A Dual-Band Terahertz Absorber with Two Passbands Based on Periodic Patterned Graphene
Abstract
1. Introduction
2. Structures and Methods
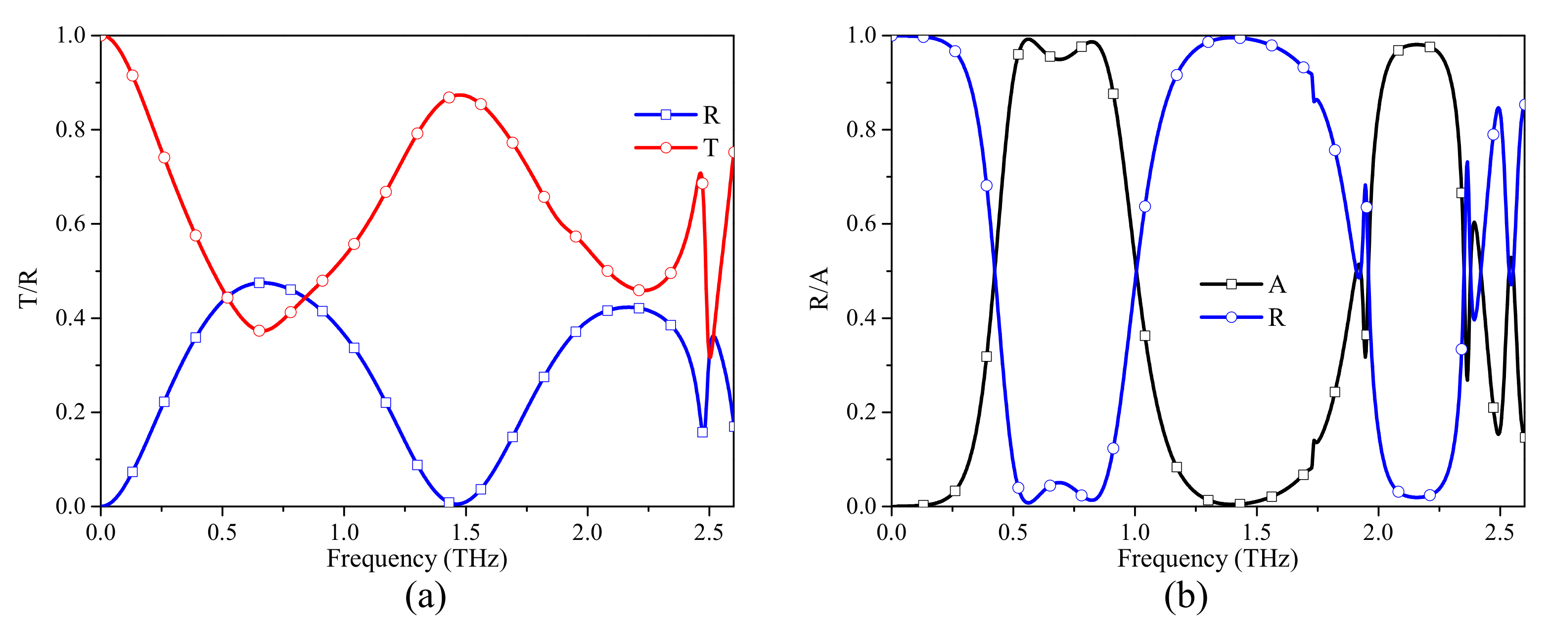
3. Results and Discussion
4. Conclusions
Author Contributions
Funding
Conflicts of Interest
References
- Veselago, V.G. The electrodynamics of substances with simultaneously negative values of ϵ and μ. Sov. Phys. Uspekhi 1968, 10, 509–514. [Google Scholar] [CrossRef]
- Valentine, J.; Zhang, S.; Zentgraf, T.; Ulin-Avila, E.; Genov, D.A.; Bartal, G.; Zhang, X. Three-dimensional optical metamaterial with a negative refractive index. Nature 2008, 455, 376–379. [Google Scholar] [CrossRef] [PubMed]
- Simovski, C.R.; Belov, P.A.; He, S. Backward wave region and negative material parameters of a structure formed by lattices of wires and split-ring resonators. IEEE Trans. Antennas Propag. 2003, 51, 2582–2591. [Google Scholar] [CrossRef]
- Xiong, Z.; Cao, L. Interparticle spacing dependence of magnetic anisotropy and dipolar interaction of Ni nanocrystals embedded in epitaxial BaTiO3 matrix. Ceram. Int. 2018, 44, 8155–8160. [Google Scholar] [CrossRef]
- Caloz, C.; Itoh, T. Electromagnetic Metamaterials: Transmission Line Theory and Microwave Applications; John Wiley & Sons: New York, NY, USA, 2004. [Google Scholar]
- Landy, N.I.; Sajuyigbe, S.; Mock, J.J.; Smith, D.R.; Padilla, W.J. Perfect metamaterial absorber. Phys. Rev. Lett. 2008, 10, 207402. [Google Scholar] [CrossRef] [PubMed]
- Wang, B.; Koschny, T.; Soukoulis, C.M. Wide-angle and polarization-independent chiral metamaterial absorber. Phys. Rev. B 2009, 80, 033108. [Google Scholar] [CrossRef]
- Hanson, G.W. Dyadic green’s functions and guided surface waves for a surface conductivity model of graphene. J. Appl. Phys. 2008, 103, 064302. [Google Scholar] [CrossRef]
- Novoselov, K.S.; Fal, V.I.; Colombo, L.; Gellert, P.R.; Schwab, M.G.; Kim, K. A roadmap for graphene. Nature 2012, 490, 192–200. [Google Scholar] [CrossRef]
- Alaee, R.; Farhat, M.; Rockstuhl, C.; Lederer, F. A perfect absorber made of a graphene micro-ribbon metamaterial. Opt. Exp. 2012, 20, 28017–28024. [Google Scholar] [CrossRef]
- Zhang, Y.; Feng, Y.; Zhu, B.; Zhao, J.; Jiang, T. Graphene based tunable metamaterial absorber and polarization modulation in terahertz frequency. Opt. Exp. 2014, 22, 22743–22752. [Google Scholar] [CrossRef]
- Nikitin, A.Y.; Guinea, F.; Garcia-Vidal, F.J.; Martin-Moreno, L. Surface plasmon enhanced absorption and suppressed transmission in periodic arrays of graphene ribbons. Phys. Rev. B 2012, 85, 081405. [Google Scholar] [CrossRef]
- Chen, P.Y.; Alù, A. Terahertz metamaterial devices based on graphene nanostructures. IEEE Trans. Terahertz Sci. Technol. 2013, 3, 748–756. [Google Scholar] [CrossRef]
- Thongrattanasiri, S.; Koppens, F.H.L.; De Abajo, F.J.G. Complete optical absorption in periodically patterned graphene. Phys. Rev. Lett. 2012, 108, 047401. [Google Scholar] [CrossRef]
- Fang, Z.; Thongrattanasiri, S.; Schlather, A.; Liu, Z.; Ma, L.; Wang, Y.; García de Abajo, F.J. Gated tunability and hybridization of localized plasmons in nanostructured graphene. ACS Nano 2013, 3, 2388–2395. [Google Scholar] [CrossRef]
