Features of Hydrogen-Enriched Methane–Air Flames Propagating in Hele-Shaw Channels
Abstract
1. Introduction
2. Materials and Methods
2.1. Apparatus
2.2. Experimental Procedure
2.3. Video Processing
3. Results
3.1. Experimental Conditions
3.2. Cellular Flame Features
3.3. Flame Propagation Speed
3.4. Flame Front Properties and Cell Statistics
- The number of cells on the flame front, ;
- The cell width , defined as the distance between the angular points (cusps) delimiting the i-th cell;
- The cell arc length , obtained as the length of the actual flame front within the current i-th cell;
- The actual flame length, ;
- The flame length, defined by the polyline connecting all cell angles, ;
- The ratio of the actual and polyline flame lengths, .
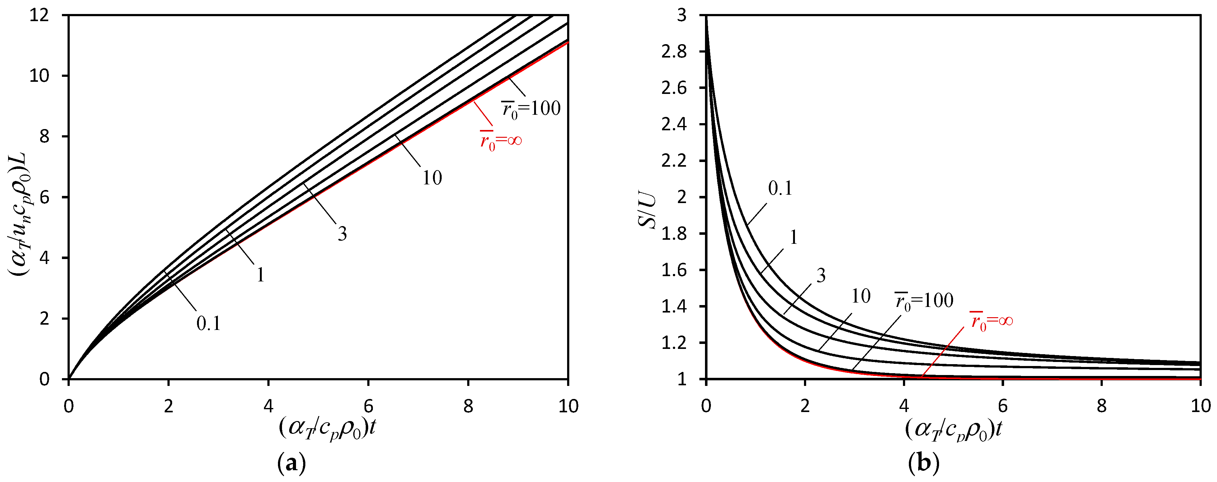
4. One-Dimensional Theory of Flame Propagation in Diverging Hele-Shaw Channel
5. Discussion
6. Conclusions
- Stoichiometric hydrogen-enriched methane–air flames propagating in diverging Hele-Shaw cells for the most part behave similarly to methane–air flames, albeit with few quantitative differences;
- Hydrogen addition increases the laminar burning velocity of fuel-air mixture, which is reflected by the visible cellular flame speed; however, the visible speed grows faster than the normal flame speed;
- Hydrogen-enriched methane–air flames possess a larger average cell size than stoichiometric methane–air mixtures;
- Hydrogen addition facilitates the onset of flame oscillations upon propagation from the closed narrow channel end: in the 3.5 mm gap, methane–air and methane–hydrogen–air at hydrogen contents of up to 25% propagate at a constant or slowly varying speed; however, at 50% hydrogen content in the fuel, significant flame velocity oscillations are observed. A similar onset of oscillations was observed in our previous experiments for methane–air flames propagating in diverging Hele-Shaw channels with a gap width of 5 mm and wider;
- The visible flame speed oscillations are of a non-acoustic nature because their frequency (about 5–10 Hz) is well below the frequency of sound waves traveling between the closed and open channel ends (about 1 kHz). These self-induced oscillations are of a relaxation type, caused by the feedback between gas expansion (due to heat release in the flame) and contraction (due to cooling by channel walls). These oscillations are specific to ignition near the closed channel end, and they are absent in the case of a flame propagating from the open towards the closed channel end, where combustion products flow out freely behind the flame;
- The exact reasons for the onset of flame oscillations in our experiments have yet to be studied in detail by theoretical or numerical analysis. Few possible reasons can be suggested: (i) hydrogen addition decreases the output of carbon dioxide, diminishing the viscosity of the combustion products, and weakening the stabilizing role of viscous friction; (ii) steam condensation on cold channel walls can play some role by changing the composition of combustion products; (iii) increase in the expansion ratio (ratio of densities in front of and behind the flame) increases the perturbation growth rate due to Darrieus–Landau instability, resulting in faster development of cellular flame structure.
