Adaptive Equivalent Consumption Minimization Strategies for Plug-In Hybrid Electric Vehicles: A Review
Abstract
1. Introduction
2. State-of-the-Art Assessment
2.1. Hybrid Electric Vehicles Overview
2.1.1. Powertrain Configuration
Series Layout
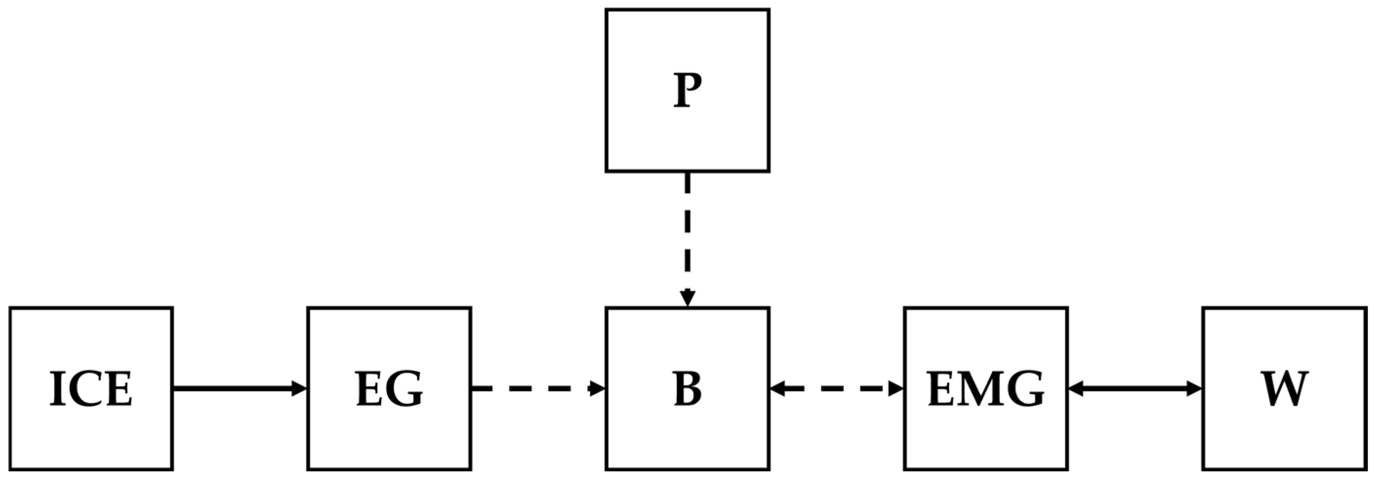
Parallel Layout
Mixed Series-Parallel Layout
2.1.2. Degree of Hybridization
2.1.3. Mathematical Modeling of HEVs
Longitudinal Vehicle Dynamics
Electric Motor-Generator Unit
DC/DC Converter
Internal Combustion Engine
Battery
2.2. Control Strategies Overview
- High control level: starting from the power demand requested at the wheels (), the power split controller establishes the amount of power that must be delivered by the battery () and the ICE (); the power split logic is the main core of the overall control strategy, and it has direct effects on fuel consumption.
- Medium control level: this level defines the combination of component parameters to ensure the single power delivery as established by the high-level controller; for the ICE, the control typically involves the combination of the brake torque () and speed () to minimize fuel consumption (), while for the battery, the main control variable is the current (), since the voltage () is generally constrained by the open-circuit voltage and battery SoC variation ().
- Low control level: it involves the actuators for the ICE and the battery, actuating the required component parameters.