- He, X.; Zhong, X.; Lin, F.; Shi, W. Investigation of graphene assisted tunable terahertz metamaterials absorber. Opt. Mater. Express 2016, 6, 331–342. [Google Scholar] [CrossRef]
- Zhang, J.; Zhu, Z.; Liu, W.; Yuan, X.; Qin, S. Towards photodetection with high efficiency and tunable spectral selectivity: Graphene plasmonics for light trapping and absorption engineering. Nanoscale 2015, 7, 13530–13536. [Google Scholar] [CrossRef]
- Shi, X.; Ge, L.; Wen, X.; Han, D.; Yang, Y. Broadband light absorption in graphene ribbons by canceling strong coupling at subwavelength scale. Opt. Express 2016, 24, 26357–26362. [Google Scholar] [CrossRef]
- Yi, S.; Zhou, M.; Shi, X.; Gan, Q.; Zi, J.; Yu, Z. A multiple-resonator approach for broadband light absorption in a single layer of nanostructured graphene. Opt. Express 2015, 23, 10081–10090. [Google Scholar] [CrossRef]
- Cai, Y.; Xu, K.D. Tunable broadband terahertz absorber based on multilayer graphene-sandwiched plasmonic structure. Opt. Express 2018, 26, 31693–31705. [Google Scholar] [CrossRef]
- Amin, M.; Farhat, M.; Bağcı, H. An ultra-broadband multilayered graphene absorber. Opt. Express 2013, 21, 29938–29948. [Google Scholar] [CrossRef]
- He, S.; Chen, T. Broadband THz absorbers with graphene-Based anisotropic metamaterial films. IEEE Trans. Terahertz Sci. Technol. 2013, 3, 757–763. [Google Scholar] [CrossRef]
- Xiao, B.; Gu, M.; Xiao, S. Broadband, wide-angle and tunable terahertz absorber based on cross-shaped graphene arrays. Appl. Opt. 2017, 56, 5458–5462. [Google Scholar] [CrossRef]
- Ye, L.; Chen, Y.; Cai, G.; Liu, N.; Zhu, J.; Song, Z.; Liu, Q.H. Broadband absorber with periodically sinusoidally-patterned graphene layer in terahertz range. Opt. Express 2017, 25, 11223–11232. [Google Scholar] [CrossRef]
- Zhu, Z.; Guo, C.; Zhang, J.; Liu, K.; Yuan, X.; Qin, S. Broadband single-layered graphene absorber using periodic arrays of graphene ribbons with gradient width. Appl. Phys. Express 2014, 8, 015102. [Google Scholar]
- Yu, W.; Luo, G.Q.; Yu, Y.; Pan, Y.; Cao, W.; Shen, Z. Dual-polarized band-absorptive frequency selective rasorber using meander-line and lumped resistors. IEEE Trans. Antennas Propag. 2019, 67, 1318–1322. [Google Scholar] [CrossRef]
- Guo, M.; Sun, Z.; Sang, D.; Jia, X.; Fu, Y. Design of frequency-selective rasorbers based on centrosymmetric bended-strip resonator. IEEE Access 2019, 7, 24964–24970. [Google Scholar] [CrossRef]
- Chen, Q.; Sang, D.; Guo, M.; Fu, Y. Miniaturized frequency-selective rasorber with a wide transmission band using circular spiral resonator. IEEE Trans. Antennas Propag. 2019, 67, 1045–1052. [Google Scholar] [CrossRef]
- Wang, Z.; Zeng, Q.; Fu, J.; Chen, W.; Lv, B.; Song, M.; Denidni, T.A. A high-transmittance frequency-selective rasorber based on dipole arrays. IEEE Access 2018, 6, 31367–31374. [Google Scholar] [CrossRef]
- Zhang, X.; Wu, W.; Ma, Y.; Wang, C.; Li, C.; Yuan, N. Design dual-polarization frequency selective rasorber using split ring resonators. IEEE Access 2019, 7, 101139–101146. [Google Scholar] [CrossRef]
