Magnetostrictive Properties of the Grain-Oriented Silicon Steel Sheet under DC-Biased and Multisinusoidal Magnetizations
Abstract
1. Introduction
2. Materials and Methods
2.1. Measurement of One-Dimensional Magnetostrictive Properties
2.2. Noise Level Caused by Magnetostriction
2.3. Finite Element Equations of Coupled Magneto-Mechanical Theory for Laminated Steel Sheets
3. Results and Discussion
3.1. Analysis of the Measured Magnetostrictive Properties
3.1.1. Magnetostrictive Characteristics under DC-Biased Magnetization
3.1.2. Magnetostrictive Characteristics under Harmonic Magnetization
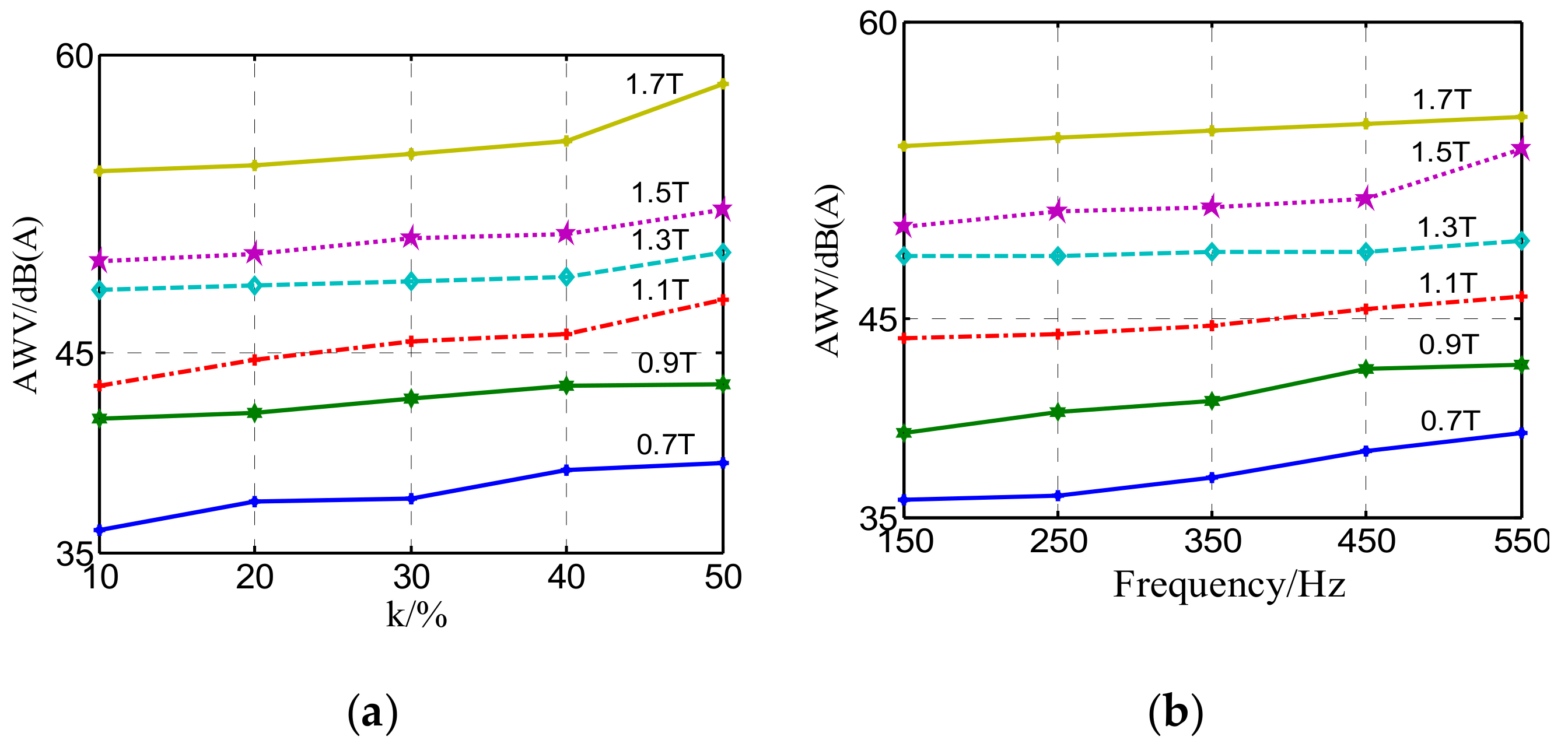
3.2. Noise under DC-Biased and Multisinusoidal Magnetizations
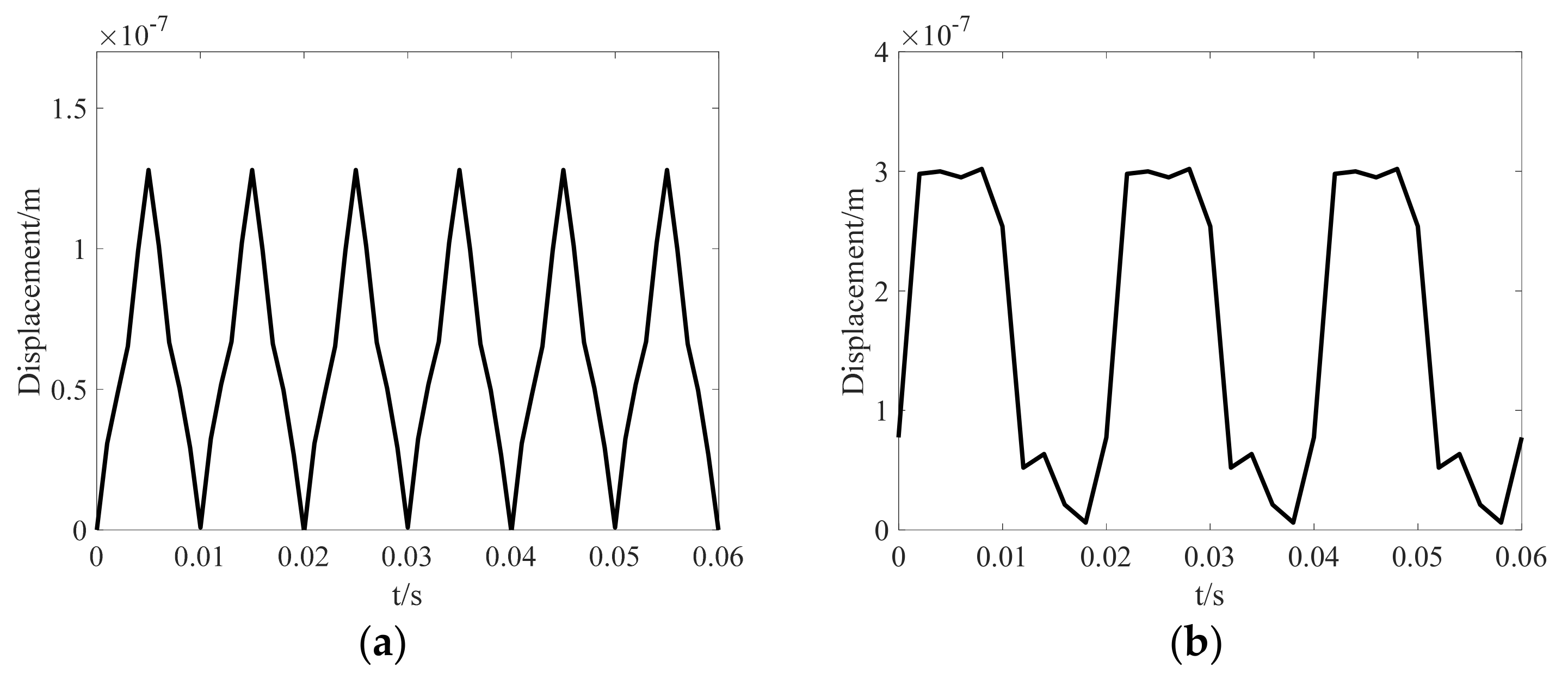
3.3. Simulation of Vibration Characteristic
4. Conclusions
Author Contributions
Funding
Conflicts of Interest
References
- Price, P.R. Geomagnetically induced current effect on transformers. IEEE Trans. Power Deliv. 2002, 7, 1002–1008. [Google Scholar] [CrossRef]
- Pfutzner, H.; Shilyashki, G.; Bengtsson, C.; Trenner, G.; Gerstbauer, E. Effects of dc bias on regional flux and magnetostriction of a single-phase transformer core modeled by 3-d macc. IEEE Trans. Magn. 2018, 54, 1–6. [Google Scholar] [CrossRef]
- Baguley, C.A.; Madawala, U.K.; Carsten, B. The impact of vibration due to magnetostriction on the core losses of ferrite toroidals under dc bias. IEEE Trans. Magn. 2011, 47, 2022–2028. [Google Scholar] [CrossRef]
- Lu, Z.M.; Zhang, C.; Wang, T.Z. Measurement and Analysis of UHV Transformer Noise with Sound Intensity and Vibration Method. In Proceedings of the 20th International Conference on Electrical Machines and Systems (ICEMS), Sydney, Australia, 11–14 August 2017. [Google Scholar]
- Mohammed, O.A.; Abed, N.Y.; Liu, S. Investigation of the harmonic behavior of three phase transformer under nonsinusoidal operation using finite element and wavelet packets. IEEE Trans. Magn. 2006, 42, 967–970. [Google Scholar] [CrossRef]
- Smajic, J.; Hughes, J.; Steinmetz, T. Numerical computation of ohmic and eddy-current winding losses of converter transformers including higher harmonics of load current. IEEE Trans. Magn. 2012, 48, 827–830. [Google Scholar] [CrossRef]