- Theoretical considerations of non-oscillating flame propagation reveal the reasons for the dependence of visible flame speed on the channel opening angle: it is shown that a larger visible flame speed in wider channels is not related to lower heat losses or drag, but is explained by purely geometrical considerations.
Author Contributions
Funding
Data Availability Statement
Conflicts of Interest
References
- Sundén, B. Hydrogen. In Hydrogen, Batteries and Fuel Cells; Elsevier: Amsterdam, The Netherlands, 2019; Chapter 3; pp. 37–55. ISBN 9780128169506. [Google Scholar]
- Hydrogen Council. Available online: https://hydrogencouncil.com/en/ (accessed on 20 November 2024).
- Migliavacca, G.; Carlini, C.; Domenighini, P.; Zagano, C. Hydrogen: Prospects and Criticalities for Future Development and Analysis of Present EU and National Regulation. Energies 2024, 17, 4827. [Google Scholar] [CrossRef]
- Chirosca, A.; Rusu, E.; Minzu, V. Green Hydrogen—Production and Storage Methods: Current Status and Future Directions. Energies 2024, 17, 5820. [Google Scholar] [CrossRef]
- Clarke, M.C. Can the Hydrogen Economy Concept Be the Solution to the Future Energy Crisis? Aust. J. Multi-Discip. Eng. 2022, 18, 70–84. [Google Scholar] [CrossRef]
- Molkov, V.; Kashkarov, S.; Sivaraman, S.; Makarov, D. Hazards and Associated Risks of Hydrogen Vehicles in Underground Traffic Infrastructure. Chem. Eng. Trans. 2023, 105, 43–48. [Google Scholar] [CrossRef]
- Cirrone, D.; Makarov, D.; Molkov, V. Rethinking “BLEVE Explosion” after Liquid Hydrogen Storage Tank Rupture in a Fire. Int. J. Hydrogen Energy 2023, 48, 8716–8730. [Google Scholar] [CrossRef]
- Makarov, D.; Shentsov, V.; Kuznetsov, M.; Molkov, V. Hydrogen Tank Rupture in Fire in the Open Atmosphere: Hazard Distance Defined by Fireball. Hydrogen 2021, 2, 134–146. [Google Scholar] [CrossRef]
- Molkov, V.V.; Cirrone, D.M.C.; Shentsov, V.V.; Dery, W.; Kim, W.; Makarov, D.V. Dynamics of Blast Wave and Fireball after Hydrogen Tank Rupture in a Fire in the Open Atmosphere. Int. J. Hydrogen Energy 2021, 46, 4644–4665. [Google Scholar] [CrossRef]
- Makaryan, I.A.; Sedov, I.V.; Salgansky, E.A.; Arutyunov, A.V.; Arutyunov, V.S. A Comprehensive Review on the Prospects of Using Hydrogen–Methane Blends: Challenges and Opportunities. Energies 2022, 15, 2265. [Google Scholar] [CrossRef]
- Hu, E.; Huang, Z.; He, J.; Jin, C.; Zheng, J. Experimental and Numerical Study on Laminar Burning Characteristics of Premixed Methane–Hydrogen–Air Flames. Int. J. Hydrogen Energy 2009, 34, 4876–4888. [Google Scholar] [CrossRef]
- Boushaki, T.; Dhué, Y.; Selle, L.; Ferret, B.; Poinsot, T. Effects of Hydrogen and Steam Addition on Laminar Burning Velocity of Methane–Air Premixed Flame: Experimental and Numerical Analysis. Int. J. Hydrogen Energy 2012, 37, 9412–9422. [Google Scholar] [CrossRef]
- Ji, C.; Wang, D.; Yang, J.; Wang, S. A Comprehensive Study of Light Hydrocarbon Mechanisms Performance in Predicting Methane/Hydrogen/Air Laminar Burning Velocities. Int. J. Hydrogen Energy 2017, 42, 17260–17274. [Google Scholar] [CrossRef]
- Kim, H.Y.; Kim, N. Il Optimized Global Reaction Mechanisms for H2, CO, CH4, and Their Mixtures. Int. J. Hydrogen Energy 2023, 48, 24101–24112. [Google Scholar] [CrossRef]