- Zhang, X.; Wu, W.; Huang, L.; Ma, Y.; Yuan, N. Design of dual absorptive bands frequency selective rasorber with Minkowski loop arrays. IEEE Antennas Wirel. Propag. Lett. 2019, in press. [Google Scholar] [CrossRef]
- Chen, Q.; Sang, D.; Guo, M.; Fu, Y. Frequency-selective rasorber with interabsorption band transparent window and interdigital resonator. IEEE Trans. Antennas Propag. 2018, 8, 4105–4114. [Google Scholar] [CrossRef]
- Zhou, Q.; Zha, S.; Liu, P.; Liu, C.; Bian, L.A.; Zhang, J.; Liu, H.; Ding, L. Graphene based controllable broadband terahertz metamaterial absorber with transmission band. Materials 2018, 11, 2409. [Google Scholar] [CrossRef]
- Deng, X.H.; Liu, J.T.; Yuan, J.; Wang, T.B.; Liu, N.H. Tunable THz absorption in graphene-based heterostructures. Opt. Express 2014, 22, 30177–30183. [Google Scholar] [CrossRef]
- Deng, G.; Chen, P.; Yang, J.; Yin, Z.; Qiu, L. Graphene-based tunable polarization sensitive terahertz metamaterial absorber. Opt. Commun. 2016, 380, 101–107. [Google Scholar] [CrossRef]
- Mishra, R.; Panwar, R.; Singh, D. Equivalent circuit model for the design of frequency-selective, terahertz-band, graphene-based metamaterial absorbers. IEEE Magn. Lett. 2018, 9, 1–5. [Google Scholar] [CrossRef]
- Hanson, G.W. Dyadic Green’s functions for an anisotropic, non-local model of biased graphene. IEEE Trans. Antennas Propag. 2008, 56, 747–757. [Google Scholar] [CrossRef]








| Ref. | Polarization | Number of Passbands | Normalized Bandwidth | Number of Graphene Layers | |
|---|---|---|---|---|---|
| [20] | dual | 0 | 14.7% (4.8–5.56 THz) | 3 | |
| [21] | single | 0 | 84.6% (4.7–11.6 THz) | 3 | |
| [25] | single | 0 | 41.3% (2.5–3.8 THz) | 1 | |
| [33] | dual | 1 | 66.7% (0.5–1 THz) | 1 | |
| This work | dual | 2 | 43.5%/7.2% (0.54–0.84 THz, 2.13–2.29 THz) | 1 |
© 2019 by the authors. Licensee MDPI, Basel, Switzerland. This article is an open access article distributed under the terms and conditions of the Creative Commons Attribution (CC BY) license (http://creativecommons.org/licenses/by/4.0/).
Share and Cite
Zhang, X.; Wu, W.; Li, C.; Wang, C.; Ma, Y.; Yang, Z.; Sun, G.; Yuan, N. A Dual-Band Terahertz Absorber with Two Passbands Based on Periodic Patterned Graphene. Materials 2019, 12, 3016. https://doi.org/10.3390/ma12183016
Zhang X, Wu W, Li C, Wang C, Ma Y, Yang Z, Sun G, Yuan N. A Dual-Band Terahertz Absorber with Two Passbands Based on Periodic Patterned Graphene. Materials. 2019; 12(18):3016. https://doi.org/10.3390/ma12183016
Chicago/Turabian StyleZhang, Ximeng, Weiwei Wu, Chenxin Li, Chang Wang, Yuhong Ma, Zhangbiao Yang, Guang Sun, and Naichang Yuan. 2019. "A Dual-Band Terahertz Absorber with Two Passbands Based on Periodic Patterned Graphene" Materials 12, no. 18: 3016. https://doi.org/10.3390/ma12183016
APA StyleZhang, X., Wu, W., Li, C., Wang, C., Ma, Y., Yang, Z., Sun, G., & Yuan, N. (2019). A Dual-Band Terahertz Absorber with Two Passbands Based on Periodic Patterned Graphene. Materials, 12(18), 3016. https://doi.org/10.3390/ma12183016