2.2.1. Heuristic Approach
2.2.2. Optimal Control
Dynamic Programming
Pontryagin’s Minimum Principle
Equivalent Consumption Minimization Strategy
3. Adaptive Equivalent Consumption Minimization Strategies
3.1. A-ECMS Classification
3.1.1. Adaptivity Mechanism
3.1.2. Time Horizon
3.1.3. Adaptation Technique
3.1.4. Emerging Technologies Integration
3.2. A-ECMS Implementation
4. Conclusions
Author Contributions
Funding
Data Availability Statement
Conflicts of Interest
Abbreviations
| A-ECMS | Adaptive Equivalent Consumption Minimization Strategy |
| AI | Artificial Intelligence |
| BSFC | Brake Specific Fuel Consumption |
| BTE | Brake Thermal Efficiency |
| DoH | Degree of Hybridization |
| DP | Dynamic Programming |
| ECMS | Equivalent Consumption Minimization Strategy |
| ECU | Electronic Control Unit |
| EMG | Electric Motor-Generator |
| EMS | Energy Management Strategy |
| GHG | Greenhouse Gas |
| GPS | Global Positioning System |
| HEV | Hybrid Electric Vehicle |
| ICE | Internal Combustion Engine |
| ML | Machine Learning |
| MPC | Model Predictive Control |
| NN | Neural Network |
| PEMFC | Proton Exchange Membrane Fuel Cell |
| PHEV | Plug-in hybrid vehicle |
| PI | Proportional-Integral |
| PI-NN | Physical Informed Neural Network |
| PMP | Pontryagin’s Minimum Principle |
| RL | Recursive Learning |
| SoC | State-of-Charge |
| V2G | Vehicle-To-Grid |
| V2I | Vehicle-To-Infrastructure |
| V2N | Vehicle-To-Network |
| V2P | Vehicle-To-Pedestrian |
| V2V | Vehicle-To-Vehicle |
| V2X | Vehicle-To-Everything |
| WOT | Whole Open Throttle |
References
- Morice, C.P.; Kennedy, J.J.; Rayner, N.A.; Winn, J.P.; Hogan, E.; Killick, R.E.; Dunn, R.J.H.; Osborn, T.J.; Jones, P.D.; Simpson, I.R. An updated assessment of near-surface temperature change from 1850: The HadCRUT5 data set. J. Geophys. Res. Atmos. 2021, 126, e2019JD032361. [Google Scholar] [CrossRef]
- Global Carbon Budget. With Major Processing by Our World in Data. Annual CO2 Emissions by World Region—GCB [Dataset]. Global Carbon Project, Global Carbon Budget. [Original Data]. 2024. Available online: https://ourworldindata.org/grapher/annual-co-emissions-by-region (accessed on 1 May 2025).
- Ritchie, H.; Rosado, P.; Roser, M. Breakdown of Carbon Dioxide, Methane and Nitrous Oxide Emissions by Sector. Published Online at OurWorldinData.org. 2020. Available online: https://ourworldindata.org/emissions-by-sector (accessed on 15 May 2025).
- Ritchie, H. Cars, Planes, Trains: Where Do CO2 Emissions from Transport Come From? Published online at OurWorldinData.org. 2020. Available online: https://ourworldindata.org/co2-emissions-from-transport (accessed on 13 April 2025).
- Axsen, J.; Kurani, K.S. Hybrid, plug-in hybrid, or electric—What do car buyers want? Energy Policy 2013, 61, 532–543. [Google Scholar] [CrossRef]
- International Energy Agency. Global EV Outlook 2024. Processed by Our World in Data. “Plug-in Hybrids” [Dataset]. “Electric_Cars_IEA” [Original Data]. Available online: https://ourworldindata.org/grapher/share-car-sales-battery-plugin?country=~OWID_WRL (accessed on 24 April 2025).
