Material and Structural Modeling Aspects of Brain Tissue Deformation under Dynamic Loads
Abstract
1. Introduction
2. Methods
2.1. Model Generation
2.2. Constitutive Modeling of Central Nervous System
2.3. Volumetric Locking in Numerical Model
2.4. Boundary Conditions and Material Verification
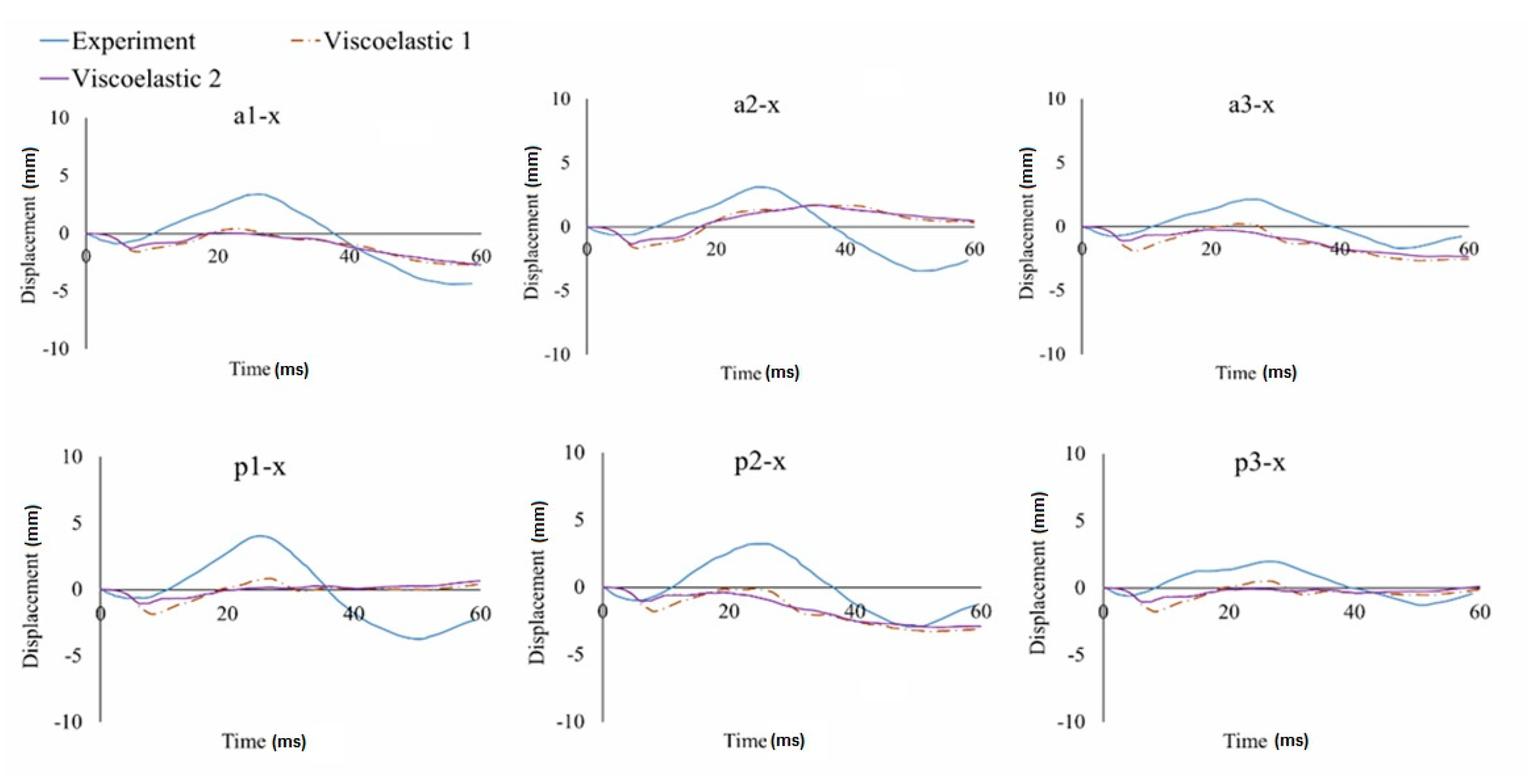
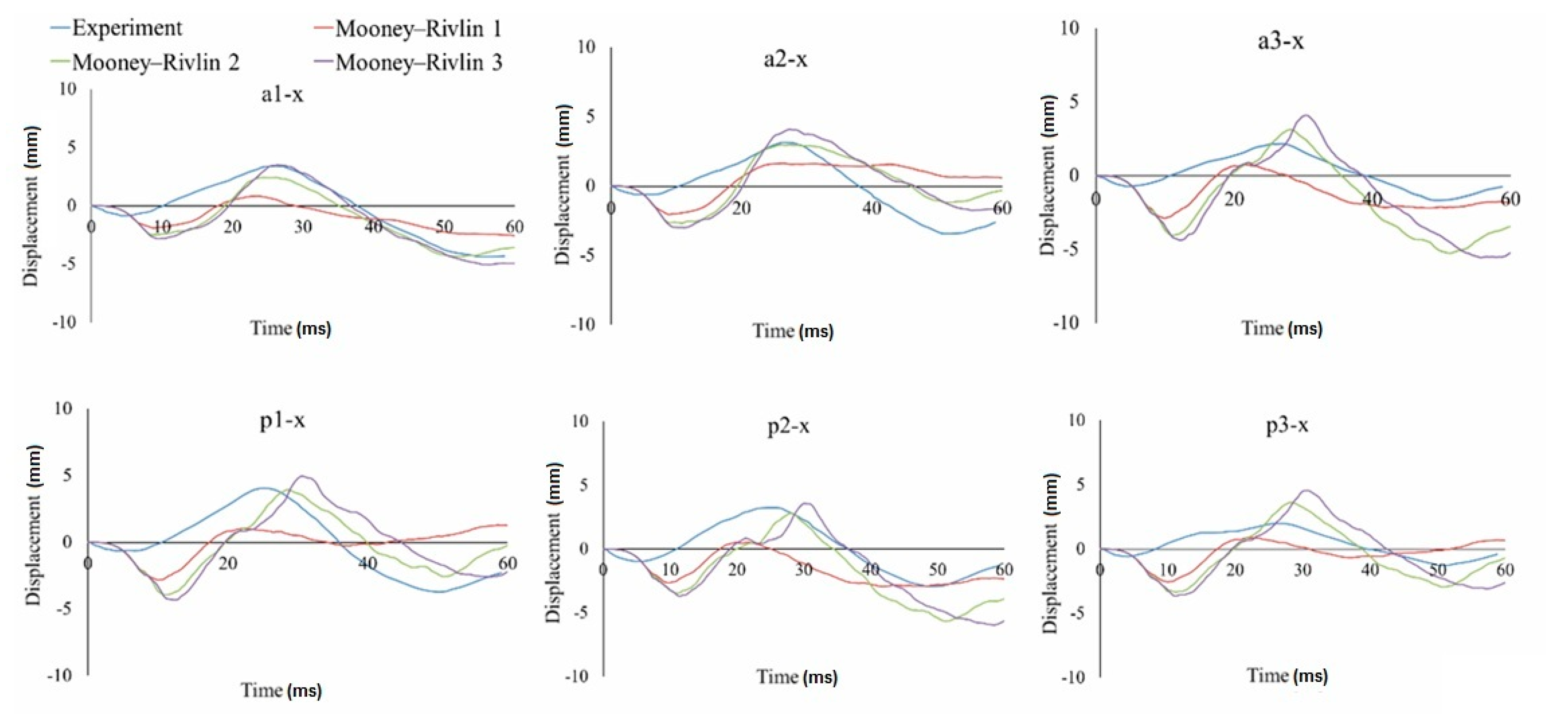
3. Results
4. Discussion
5. Final Conclusion
Author Contributions
Funding
Conflicts of Interest
References
- Ratajczak, M.; Frątczak, R.; Sławiński, G.; Niezgoda, T.; Będziński, R. Biomechanical analysis of head injury caused by a charge explosion under an armored vehicle. Comput. Assist. Methods Eng. Sci. 2017, 24, 3–15. [Google Scholar]
- Wilhelm, J.; Ptak, M.; Rusiński, E. Simulated depiction of head and brain injuries in the context of cellular based materials in passive safety devices. Sci. J. Marit. Univ. Szczec. 2017, 50, 98–104. [Google Scholar] [CrossRef]
- American Association of Neurological Surgeons. Patient Information—Traumatic Brain Injury. Available online: http://www.aans.org/ (accessed on 2 November 2017).
