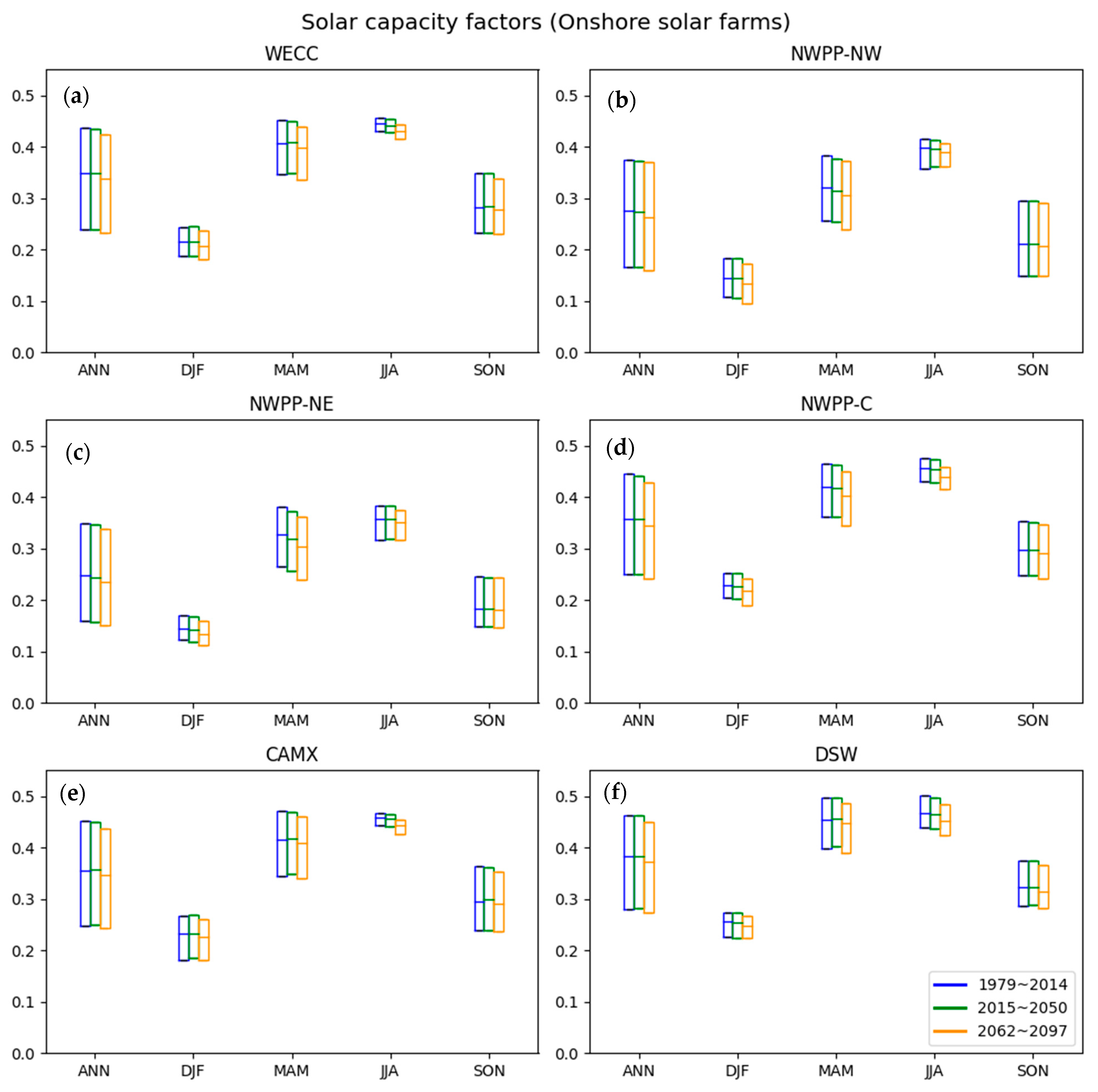
| WECC | ANN | DJF | MAM | JJA | SON |
| 1979–2014 | 0.336 | 0.217 | 0.395 | 0.441 | 0.288 |
| 2015–2050 | 0.336 (−0.09%) | 0.217 (0.13%) | 0.395 (−0.05%) | 0.439 (−0.45%) | 0.289 (0.27%) |
| 2062–2097 | 0.326 (−2.86%) | 0.210 (−3.49%) | 0.385 (−2.73%) | 0.427 (−3.20%) | 0.282 (−2.04%) |
| NWPP-NW | ANN | DJF | MAM | JJA | SON |
| 1979–2014 | 0.268 | 0.150 | 0.318 | 0.382 | 0.221 |
| 2015–2050 | 0.267 (−0.71%) | 0.150 (−0.50%) | 0.311 (−2.03%) | 0.382 (0.10%) | 0.220 (−0.33%) |
| 2062–2097 | 0.260 (−3.21%) | 0.138 (−8.30%) | 0.302 (−4.86%) | 0.379 (−0.74%) | 0.217 (−1.67%) |
| NWPP-NE | ANN | DJF | MAM | JJA | SON |
| 1979–2014 | 0.254 | 0.147 | 0.322 | 0.346 | 0.199 |
| 2015–2050 | 0.252 (−1.01%) | 0.145 (−1.33%) | 0.314 (−2.43%) | 0.346 (0.06%) | 0.199 (−0.36%) |
| 2062–2097 | 0.244 (−4.14%) | 0.136 (−7.23%) | 0.300 (−7.00%) | 0.341 (−1.33%) | 0.195 (−2.16%) |
| NWPP-C | ANN | DJF | MAM | JJA | SON |
| 1979–2014 | 0.348 | 0.231 | 0.411 | 0.450 | 0.299 |
| 2015–2050 | 0.347 (−0.46%) | 0.229 (−0.94%) | 0.409 (−0.54%) | 0.448 (−0.43%) | 0.299 (−0.05%) |
| 2062–2097 | 0.335 (−3.92%) | 0.217 (−6.14%) | 0.394 (−4.14%) | 0.433 (−3.60%) | 0.292 (−2.41%) |
| CAMX | ANN | DJF | MAM | JJA | SON |
| 1979–2014 | 0.343 | 0.223 | 0.398 | 0.454 | 0.295 |
| 2015–2050 | 0.344 (0.29%) | 0.225 (1.21%) | 0.400 (0.52%) | 0.451 (−0.56%) | 0.297 (0.61%) |
| 2062–2097 | 0.335 (−2.39%) | 0.218 (−2.06%) | 0.391 (−1.80%) | 0.437 (−3.61%) | 0.291 (−1.53%) |
| DSW | ANN | DJF | MAM | JJA | SON |
| 1979–2014 | 0.372 | 0.251 | 0.442 | 0.466 | 0.325 |
| 2015–2050 | 0.371 (−0.05%) | 0.250 (−0.55%) | 0.444 (0.60%) | 0.463 (−0.60%) | 0.326 (0.23%) |
| 2062–2097 | 0.363 (−2.45%) | 0.246 (−1.93%) | 0.433 (−1.99%) | 0.450 (−3.44%) | 0.318 (−2.04%) |