- Sankhwar, P. Evaluation of transition to 100% electric vehicles (EVs) by 2052 in the United States. Sustain. Energy Res. 2024, 11, 35. [Google Scholar] [CrossRef]
- Gao, Y.; Ehsani, M.; Miller, J.M. Hybrid electric vehicle: Overview and state of the art. In Proceedings of the IEEE International Symposium on Industrial Electronics, Dubrovnik, Croatia, 20–23 June 2005; pp. 307–316. [Google Scholar] [CrossRef]
- Lü, X.; Qu, Y.; Wang, Y.; Qin, C.; Liu, G. A comprehensive review on hybrid power system for PEMFC-HEV: Issues and strategies. Energy Convers. Manag. 2018, 171, 1273–1291. [Google Scholar] [CrossRef]
- Liu, W. Introduction to Hybrid Vehicle System Modeling and Control; John Wiley & Sons: Hoboken, NJ, USA, 2013. [Google Scholar]
- Husain, I. Electric and Hybrid Vehicles: Design Fundamentals; CRC Press: Boca Raton, FL, USA, 2021. [Google Scholar] [CrossRef]
- Krithika, V.; Subramani, C. A comprehensive review on choice of hybrid vehicles and power converters, control strategies for hybrid electric vehicles. Int. J. Energy Res. 2018, 42, 1789–1812. [Google Scholar] [CrossRef]
- Overington, S.; Rajakaruna, S. Review of PHEV and HEV operation and control research for future direction. In Proceedings of the 2012 3rd IEEE International Symposium on Power Electronics for Distributed Generation Systems (PEDG), Aalborg, Denmark, 25–28 June 2012; pp. 385–392. [Google Scholar] [CrossRef]
- Benevieri, A.; Carbone, K.; Cosso, S.; Kumar, K.; Marchesoni, M.; Passalacqua, M.; Luis, V. Series architecture on hybrid electric vehicles: A review. Energies 2021, 14, 7672. [Google Scholar] [CrossRef]
- Anton, B.; Florescu, A. Design and development of series-hybrid automotive powertrains. IEEE Access 2020, 8, 226026–226041. [Google Scholar] [CrossRef]
- Pourabdollah, M.; Murgovski, N.; Grauers, A.; Egardt, B. Optimal sizing of a parallel PHEV powertrain. IEEE Trans. Veh. Technol. 2013, 62, 2469–2480. [Google Scholar] [CrossRef]
- Chen, P.; Pai, P.; Yang, C.; Huang, D. Development of transmission systems for parallel hybrid electric vehicles. Appl. Sci. 2019, 9, 1538. [Google Scholar] [CrossRef]
- Benajes, J.; García, A.; Monsalve-Serrano, J.; Martínez-Boggio, S. Optimization of the parallel and mild hybrid vehicle platforms operating under conventional and advanced combustion modes. Energy Convers. Manag. 2019, 190, 73–90. [Google Scholar] [CrossRef]
- Chen, L.; Zhu, F.; Zhang, M.; Huo, Y.; Yin, C.; Peng, H. Design and analysis of an electrical variable transmission for a series–parallel hybrid electric vehicle. IEEE Trans. Veh. Technol. 2011, 60, 2354–2363. [Google Scholar] [CrossRef]
- Capata, R.; Coccia, A. Procedure for the design of a hybrid-series vehicle and the hybridization degree choice. Energies 2010, 3, 450–461. [Google Scholar] [CrossRef]
- Govardhan, O.M. Fundamentals and classification of hybrid electric vehicles. Int. J. Eng. Technol. 2017, 3, 194–198. [Google Scholar]
- Ramaswamy, D.; McGee, R.; Sivashankar, S.; Deshpande, A.; Allen, J.; Rzemien, K.; Stuart, W. A Case Study in Hardware-in-the-Loop Testing: Development of an ECU for a Hybrid Electric Vehicle; SAE Technical Paper: Warrendale, PE, USA, 2004. [Google Scholar] [CrossRef]
- Guzzella, L.; Sciarretta, A. Vehicle Propulsion Systems; Springer: Berlin/Heidelberg, Germany, 2007. [Google Scholar] [CrossRef]