- Li, X.; Viceconti, M.; Cohen, M.C.; Reilly, G.C.; Carré, M.J.; Offiah, A.C. Developing CT based computational models of pediatric femurs. J. Biomech. 2015, 48, 2034–2040. [Google Scholar] [CrossRef] [PubMed]
- Będziński, R. Technical Mechanics—Vol. XII Biomechanics; Institute of Fundamental Technological Research—Polish Academy of Sciences: Warszawa, Poland, 2011. [Google Scholar]
- Falcinelli, C.; Schileo, E.; Pakdel, A.; Whyne, C.; Cristofolini, L.; Taddei, F. Can CT image deblurring improve finite element predictions at the proximal femur? J. Mech. Behav. Biomed. Mater. 2016, 63, 337–351. [Google Scholar] [CrossRef] [PubMed]
- Ferguson, S.J.; Ito, K.; Nolte, L.P. Fluid flow and convective transport of solutes within the intervertebral disc. J. Biomech. 2004, 37, 213–221. [Google Scholar] [CrossRef]
- Lacroix, D.; Prendergast, P.J. A mechano-regulation model for tissue differentiation during fracture healing: Analysis of gap size and loading. J. Biomech. 2002, 35, 1163–1171. [Google Scholar] [CrossRef]
- Prendergast, P.J.; Galibarov, P.E.; Lowery, C.; Lennon, A.B. Computer simulating a clinical trial of a load-bearing implant: An example of an intramedullary prosthesis. J. Mech. Behav. Biomed. Mater 2011, 4, 1880–1887. [Google Scholar] [CrossRef] [PubMed]
- Ratajczak, M.; Sąsiadek, M.; Będziński, R. An analysis of the effect of impact loading on the destruction of vascular structures in the brain. Acta Bioeng. Biomech. 2016, 18. [Google Scholar] [CrossRef]
- Al-Bsharat, A.S.; Hardy, W.N.; Yang, K.H.; Khalil, T.B.; Tashman, S.; King, A.I. Brain/Skull Relative Displacement Magnitude Due to Blunt Head Impact: New Experimental Data and Model. In 43rd Stapp Car Crash Conference Proceedings; Society of Automotive Engineers: Warrendale, PA, USA, 1999. [Google Scholar]
- Fernandes, F.; Tchepel, D.; Alves de Sousa, R.J.; Ptak, M. Development and validation of a new finite element human head model: Yet Another Head Model (YEAHM). Eng. Comput. 2018, 35, 477–496. [Google Scholar] [CrossRef]
- Johnson, E.A.C.; Young, P.G. On the use of a patient-specific rapid-prototyped model to simulate the response of the human head to impact and comparison with analytical and finite element models. J. Biomech. 2005, 38, 39–45. [Google Scholar] [CrossRef]
- Kang, H.-S.; Willinger, R.; Diaw, B.M.; Chinn, B. Validation of a 3D Anatomic Human Head Model and Replication of Head Impact in Motorcycle Accident by Finite Element Modeling. SAE Tech. Pap. 1997, 973339. [Google Scholar] [CrossRef]
- Kimpara, H.; Nakahira, Y.; Iwamoto, M.; Miki, K.; Ichihara, K.; Kawano, S.; Taguchi, T. Investigation of anteroposterior head-neck responses during severe frontal impacts using a brain-spinal cord complex FE model. Stapp Car Crash J. 2006, 50, 509–544. [Google Scholar] [PubMed]
- Kleiven, S.; von Holst, H. Consequences of head size following trauma to the human head. J. Biomech. 2002, 35, 153–160. [Google Scholar] [CrossRef]
- Ruan, J.S.; Khalil, T.; King, A.I. Dynamic response of the human head to impact by three-dimensional finite element analysis. J. Biomech. Eng. 1994, 116, 44–50. [Google Scholar] [CrossRef] [PubMed]
- Takhounts, E.G.; Ridella, S.A.; Hasija, V.; Tannous, R.E.; Campbell, J.Q.; Malone, D.; Danelson, K.; Stitzel, J.; Rowson, S.; Duma, S. Investigation of traumatic brain injuries using the next generation of simulated injury monitor (SIMon) finite element head model. Stapp Car Crash J. 2008, 52, 1–31. [Google Scholar] [PubMed]