- Moses, P.S.; Masoum, M.A.S. Three-phase asymmetric transformer aging considering voltage-current harmonic interactions, unbalanced nonlinear loading, magnetic couplings, and hysteresis. IEEE Trans. Energy Convers. 2012, 27, 318–327. [Google Scholar] [CrossRef]
- Maeda, H.; Harada, K.; Ishihara, Y. Performance of the magnetostriction of a silicon steel sheet with a bias field. J. Magn. Magn. Mater. 1996, 160, 149–150. [Google Scholar] [CrossRef]
- Jang, P.; Choi, G. Acoustic noise characteristics and magnetostriction of fe-si powder cores. IEEE Trans. Magn. 2012, 48, 1549–1552. [Google Scholar] [CrossRef]
- Ben, T.; Yang, Q.X.; Yan, R.G.; Zhu, L.H. Magnetically controlled saturable reactor core vibration under practical working conditions. IEEE Trans. Magn. 2017, 53, 1–4. [Google Scholar]
- Ebrahimi, H.; Gao, Y.; Kameari, A. Coupled magneto-mechanical analysis considering permeability variation by stress due to both magnetostriction and electromagnetism. IEEE Trans. Magn. 2013, 49, 1621–1624. [Google Scholar] [CrossRef]
- Gao, Y.; Muramatsu, K.; Hatim, M.J. The effect of laminated structure on coupled magnetic field and mechanical analyses of iron core and its homogenization technique. IEEE Trans. Magn. 2011, 47, 1358–1361. [Google Scholar] [CrossRef]
- Yamagashira, M.; Wakabayashi, D.; Enokizono, M. Vector magnetic properties and 2-d magnetostriction of various electrical steel sheets under rotating flux condition. IEEE Trans. Magn. 2014, 50, 1–4. [Google Scholar] [CrossRef]
- Moses, A.J. Measurement of magnetostriction and vibration with regard to transformer noise. IEEE Trans. Magn. 2003, 10, 154–156. [Google Scholar] [CrossRef]
- Bai, B.D.; Wang, J.Y. Research on magnetostriction of grain-oriented electrical silicon-steel sheet. Compel-Int. J. Comp. Math. Electr. Electron. Eng. 2014, 33, 28–37. [Google Scholar] [CrossRef]
- Mogi, H.; Matsuo, Y.; Kumano, T. Ac magnetostriction hysteresis and magnetization direction in grain oriented silicon steel. IEEE Trans. Magn. 1999, 35, 3364–3366. [Google Scholar] [CrossRef]