- Pettersson, P.; Jacobson, B.; Bruzelius, F.; Johannesson, P.; Fast, L. Intrinsic differences between backward and forward vehicle simulation models. IFAC-PapersOnLine 2020, 53, 14292–14299. [Google Scholar] [CrossRef]
- Rajamani, R. Longitudinal vehicle dynamics. In Vehicle Dynamics and Control; Springer: Boston, MA, USA, 2011; pp. 87–111. [Google Scholar] [CrossRef]
- Howell, J.; Passmore, M.; Windsor, S. A drag coefficient for test cycle application. SAE Int. J. Passeng. Cars-Mech. Syst. 2018, 11, 447–461. [Google Scholar] [CrossRef]
- Ydrefors, L.; Hjort, M.; Kharrazi, S.; Jerrelind, J.; Trigell, A.S. Rolling resistance and its relation to operating conditions: A literature review. Proc. Inst. Mech. Eng. Part D J. Automob. Eng. 2021, 235, 2931–2948. [Google Scholar] [CrossRef]
- Lukic, S.M.; Emado, A. Modeling of electric machines for automotive applications using efficiency maps. In Proceedings of the Electrical Insulation Conference and Electrical Manufacturing and Coil Winding Technology Conference (Cat. No. 03CH37480), Indianapolis, IN, USA, 25–25 September 2003; pp. 543–550. [Google Scholar] [CrossRef]
- Chakraborty, S.; Vu, H.; Hasan, M.M.; Tran, D.; El Baghdadi, M.; Hegazy, O. DC-DC converter topologies for electric vehicles, plug-in hybrid electric vehicles and fast charging stations: State of the art and future trends. Energies 2019, 12, 1569. [Google Scholar] [CrossRef]
- Wang, J.; Wang, B.; Zhang, L.; Wang, J.; Shchurov, N.I.; Malozyomov, B.V. Review of bidirectional DC–DC converter topologies for hybrid energy storage system of new energy vehicles. Green Energy Intell. Transp. 2022, 1, 100010. [Google Scholar] [CrossRef]
- Oliver, J.A.; Prieto, R.; Romero, V.; Cobos, J.A. Behavioral modeling of dc-dc converters for large-signal simulation of distributed power systems. In Proceedings of the Twenty-First Annual IEEE Applied Power Electronics Conference and Exposition, Dallas, TX, USA, 19–23 March 2006; p. 6. [Google Scholar] [CrossRef]
- Zhou, W.; Zheng, Y.; Pan, Z.; Lu, Q. Review on the battery model and SOC estimation method. Processes 2021, 9, 1685. [Google Scholar] [CrossRef]
- Zhang, H.; Chow, M. Comprehensive dynamic battery modeling for PHEV applications. In Proceedings of the IEEE PES General Meeting, Minneapolis, MN, USA, 25–29 July 2010; pp. 1–6. [Google Scholar] [CrossRef]
- Dini, P.; Colicelli, A.; Saponara, S. Review on modeling and soc/soh estimation of batteries for automotive applications. Batteries 2024, 10, 34. [Google Scholar] [CrossRef]
- Munsi, M.S.; Chaoui, H. Energy Management Systems for Electric Vehicles: A Comprehensive Review of Technologies and Trends. IEEE Access 2024, 12, 60385–60403. [Google Scholar] [CrossRef]
- Sciarretta, A.; Guzzella, L. Control of hybrid electric vehicles. IEEE Control Syst. Mag. 2007, 27, 60–70. [Google Scholar] [CrossRef]
- Cervone, D.; Sicilia, M.; Romano, M.; Polverino, P.; Pianese, C.; Frasci, E.; Arsie, I.; Sementa, P. Modelling of a Hybrid Quadricycle (L6e vehicle) Equipped with Hydrogen Fueled ICE Range Extender and Performance Analysis on Stochastic Drive Cycles Generated from RDE Profile. SAE Tech. Paper 2023, 6, 2087–2101. [Google Scholar] [CrossRef]
- Banvait, H.; Anwar, S.; Chen, Y. A rule-based energy management strategy for plug-in hybrid electric vehicle (PHEV). In Proceedings of the 2009 American Control Conference, St. Louis, MO, USA, 10–12 June 2009; pp. 3938–3943. [Google Scholar] [CrossRef]