| WECC | ANN | DJF | MAM | JJA | SON |
| 1979–2014 | 0.163 | 0.193 | 0.183 | 0.129 | 0.147 |
| 2015–2050 | 0.163 (0.05%) | 0.196 (1.23%) | 0.180 (−1.28%) | 0.129 (0.00%) | 0.148 (0.23%) |
| 2062–2097 | 0.151 (−7.50%) | 0.182 (−5.72%) | 0.166 (−9.42%) | 0.118 (−8.11%) | 0.137 (−6.88%) |
| NWPP-NW | ANN | DJF | MAM | JJA | SON |
| 1979–2014 | 0.128 | 0.155 | 0.135 | 0.109 | 0.115 |
| 2015–2050 | 0.126 (−1.54%) | 0.155 (0.00%) | 0.130 (−3.50%) | 0.107 (−1.90%) | 0.114 (−0.94%) |
| 2062–2097 | 0.115 (−10.62%) | 0.140 (−9.69%) | 0.115 (−14.86%) | 0.099 (−8.94%) | 0.105 (−8.47%) |
| NWPP-NE | ANN | DJF | MAM | JJA | SON |
| 1979–2014 | 0.212 | 0.299 | 0.217 | 0.130 | 0.203 |
| 2015–2050 | 0.211 (−0.45%) | 0.304 (1.77%) | 0.208 (−4.09%) | 0.127 (−2.19%) | 0.205 (1.40%) |
| 2062–2097 | 0.191 (−9.89%) | 0.280 (−6.26%) | 0.183 (−15.53%) | 0.109 (−15.93%) | 0.192 (−5.16%) |
| NWPP-C | ANN | DJF | MAM | JJA | SON |
| 1979–2014 | 0.157 | 0.147 | 0.195 | 0.143 | 0.142 |
| 2015–2050 | 0.159 (1.44%) | 0.151 (2.51%) | 0.196 (0.52%) | 0.144 (1.26%) | 0.145 (1.79%) |
| 2062–2097 | 0.147 (−6.55%) | 0.142 (−3.68%) | 0.183 (−6.49%) | 0.129 (−9.91%) | 0.133 (−6.15%) |
| CAMX | ANN | DJF | MAM | JJA | SON |
| 1979–2014 | 0.131 | 0.106 | 0.154 | 0.158 | 0.106 |
| 2015–2050 | 0.134 (1.82%) | 0.105 (−0.72%) | 0.161 (4.14%) | 0.164 (3.53%) | 0.104 (−1.67%) |
| 2062–2097 | 0.131 (−0.18%) | 0.105 (−0.82%) | 0.158 (2.19%) | 0.164 (3.85%) | 0.096 (−9.14%) |
| DSW | ANN | DJF | MAM | JJA | SON |
| 1979–2014 | 0.178 | 0.204 | 0.230 | 0.121 | 0.156 |
| 2015–2050 | 0.179 (0.85%) | 0.208 (1.76%) | 0.233 (0.95%) | 0.123 (1.46%) | 0.154 (−0.99%) |
| 2062–2097 | 0.170 (−4.26%) | 0.201 (−1.76%) | 0.224 (−2.85%) | 0.116 (−4.61%) | 0.141 (−9.35%) |