- Zhang, L.; Yang, K.H.; Dwarampudi, R.; Omori, K.; Li, T.; Chang, K.; Hardy, W.N.; Khalil, T.B.; King, A.I. Recent advances in brain injury research: A new human head model development and validation. Stapp Car Crash J. 2001, 45, 369–394. [Google Scholar] [PubMed]
- Zhou, C.; Khalil, T.B.; King, A.I. A New Model Comparing Impact Responses of the Homogeneous and Inhomogeneous Human Brain. SAE Tech. Pap. 1995, 952714. [Google Scholar] [CrossRef]
- Chafi, M.S.; Ganpule, S.; Gu, L.; Chandra, N. Dynamic response of brain subjected to blast loadings: Influence of frequency ranges. Int. J. Appl. Mech. 2011, 3, 803–823. [Google Scholar] [CrossRef]
- Eslaminejad, A.; Hosseini Farid, M.; Ziejewski, M.; Karami, G. Brain Tissue Constitutive Material Models and the Finite Element Analysis of Blast-Induced Traumatic Brain Injury. Sci. Iran. 2018, 4, 3141–3150. [Google Scholar] [CrossRef]
- Eslaminejad, A.; Moghaddam, H.; Rezaei, A.; Ziejewski, M.; Karami, G. Comparison of Brain Tissue Material Finite Element Models Based on Threshold for Traumatic Brain Injury. In Proceedings of the ASME 2016 International Mechanical Engineering Congress and Exposition IMECE 2016, Phoenix, AZ, USA, 11–17 November 2016; Volume 3. [Google Scholar] [CrossRef]
- Rashida, B.; Destradeb, M.; Gilchrista, M. Mechanical Characterization of Brain Tissue in Compression at Dynamic Strain Rates. J. Mech. Behav. Biomed. Mater. 2012, 10, 23–38. [Google Scholar] [CrossRef]
- Rezaei, A.; Moghaddam, H.; Eslaminejad, A.; Ziejewski, M.; Karami, G. Skull Deformation Has No Impact on the Variation of Brain Intracranial Pressure. In Proceedings of the ASME 2016 International Mechanical Engineering Congress and Exposition IMECE 2016, Phoenix, AZ, USA, 11–17 November 2016; Volume 3. [Google Scholar] [CrossRef]
- Sarvghad-Moghaddam, H.; Asghar, R.; Ziejewski, M.; Karam, G. Evaluation of brain tissue responses because of the underwash overpressure of helmet and faceshield under blast loading. International J. Numer. Methods Biomed. Eng. 2017, 33, e02782. [Google Scholar] [CrossRef]
- De Rooij, R.; Kuhl, E. Constitutive Modeling of Brain Tissue: Current Perspectives. Appl. Mech. Rev. 2016, 68, 010801. [Google Scholar] [CrossRef]
- Zhao, W.; Choate, B.; Ji, S. Material properties of the brain in injury-relevant conditions – Experiments and computational modeling. J. Mech. Behav. Biomed. Mater. 2018, 80, 222–234. [Google Scholar] [CrossRef]
- Doorly, M. Investigations into Head Injury Criteria Using Numerical Reconstruction of Real Life Accident Cases; University College Dublin: Dublin, Ireland, 2007. [Google Scholar]
- Kleiven, S. Predictors for traumatic brain injuries evaluated through accident reconstructions. Stapp Car Crash J. 2007, 51, 81–114. [Google Scholar]
- Raul, J.-S.; Deck, C.; Willinger, R.; Ludes, B. Finite-element models of the human head and their applications in forensic practice. Int. J. Legal Med. 2008, 122, 359–366. [Google Scholar] [CrossRef]
- Roth, S.; Raul, J.-S.; Ludes, B.; Willinger, R. Finite element analysis of impact and shaking inflicted to a child. Int. J. Legal Med. 2007, 121, 223–228. [Google Scholar] [CrossRef]
- Roth, S.; Raul, J.-S.; Willinger, R. Finite element modelling of paediatric head impact: Global validation against experimental data. Comput. Methods Programs Biomed. 2010, 99, 25–33. [Google Scholar] [CrossRef] [PubMed]
- Shugar, T.A. A Finite Element Head Injury Model. Volume I. Theory, Development, and Results; Department of Transportation, National Highway Traffic Safety Administration, New Jersey Avenue: Washington, DC, USA, 1977.