- Maghfiroh, H.; Wahyunggoro, O.; Cahyadi, A.I. Energy management in hybrid electric and hybrid energy storage system vehicles: A fuzzy logic controller review. IEEE Access 2024, 12, 56097–56109. [Google Scholar] [CrossRef]
- Böhme, T.J.; Frank, B. Hybrid Systems, Optimal Control and Hybrid Vehicles; Springer International Publishing: Berlin/Heidelberg, Germany, 2017. [Google Scholar] [CrossRef]
- Wang, R.; Lukic, S.M. Dynamic programming technique in hybrid electric vehicle optimization. In Proceedings of the 2012 IEEE International Electric Vehicle Conference, Greenville, SC, USA, 4–8 March 2012; pp. 1–8. [Google Scholar] [CrossRef]
- Polverino, P.; Arsie, I.; Pianese, C. Optimal energy management for hybrid electric vehicles based on dynamic programming and receding horizon. Energies 2021, 14, 3502. [Google Scholar] [CrossRef]
- Donatantonio, F.; Ferrara, A.; Polverino, P.; Arsie, I.; Pianese, C. Novel approaches for energy management strategies of hybrid electric vehicles and comparison with conventional solutions. Energies 2022, 15, 1972. [Google Scholar] [CrossRef]
- Wang, Y.; Wu, Z.; Chen, Y.; Xia, A.; Guo, C.; Tang, Z. Research on energy optimization control strategy of the hybrid electric vehicle based on Pontryagin’s minimum principle. Comput. Electr. Eng. 2018, 72, 203–213. [Google Scholar] [CrossRef]
- Serrao, L.; Onori, S.; Rizzoni, G. ECMS as a realization of Pontryagin’s minimum principle for HEV control. In Proceedings of the 2009 American Control Conference, St. Louis, MO, USA, 10–12 June 2009; pp. 3964–3969. [Google Scholar] [CrossRef]
- Kim, N.; Cha, S.W.; Peng, H. Optimal equivalent fuel consumption for hybrid electric vehicles. IEEE Trans. Control Syst. Technol. 2011, 20, 817–825. [Google Scholar] [CrossRef]
- Lee, J.; Kim, J.; Yi, J.; Won, C. Battery management system algorithm for energy storage systems considering battery efficiency. Electronics 2021, 10, 1859. [Google Scholar] [CrossRef]
- Panagiotopoulos, D.; Geist, B.; Schoeller, D. Equivalence Factor Calculation for Hybrid Vehicles; SAE Technical Paper: Warrendale, PE, USA, 2020. [Google Scholar] [CrossRef]
- Onori, S.; Serrao, L. On Adaptive-ECMS strategies for hybrid electric vehicles. In Proceedings of the International Scientific Conference on Hybrid and Electric Vehicles, Malmaison, France, 6–7 December 2011. [Google Scholar]
- Ye, M.; Chen, J.; Li, X.; Ma, K.; Liu, Y. Energy management strategy of a hybrid power system based on V2X vehicle speed prediction. Sensors 2021, 21, 5370. [Google Scholar] [CrossRef]
- Musardo, C.; Rizzoni, G.; Guezennec, Y.; Staccia, B. A-ECMS: An adaptive algorithm for hybrid electric vehicle energy management. Eur. J. control 2005, 11, 509–524. [Google Scholar] [CrossRef]
- Zeng, Y.; Cai, Y.; Kou, G.; Gao, W.; Qin, D. Energy management for plug-in hybrid electric vehicle based on adaptive simplified-ECMS. Sustainability 2018, 10, 2060. [Google Scholar] [CrossRef]
- Shi, D.; Liu, K.; Wang, Y.; Liu, R.; Li, S.; Sun, Y. Adaptive energy control strategy of PHEV based on the Pontryagin’s minimum principle algorithm. Adv. Mech. Eng. 2021, 13, 16878140211035598. [Google Scholar] [CrossRef]
- Deng, T.; Tang, P.; Luo, J. A novel real-time energy management strategy for plug-in hybrid electric vehicles based on equivalence factor dynamic optimization method. Int. J. Energy Res. 2021, 45, 626–641. [Google Scholar] [CrossRef]