- Halter, F.; Chauveau, C.; Djebaïli-Chaumeix, N.; Gökalp, I. Characterization of the Effects of Pressure and Hydrogen Concentration on Laminar Burning Velocities of Methane–Hydrogen–Air Mixtures. Proc. Combust. Inst. 2005, 30, 201–208. [Google Scholar] [CrossRef]
- Shen, X.; Xiu, G.; Wu, S. Experimental Study on the Explosion Characteristics of Methane/Air Mixtures with Hydrogen Addition. Appl. Therm. Eng. 2017, 120, 741–747. [Google Scholar] [CrossRef]
- Nilsson, E.J.K.; van Sprang, A.; Larfeldt, J.; Konnov, A.A. The Comparative and Combined Effects of Hydrogen Addition on the Laminar Burning Velocities of Methane and Its Blends with Ethane and Propane. Fuel 2017, 189, 369–376. [Google Scholar] [CrossRef]
- Reyes, M.; Sastre, R.; Giménez, B.; Sesma, C. Experimental, Kinetic Modeling and Morphologic Study of the Premixed Combustion of Hydrogen/Methane Mixtures. Energies 2022, 15, 3722. [Google Scholar] [CrossRef]
- Wang, Y.; Movaghar, A.; Wang, Z.; Liu, Z.; Sun, W.; Egolfopoulos, F.N.; Chen, Z. Laminar Flame Speeds of Methane/Air Mixtures at Engine Conditions: Performance of Different Kinetic Models and Power-Law Correlations. Combust. Flame 2020, 218, 101–108. [Google Scholar] [CrossRef]
- Ren, F.; Chu, H.; Xiang, L.; Han, W.; Gu, M. Effect of Hydrogen Addition on the Laminar Premixed Combustion Characteristics the Main Components of Natural Gas. J. Energy Inst. 2019, 92, 1178–1190. [Google Scholar] [CrossRef]
- Ren, S.; Huang, J.; Ban, J.; Long, J.; Wang, X.; Liu, G. Research on the Dynamic Leaking and Diffusion Law of Hydrogen-Blended Natural Gas under the Soil–Atmosphere Coupled Model. Energies 2024, 17, 5035. [Google Scholar] [CrossRef]
- Ju, Y.; Maruta, K. Microscale Combustion: Technology Development and Fundamental Research. Prog. Energy Combust. Sci. 2011, 37, 669–715. [Google Scholar] [CrossRef]
- Hele-Shaw, H.S. The Flow of Water. Nature 1898, 58, 34–36. [Google Scholar] [CrossRef]
- Joulin, G.; Sivashinsky, G.I. Influence of Momentum and Heat Losses on the Large-Scale Stability of Quasi-2D Premixed Flames. Combust. Sci. Technol. 1994, 98, 11–23. [Google Scholar] [CrossRef]
- Sarraf, E.A.; Almarcha, C.; Quinard, J.; Radisson, B.; Denet, B. Quantitative Analysis of Flame Instabilities in a Hele-Shaw Burner. Flow Turbul. Combust. 2018, 101, 851–868. [Google Scholar] [CrossRef]
- Almarcha, C.; Radisson, B.; Al Sarraf, E.; Villermaux, E.; Denet, B.; Quinard, J. Interface Dynamics, Pole Trajectories, and Cell Size Statistics. Phys. Rev. E 2018, 98, 030202. [Google Scholar] [CrossRef]
- Alexeev, M.M.; Semenov, O.Y.; Yakush, S.E. Experimental Study on Cellular Premixed Propane Flames in a Narrow Gap between Parallel Plates. Combust. Sci. Technol. 2018, 191, 1256–1275. [Google Scholar] [CrossRef]
- Chang, J.; Zhu, W.; Kang, X. An Experimental Study on Premixed Methane–Air Flame Propagation with Intrinsic Instabilities in a Hele-Shaw Chamber at Various Inclined Angles. Combust. Sci. Technol. 2024, 1–23. [Google Scholar] [CrossRef]
- Wongwiwat, J.; Gross, J.; Ronney, P.D. Flame Propagation in Narrow Channels at Varying Lewis Number. In Proceedings of the 25th ICDERS, Leeds, UK, 2–7 August 2015; pp. 3–8. [Google Scholar]
- Kuznetsov, M.; Grune, J. Experiments on Combustion Regimes for Hydrogen/Air Mixtures in a Thin Layer Geometry. Int. J. Hydrogen Energy 2019, 44, 8727–8742. [Google Scholar] [CrossRef]