Disclaimer/Publisher’s Note: The statements, opinions and data contained in all publications are solely those of the individual author(s) and contributor(s) and not of MDPI and/or the editor(s). MDPI and/or the editor(s) disclaim responsibility for any injury to people or property resulting from any ideas, methods, instructions or products referred to in the content. |
© 2025 by the authors. Licensee MDPI, Basel, Switzerland. This article is an open access article distributed under the terms and conditions of the Creative Commons Attribution (CC BY) license (https://creativecommons.org/licenses/by/4.0/).
Share and Cite
Lee, H.-H.; Arthur, R.S.; Golaz, J.-C.; Edmunds, T.A.; Wert, J.L.; Signorotti, M.V.; Watson, J.-P. Assessment of Climate Change Impacts on Renewable Energy Resources in Western North America. Energies 2025, 18, 3467. https://doi.org/10.3390/en18133467
Lee H-H, Arthur RS, Golaz J-C, Edmunds TA, Wert JL, Signorotti MV, Watson J-P. Assessment of Climate Change Impacts on Renewable Energy Resources in Western North America. Energies. 2025; 18(13):3467. https://doi.org/10.3390/en18133467
Chicago/Turabian StyleLee, Hsiang-He, Robert S. Arthur, Jean-Christophe Golaz, Thomas A. Edmunds, Jessica L. Wert, Matthew V. Signorotti, and Jean-Paul Watson. 2025. "Assessment of Climate Change Impacts on Renewable Energy Resources in Western North America" Energies 18, no. 13: 3467. https://doi.org/10.3390/en18133467
APA StyleLee, H.-H., Arthur, R. S., Golaz, J.-C., Edmunds, T. A., Wert, J. L., Signorotti, M. V., & Watson, J.-P. (2025). Assessment of Climate Change Impacts on Renewable Energy Resources in Western North America. Energies, 18(13), 3467. https://doi.org/10.3390/en18133467