- Tanzer, T.; Pregartner, H.; Labinsky, R. Magnetostriction of electrical steel and its relation to the no-load noise of power transformers. IEEE Trans. Ind. Appl. 2018, 54, 4306–4314. [Google Scholar] [CrossRef]
- Chang, Y.H.; Hsu, C.H.; Chu, H.L. Magnetomechanical vibrations of three-phase three-leg transformer with different amorphous-cored structures. IEEE Trans. Magn. 2011, 47, 2780–2783. [Google Scholar] [CrossRef]
- Rivera, H.L.; Garcia-Souto, J.A.; Sanz, J. Measurements of mechanical vibrations at magnetic cores of power transformers with fiber-optic interferometric intrinsic sensor. IEEE J. Sel. Top. Quantum Electron. 2000, 6, 788–797. [Google Scholar] [CrossRef]
- Moses, A.J.; Anderson, P.I.; Somkun, S. Modeling 2-D Magnetostriction in nonoriented electrical steels using a simple magnetic domain model. IEEE Trans. Magn. 2015, 51, 1–7. [Google Scholar] [CrossRef]
- Somkun, S.; Moses, A.J. Quantification of Magnetostriction for Analysis of Vibration of Electrical Machine Cores. In Proceedings of the 45th International Universities Power Engineering Conference (UPEC2010), Cardiff, Wales, UK, 31 August–3 September 2010. [Google Scholar]
- Somkun, S.; Moses, A.J. Magnetostriction anisotropy and rotational magnetostriction of a nonoriented electrical steel. IEEE Trans. Magn. 2010, 46, 302–305. [Google Scholar] [CrossRef]
- Vandevelde, L.; Hilgert, T.G.D.; Melkebeek, J.A.A. Magnetostriction and magnetic forces in electrical steel: Finite element computations and measurements. IEEE Proc. Sci. Meas. Technol. 2004, 151, 456–459. [Google Scholar] [CrossRef]
- Zhu, L.; Yoon, H.S. Finite-element analysis of magnetostriction force in power transformer based on the measurement of anisotropic magnetostriction of highly grain-oriented electrical steel sheet. IEEE Trans. Magn. 2016, 52, 1–4. [Google Scholar] [CrossRef]
- Kai, Y.; Tsuchida, Y.; Todaka, T. Measurement of the two-dimensional magnetostriction and the vector magnetic property for a non-oriented electrical steel sheet under stress. J. Appl. Phys. 2012, 111, 07E320. [Google Scholar] [CrossRef]
- Vandevelde, L.; Gyselinck, J.; Wulf, M.A.C.D. Finite-element computation of the deformation of ferromagnetic material taking into account magnetic forces and magnetostriction. IEEE Trans. Magn. 2004, 40, 565–568. [Google Scholar] [CrossRef]