- Elyanov, A.; Golub, V.; Volodin, V. Premixed Hydrogen–Air Flame Front Dynamics in Channels with Central and Peripheral Ignition. Int. J. Hydrogen Energy 2022, 47, 22602–22615. [Google Scholar] [CrossRef]
- Veiga-López, F.; Kuznetsov, M.; Martínez-Ruiz, D.; Fernández-Tarrazo, E.; Grune, J.; Sánchez-Sanz, M. Unexpected Propagation of Ultra-Lean Hydrogen Flames in Narrow Gaps. Phys. Rev. Lett. 2020, 124, 174501. [Google Scholar] [CrossRef] [PubMed]
- Moskalev, P.V.; Denisenko, V.P.; Kirillov, I.A. Classification and Dynamics of Ultralean Hydrogen–Air Flames in Horizontal Cylindrical Hele–Shaw Cells. J. Exp. Theor. Phys. 2023, 137, 104–113. [Google Scholar] [CrossRef]
- Yakush, S.; Semenov, O.; Alexeev, M. Premixed Propane–Air Flame Propagation in a Narrow Channel with Obstacles. Energies 2023, 16, 1516. [Google Scholar] [CrossRef]
- Ugarte, O.J.; Bychkov, V.; Sadek, J.; Valiev, D.; Akkerman, V. Critical Role of Blockage Ratio for Flame Acceleration in Channels with Tightly Spaced Obstacles. Phys. Fluids 2016, 28, 093602. [Google Scholar] [CrossRef]
- Feng, X.; Huang, X. Influence of Variable Blocking Ratio on DDT Process. Energies 2022, 15, 7706. [Google Scholar] [CrossRef]
- OpenCV: Open Source Computer Vision Library. Available online: https://opencv.org (accessed on 26 November 2024).
- Nain, N.; Laxmi, V.; Bhadviya, B.; Gopal, A. Corner Detection Using Difference Chain Code as Curvature. In Proceedings of the 2007 Third International IEEE Conference on Signal-Image Technologies and Internet-Based System, Shanghai, China, 16–18 December 2007; pp. 821–825. [Google Scholar]
- Alexeev, M.M.; Semenov, O.Y.; Rashkovskiy, S.A.; Yakush, S.E. Stoichiometric Methane–Air Flame Propagation in a Diverging Hele-Shaw Channel. Combust. Sci. Technol. 2024, 1–28. [Google Scholar] [CrossRef]













| Species | |||
|---|---|---|---|
| CH4 | 9.50 | 8.58 | 7.19 |
| H2 | 0 | 2.86 | 7.19 |
| O2 | 19.0 | 18.60 | 17.98 |
| N2 | 74.50 | 69.96 | 67.64 |
Disclaimer/Publisher’s Note: The statements, opinions and data contained in all publications are solely those of the individual author(s) and contributor(s) and not of MDPI and/or the editor(s). MDPI and/or the editor(s) disclaim responsibility for any injury to people or property resulting from any ideas, methods, instructions or products referred to in the content. |
© 2025 by the authors. Licensee MDPI, Basel, Switzerland. This article is an open access article distributed under the terms and conditions of the Creative Commons Attribution (CC BY) license (https://creativecommons.org/licenses/by/4.0/).
Share and Cite
Yakush, S.; Rashkovskiy, S.; Alexeev, M.; Semenov, O. Features of Hydrogen-Enriched Methane–Air Flames Propagating in Hele-Shaw Channels. Energies 2025, 18, 335. https://doi.org/10.3390/en18020335
Yakush S, Rashkovskiy S, Alexeev M, Semenov O. Features of Hydrogen-Enriched Methane–Air Flames Propagating in Hele-Shaw Channels. Energies. 2025; 18(2):335. https://doi.org/10.3390/en18020335
Chicago/Turabian StyleYakush, Sergey, Sergey Rashkovskiy, Maxim Alexeev, and Oleg Semenov. 2025. "Features of Hydrogen-Enriched Methane–Air Flames Propagating in Hele-Shaw Channels" Energies 18, no. 2: 335. https://doi.org/10.3390/en18020335
APA StyleYakush, S., Rashkovskiy, S., Alexeev, M., & Semenov, O. (2025). Features of Hydrogen-Enriched Methane–Air Flames Propagating in Hele-Shaw Channels. Energies, 18(2), 335. https://doi.org/10.3390/en18020335