- Hardy, W.N.; Mason, M.J.; Foster, C.D.; Shah, C.S.; Kopacz, J.M.; Yang, K.H.; King, A.I. A Study of the Response of the Human Cadaver Head to Impact. Stapp Car Crash J. 2007, 51, 17–80. [Google Scholar] [PubMed]
- Kędzia, A.; Kędzia, E.; Kędzia, W. Vascular Catastrophes and the Venous System of the Human Brain. Adv. Clin. Exp. Med. 2010, 19, 163–176. [Google Scholar]
- Oka, K.; Rhoton, A.L.; Barry, M.; Rodriguez, R. Microsurgical anatomy of the superficial veins of the cerebrum. Neurosurgery 1985, 17, 711–748. [Google Scholar] [CrossRef] [PubMed]
- Horgan, T.J.; Gilchrist, M.D. Influence of FE model variability in predicting brain motion and intracranial pressure changes in head impact simulations. Int. J. Crashworthiness 2004, 9, 401–418. [Google Scholar] [CrossRef]
- Miller, R.T.; Margulies, S.S.; Leoni, M.; Nonaka, M.; Chen, X.; Smith, D.H.; Meaney, D.F. Finite Element Modeling Approaches for Predicting Injury in an Experimental Model of Severe Diffuse Axonal Injury. SAE Tech. Pap. 1998, 983154. [Google Scholar] [CrossRef]
- Kleiven, S. Finite Element Modeling of the Human Head; Royal Institute of Technology: Stockholm, Sweden, 2002. [Google Scholar]
- Horanin-Dusza, M. The Analysis of the Biomechanical and Histological Properties of Cerebral Bridging Veins in Alcoholics and Nonalcoholics—The Importance in the Subdural Hematomas Etiology. Ph.D. Thesis, Medical University, Wrocław, Poland, 2009. (In Polish). [Google Scholar]
- Ganpule, S.; Daphalapurkar, N.P.; Ramesh, K.T.; Knutsen, A.K.; Pham, D.L.; Bayly, P.V.; Prince, J.L. A Three-Dimensional Computational Human Head Model that Captures Live Human Brain Dynamics. J. Neurotrauma 2017, 34, 2154–2166. [Google Scholar] [CrossRef] [PubMed]
- Tse, K.M.; Lim, S.P.; Beng, V.; Tan, C.; Lee, H.P.; Kwong, M.; Tse, S.P.; Lim, V.; Beng, C.; Tan, H.; et al. A review of head injury and finite element head models. Am. J. Eng. Technol. Soc. 2014, 1, 28–52. [Google Scholar]
- Shuck, L.Z.; Advani, S.H. Rheological Response of Human Brain Tissue in Shear. J. Basic Eng. 1972, 94, 905–911. [Google Scholar] [CrossRef]
- Willinger, R.; Diaw, B.M.; Kang, H.-S. Finite element modelling of skull fractures caused by direct impact. Int. J. Crashworthiness 2000, 5, 249–258. [Google Scholar] [CrossRef]
- Mendis, K.K.; Stalnaker, R.L.; Advani, S.H. A constitutive relationship for large deformation finite element modeling of brain tissue. J. Biomech. Eng. 1995, 117, 279–285. [Google Scholar] [CrossRef] [PubMed]
- Arbogast, K.B.; Margulies, S.S. Regional Differences in Mechanical Properties of the Porcine Central Nervous System. SAE Tech. Pap. 1997, 973336. [Google Scholar] [CrossRef]
- Prange, M.T.; Meaney, D.F.; Margulies, S.S. Defining brain mechanical properties: Effects of region, direction, and species. Stapp Car Crash J. 2000, 44, 205–213. [Google Scholar]