- Hilgert, T.; Vandevelde, L.; Melkebeek, J. Comparison of magnetostriction models for use in calculations of vibrations in magnetic cores. IEEE Trans. Magn. 2008, 44, 874–877. [Google Scholar] [CrossRef]
- Zhu, L.; Yang, Q.; Yan, R. Research on dynamic vibration of transformer with wireless power transfer system load. IEEE Trans. Magn. 2015, 51, 1–4. [Google Scholar] [CrossRef]
- Hsu, C.H.; Lee, S.L.; Lin, C.C. Reduction of vibration and sound-level for a single-phase power transformer with large capacity. IEEE Trans. Magn. 2015, 51, 1–4. [Google Scholar] [CrossRef]
- Zhang, B.; Yan, N.; Du, J.M. A novel approach to investigate the core vibration in power transformer. IEEE Trans. Magn. 2018, 54, 1–4. [Google Scholar] [CrossRef]
- He, J.L.; Yu, Z.Q.; Zeng, R. Vibration and audible noise characteristics of AC transformer caused by HVDC system under monopole operation. IEEE Trans. Power Deliv. 2012, 27, 1835–1842. [Google Scholar] [CrossRef]
- Yanase, S.; Yamamoto, K.; Okazaki, Y. Measurement of magnetostriction and magnetic properties in an open magnetic circuit. J. Mater. Process. Technol. 2001, 108, 221–224. [Google Scholar] [CrossRef]
- Yabumoto, M.; Arai, S.; Kawamata, R. Recent development in grain-oriented electrical steel with low magnetostriction. J. Mater. Eng. Perform. 1997, 6, 713–721. [Google Scholar] [CrossRef]
- Mogi, H.; Yabumoto, M.; Mizokami, M. Harmonic analysis of AC magnetostriction measurements under non-sinusoidal excitation. IEEE Trans. Magn. 1996, 32, 4911–4913. [Google Scholar] [CrossRef]
- Nakata, T.; Takahashi, N.; Nakano, M. Magnetostriction measurements with a laser Doppler velocimeter. IEEE Trans. Magn. 1994, 30, 4563–4565. [Google Scholar] [CrossRef][Green Version]
- Nakase, T.; Nakano, M.; Fujiwara, K. Measuring system for magnetostriction of silicon steel sheet under AC excitation using optical methods. IEEE Trans. Magn. 2002, 34, 2072–2074. [Google Scholar] [CrossRef][Green Version]
- Bán, G.; Janosi, F. Measuring system and evaluation method of DC and AC magnetostriction behaviour to investigate 3.2% SiFe GO electrical steels. J. Magn. Magn. Mater. 1996, 160, 167–170. [Google Scholar]