- Zeng, Y.; Sheng, J.; Li, M. Adaptive Real-Time Energy Management Strategy for Plug-In Hybrid Electric Vehicle Based on Simplified-ECMS and a Novel Driving Pattern Recognition Method. Math. Probl. Eng. 2018, 2018, 5816861. [Google Scholar] [CrossRef]
- Shen, Z.; Luo, C.; Dong, X.; Lu, W.; Lv, Y.; Xiong, G. Two-level energy control strategy based on ADP and A-ECMS for series hybrid electric vehicles. IEEE Trans. Intell. Transp. Syst. 2022, 23, 13178–13189. [Google Scholar] [CrossRef]
- Ha, S.; Lee, H. Energy Management Strategy Based on V2X Communications and Road Information for a Connected PHEV and Its Evaluation Using an IDHIL Simulator. Appl. Sci. 2023, 13, 9208. [Google Scholar] [CrossRef]
- Capancioni, A.; Brunelli, L.; Cavina, N.; Perazzo, A. Development of Adaptive-ECMS and Predictive Functions for Plug-in HEVs to Handle Zero-Emission Zones Using Navigation Data; SAE Technical Paper: Warrendale, PE, USA, 2021. [Google Scholar] [CrossRef]
- Ma, Y.; Wang, P.; Sun, T. Research on energy management method of plug-in hybrid electric vehicle based on travel characteristic prediction. Energies 2021, 14, 6134. [Google Scholar] [CrossRef]
- Shi, D.; Li, S.; Liu, K.; Xu, Y.; Wang, Y.; Guo, C. Adaptive energy management strategy for plug-in hybrid electric vehicles based on intelligent recognition of driving cycle. Energy Explor. Exploit. 2023, 41, 246–272. [Google Scholar] [CrossRef]
- Lin, X.; Zhang, J.; Su, L. A trip distance adaptive real-time optimal energy management strategy for a plug-in hybrid vehicle integrated driving condition prediction. J. Energy Storage 2022, 52, 105055. [Google Scholar] [CrossRef]
- Piras, M.; De Bellis, V.; Malfi, E.; Novella, R.; Lopez–Juarez, M. Adaptive ECMS based on speed forecasting for the control of a heavy-duty fuel cell vehicle for real-world driving. Energy Convers. Manag. 2023, 289, 117178. [Google Scholar] [CrossRef]
- Piras, M.; De Bellis, V.; Malfi, E.; Desantes, J.M.; Novella, R.; Lopez-Juarez, M. Incorporating speed forecasting and SoC planning into predictive ECMS for heavy-duty fuel cell vehicles. Int. J. Hydrogen Energy 2024, 55, 1405–1421. [Google Scholar] [CrossRef]
- Lin, X.; Xia, Y.; Huang, W.; Li, H. Trip distance adaptive power prediction control strategy optimization for a plug-in fuel cell electric vehicle. Energy 2021, 224, 120232. [Google Scholar] [CrossRef]
- Muthyala, P.; Mayank, M.; Ünver, B.; Han, S.E.; Uzunoğlu, B.; Kaydeci, A.B.; Toğuş, F.; Schaub, J.; Virnich, L.; Pischinger, S. Comparative study of real-time A-ECMS and rule-based energy management strategies in long haul heavy-duty PHEVs. Energy Convers. Manag. X 2024, 23, 100679. [Google Scholar] [CrossRef]
- Tianheng, F.; Lin, Y.; Qing, G.; Yanqing, H.; Ting, Y.; Bin, Y. A supervisory control strategy for plug-in hybrid electric vehicles based on energy demand prediction and route preview. IEEE Trans. Veh. Technol. 2014, 64, 1691–1700. [Google Scholar] [CrossRef]
- Vajedi, M.; Taghavipour, A.; Azad, N.L.; McPhee, J. A comparative analysis of route-based power management strategies for real-time application in plug-in hybrid electric vehicles. In Proceedings of the 2014 American Control Conference, Portland, OR, USA, 4–6 June 2014; pp. 2612–2617. [Google Scholar] [CrossRef]
- Taghavipour, A.; Vajedi, M.; Azad, N.L.; McPhee, J. A comparative analysis of route-based energy management systems for PHEVs. Asian J. Control 2016, 18, 29–39. [Google Scholar] [CrossRef]