- Franceschini, G.; Bigoni, D.; Regitnig, P.; Holzapfel, G.A. Brain tissue deforms similarly to filled elastomers and follows consolidation theory. J. Mech. Phys. Solids 2006, 54, 2592–2620. [Google Scholar] [CrossRef]
- Nicolle, S.; Lounis, M.; Willinger, R.; Palierne, J.-F. Shear linear behavior of brain tissue over a large frequency range. Biorheology 2005, 42, 209–223. [Google Scholar] [PubMed]
- Oord van den, G.A.H. Introduction to Locking in Finite Element Methods; Technische Universiteit Eindhoven: Eindhoven, The Netherlands, 2005. [Google Scholar]
- Fernandes, F.A.O.; Alves de Sousa, R.J.; Ptak, M. Head Injury Simulation in Road Traffic Accidents; Springer Briefs in Applied Sciences and Technology; Springer International Publishing: Cham, Switzerland, 2018. [Google Scholar] [CrossRef]
- Miller, K. Biomechanics of the Brain, Biological and Medical Physics, Biomedical Engineering; Springer Science & Business Media: New York, NY, USA, 2011. [Google Scholar] [CrossRef]
- Ratajczak, M. Analysis of Biomechanical Parameter Changes in Brain Tissues Due to Dynamic Loads. Ph.D. Thesis, Faculty of Fundamental Problems of Technology, Wrocław University of Science and Technology, Wrocław, Poland, 2018. [Google Scholar]
- Miller, L.E.; Urban, J.E.; Stitzel, J.D. Development and validation of an atlas-based finite element brain model. Biomech. Model. Mechanobiol. 2016, 15, 1201–1214. [Google Scholar] [CrossRef] [PubMed]
- Miller, L.E.; Urban, J.E.; Stitzel, J.D. Validation performance comparison for finite element models of the human brain. Comput. Methods Biomech. Biomed. Eng. 2017, 20, 1273–1288. [Google Scholar] [CrossRef] [PubMed]
- Fernandes, F.A.O. Biomechanical Analysis of Helmeted Head Impacts: Novel Materials and Geometries; Universidade de Aveiro: Aveiro, Portugal, 2017. [Google Scholar]
- Ho, J.; Kleiven, S. Can sulci protect the brain from traumatic injury? J. Biomech. 2009, 42, 2074–2080. [Google Scholar] [CrossRef]
- Kleiven, S.; Hardy, W.N. Correlation of an FE Model of the Human Head with Local Brain Motion--Consequences for Injury Prediction. Stapp Car Crash J. 2002, 46, 123–144. [Google Scholar]
- Garimella, H.T.; Kraft, R.H. Modeling the mechanics of axonal fiber tracts using the embedded finite element method. Int. J. Numer. Method Biomed. Eng. 2017, 33, e2823. [Google Scholar] [CrossRef]
- Garimella, H.T.; Menghani, R.R.; Gerber, J.I.; Sridhar, S.; Kraft, R.H. Embedded finite elements for modeling axonal injury. Ann. Biomed. Eng. 2018. [Google Scholar] [CrossRef]
- Ivarsson, J.; Viano, D.C.; Lövsund, P. Influence of the lateral ventricles and irregular skull base on brain kinematics due to sagittal plane head rotation. J. Biomech. Eng. 2002, 124, 422–431. [Google Scholar] [CrossRef]
- Kleiven, S. Influence of direction and duration of impacts to the human head evaluated using the finite element method. In Proceedings of the IRCOBI Conference, Prague, Czech Republic, 21–23 September 2005; pp. 41–57. [Google Scholar]