- Hirano, M.; Ishihara, Y.; Harad, K. A study on measurement of magnetostriction of silicon steel sheet by laser displacement meter. J. Magn. Magn. Mater. 2003, 254, 43–46. [Google Scholar] [CrossRef]
- International Electrotechnical Commission. IEC/TR 62581 Electrical Steel-Methods of Measurement of the Magnetostriction Characteristics by Means of Single Sheet and Epstein Test Specimens; IEC Central Office: Geneva, Switzerland, 2010. [Google Scholar]














| Peak Value of Magnetic Flux Density | Peak Value of Displacement | |
|---|---|---|
| sinusoidal | 0.777 T | 1.0953 × 10−7 m |
| k5 = 10% (B5 = 0.08 T) | 0.802 T | 1.1479 × 10−7 m |
| k5 = 50% (B5 = 0.4 T) | 0.852 T | 1.2818 × 10−7 m |
| Idc = 1A (Hdc = 76 A/m) | 1.748 T | 3.0191 × 10−7 m |
| Idc = 1.5A (Hdc = 113 A/m) | 1.793 T | 3.0430 × 10−7 m |
© 2019 by the authors. Licensee MDPI, Basel, Switzerland. This article is an open access article distributed under the terms and conditions of the Creative Commons Attribution (CC BY) license (http://creativecommons.org/licenses/by/4.0/).
Share and Cite
Zhao, X.; Du, Y.; Liu, Y.; Du, Z.; Yuan, D.; Liu, L. Magnetostrictive Properties of the Grain-Oriented Silicon Steel Sheet under DC-Biased and Multisinusoidal Magnetizations. Materials 2019, 12, 2156. https://doi.org/10.3390/ma12132156
Zhao X, Du Y, Liu Y, Du Z, Yuan D, Liu L. Magnetostrictive Properties of the Grain-Oriented Silicon Steel Sheet under DC-Biased and Multisinusoidal Magnetizations. Materials. 2019; 12(13):2156. https://doi.org/10.3390/ma12132156
Chicago/Turabian StyleZhao, Xiaojun, Yutong Du, Yang Liu, Zhenbin Du, Dongwei Yuan, and Lanrong Liu. 2019. "Magnetostrictive Properties of the Grain-Oriented Silicon Steel Sheet under DC-Biased and Multisinusoidal Magnetizations" Materials 12, no. 13: 2156. https://doi.org/10.3390/ma12132156
APA StyleZhao, X., Du, Y., Liu, Y., Du, Z., Yuan, D., & Liu, L. (2019). Magnetostrictive Properties of the Grain-Oriented Silicon Steel Sheet under DC-Biased and Multisinusoidal Magnetizations. Materials, 12(13), 2156. https://doi.org/10.3390/ma12132156