- Recalde, A.; Cajo, R.; Velasquez, W.; Alvarez-Alvado, M.S. Machine Learning and Optimization in Energy Management Systems for Plug-In Hybrid Electric Vehicles: A Comprehensive Review. Energies 2024, 17, 3059. [Google Scholar] [CrossRef]
- Wu, Y.; Zhang, Y.; Li, G.; Shen, J.; Chen, Z.; Liu, Y. A predictive energy management strategy for multi-mode plug-in hybrid electric vehicles based on multi neural networks. Energy 2020, 208, 118366. [Google Scholar] [CrossRef]
- Xia, J.; Wang, F.; Xu, X. A predictive energy management strategy for multi-mode plug-in hybrid electric vehicle based on long short-term memory neural network. IFAC-PapersOnLine 2021, 54, 132–137. [Google Scholar] [CrossRef]
- Han, L.; Jiao, X.; Zhang, Z. Recurrent neural network-based adaptive energy management control strategy of plug-in hybrid electric vehicles considering battery aging. Energies 2020, 13, 202. [Google Scholar] [CrossRef]
- He, H.; Shou, Y.; Song, J. An improved A-ECMS energy management for plug-in hybrid electric vehicles considering transient characteristics of engine. Energy Rep. 2023, 10, 2006–2016. [Google Scholar] [CrossRef]
- Cervone, D.; Sicilia, M.; Pandolfi, A.; Polverino, P.; Sementa, P.; Arsie, I.; Pianese, C. Machine Learning Based Design of Optimal Energy Management Strategy for Hydrogen-Fueled Hybrid Vehicle Powertrain; SAE Technical Paper: Warrendale, PE, USA, 2024. [Google Scholar] [CrossRef]
- Yu, Y.; Jiang, J.; Wang, P.; Li, J. A-EMCS for PHEV based on real-time driving cycle prediction and personalized travel characteristics. Math. Biosci. Eng. 2020, 17, 6310–6341. [Google Scholar] [CrossRef]
- Li, J.; Wu, X.; Hu, S. A traffic based reference state of charge planning method for plug-in hybrid electric vehicles. In Proceedings of the 2021 IEEE 30th International Symposium on Industrial Electronics (ISIE), Kyoto, Japan, 20–23 June 2021; pp. 1–6. [Google Scholar] [CrossRef]
- Chen, D.; Kim, Y.; Stefanopoulou, A.G. Predictive equivalent consumption minimization strategy with segmented traffic information. IEEE Trans. Veh. Technol. 2020, 69, 14377–14390. [Google Scholar] [CrossRef]
- Zhang, Y.; Chu, L.; Fu, Z.; Xu, N.; Guo, C.; Zhang, X.; Chen, Z.; Wang, P. Optimal energy management strategy for parallel plug-in hybrid electric vehicle based on driving behavior analysis and real time traffic information prediction. Mechatronics 2017, 46, 177–192. [Google Scholar] [CrossRef]
- Song, P.; Song, W.; Meng, A.; Li, H. Adaptive Equivalent Factor-Based Energy Management Strategy for Plug-In Hybrid Electric Buses Considering Passenger Load Variations. Energies 2024, 17, 1283. [Google Scholar] [CrossRef]
- Liu, H.; Wang, C.; Zhao, X.; Guo, C. An adaptive-equivalent consumption minimum strategy for an extended-range electric bus based on target driving cycle generation. Energies 2018, 11, 1805. [Google Scholar] [CrossRef]
- Xue, J.; You, X.; Jiao, X.; Zhang, Y. An adaptive energy management control strategy for plug-in hybrid electric vehicles during car-following process. In Proceedings of the 2020 4th CAA International Conference on Vehicular Control and Intelligence (CVCI), Hangzhou, China, 18–20 December 2020; pp. 315–319. [Google Scholar] [CrossRef]
- Liu, Y.; Huang, B.; Yang, Y.; Lei, Z.; Zhang, Y.; Chen, Z. Hierarchical speed planning and energy management for autonomous plug-in hybrid electric vehicle in vehicle-following environment. Energy 2022, 260, 125212. [Google Scholar] [CrossRef]