- Arcot, K.; Genin, G. Skull Shape Affects Susceptibility to Traumatic Brain Injury. In Mechanical Engineering and Materials Science Independent Study; Washington University Open Scholarship: Saint Louis, MO, USA, 2016; Volume 23. [Google Scholar]
- Mrak, R.E.; Griffin, S.T.; Graham, D.I. Aging-associated changes in human brain. J. Neuropathol. Exp. Neurol. 1997, 56, 1269–1275. [Google Scholar] [CrossRef]
- Wyss-Coray, T. Ageing, neurodegeneration and brain rejuvenation. Nature 2016, 539, 180–186. [Google Scholar] [CrossRef]
- Gawdzińska, K.; Bryll, K.; Chybowski, L.; Berczyński, S. The impact of reinforcement material on selected mechanical properties of reinforced polyester composites. Compos. Theory Pract. 2018, 18, 65–70. [Google Scholar]
- Gawdzińska, K.; Chybowski, L.; Przetakiewicz, W.; Laskowski, R. Application of FMEA in the Quality Estimation of Metal Matrix Composite Castings Produced by Squeeze Infiltration. Arch. Metall. Mater. 2017, 62, 2171–2182. [Google Scholar] [CrossRef]







| Element | Young’s (E) or Bulk Modulus (K) (MPa) | Density ρ (kg/m3) | Poisson’s Ratio ν |
|---|---|---|---|
| Skull | E = 15000.0 | 2000 | 0.22 |
| Dura mater | E= 31.5 | 1130 | 0.45 |
| Cerebrospinal fluid | K = 2200.0 | 1000 | 0.49 |
| Superior sagittal sinus | E= 28.2 | 1040 | 0.45 |
| Falx cerebri | E = 31.5 | 1130 | 0.45 |
| Cerebellar tentorium | E = 31.5 | 1130 | 0.45 |
| Bridging Veins Region | Young’s Modulus E (MPa) | Density ρ (kg/m3) | Poisson’s Ratio ν |
|---|---|---|---|
| Frontal | 56.45 | 1130 | 0.45 |
| Parietal | 94.09 | 1130 | 0.45 |
| Occipital | 97.21 | 1130 | 0.45 |
© 2019 by the authors. Licensee MDPI, Basel, Switzerland. This article is an open access article distributed under the terms and conditions of the Creative Commons Attribution (CC BY) license (http://creativecommons.org/licenses/by/4.0/).
Share and Cite
Ratajczak, M.; Ptak, M.; Chybowski, L.; Gawdzińska, K.; Będziński, R. Material and Structural Modeling Aspects of Brain Tissue Deformation under Dynamic Loads. Materials 2019, 12, 271. https://doi.org/10.3390/ma12020271
Ratajczak M, Ptak M, Chybowski L, Gawdzińska K, Będziński R. Material and Structural Modeling Aspects of Brain Tissue Deformation under Dynamic Loads. Materials. 2019; 12(2):271. https://doi.org/10.3390/ma12020271
Chicago/Turabian StyleRatajczak, Monika, Mariusz Ptak, Leszek Chybowski, Katarzyna Gawdzińska, and Romuald Będziński. 2019. "Material and Structural Modeling Aspects of Brain Tissue Deformation under Dynamic Loads" Materials 12, no. 2: 271. https://doi.org/10.3390/ma12020271
APA StyleRatajczak, M., Ptak, M., Chybowski, L., Gawdzińska, K., & Będziński, R. (2019). Material and Structural Modeling Aspects of Brain Tissue Deformation under Dynamic Loads. Materials, 12(2), 271. https://doi.org/10.3390/ma12020271