- Yang, J.; Du, M.; Zhang, C.; Wang, G. Adaptive Regression Approach of Equivalent Factor for Equivalent Consumption Minimization Strategy. In Proceedings of the 2024 IEEE 25th China Conference on System Simulation Technology and its Application (CCSSTA), Tianjin, China, 21–23 July 2024; pp. 473–478. [Google Scholar] [CrossRef]
- Li, S.; Chu, L.; Hu, J.; Pu, S.; Li, J.; Hou, Z.; Sun, W. A novel A-ECMS energy management strategy based on dragonfly algorithm for plug-in FCEVs. Sensors 2023, 23, 1192. [Google Scholar] [CrossRef]
- Wang, F.; Xia, J.; Cai, Y.; Guo, J. Novel energy management strategy for a dual-motor hybrid electric vehicle considering frequency of mode transitions. Energy Convers. Manag. 2022, 269, 116106. [Google Scholar] [CrossRef]














| Classification | Degree of Hybridization | Features |
|---|---|---|
| Zero hybrid | 0% | ICE start-up |
| Micro hybrid | <10% | Start/Stop |
| Regenerative breaking | ||
| Mild hybrid | 10–30% | Start/Stop |
| Regenerative breaking | ||
| Power assistance | ||
| Full hybrid | >40% | Start/Stop |
| Regenerative breaking | ||
| Power assistance | ||
| Short electric drive | ||
| Plug-in hybrid | >50% | Start/Stop |
| Regenerative breaking | ||
| Power assistance | ||
| Extended electric drive | ||
| Plug-in capability | ||
| Full electric | 100% | Start/Stop |
| Regenerative breaking | ||
| Power assistance | ||
| Full electric drive | ||
| Plug-in capability | ||
| No ICE |
| Criterion | Focus |
|---|---|
| Adaptivity mechanism | SoC dependent |
| Drive cycle | |
| Operative conditions | |
| Time horizon | Short-term |
| Long-term | |
| Adaptation technique | Parametric optimization |
| Real-time optimization | |
| Data-driven approach | |
| Emerging technology integration | V2X communication system |
| GPS integration | |
| AI-supported |
Disclaimer/Publisher’s Note: The statements, opinions and data contained in all publications are solely those of the individual author(s) and contributor(s) and not of MDPI and/or the editor(s). MDPI and/or the editor(s) disclaim responsibility for any injury to people or property resulting from any ideas, methods, instructions or products referred to in the content. |
© 2025 by the authors. Licensee MDPI, Basel, Switzerland. This article is an open access article distributed under the terms and conditions of the Creative Commons Attribution (CC BY) license (https://creativecommons.org/licenses/by/4.0/).
Share and Cite
Sicilia, M.; Cervone, D.; Polverino, P.; Pianese, C. Adaptive Equivalent Consumption Minimization Strategies for Plug-In Hybrid Electric Vehicles: A Review. Energies 2025, 18, 5475. https://doi.org/10.3390/en18205475
Sicilia M, Cervone D, Polverino P, Pianese C. Adaptive Equivalent Consumption Minimization Strategies for Plug-In Hybrid Electric Vehicles: A Review. Energies. 2025; 18(20):5475. https://doi.org/10.3390/en18205475
Chicago/Turabian StyleSicilia, Massimo, Davide Cervone, Pierpaolo Polverino, and Cesare Pianese. 2025. "Adaptive Equivalent Consumption Minimization Strategies for Plug-In Hybrid Electric Vehicles: A Review" Energies 18, no. 20: 5475. https://doi.org/10.3390/en18205475
APA StyleSicilia, M., Cervone, D., Polverino, P., & Pianese, C. (2025). Adaptive Equivalent Consumption Minimization Strategies for Plug-In Hybrid Electric Vehicles: A Review. Energies, 18(20), 5475. https://doi.org/10.3390/en18205475

